Номер 258, страница 89 - гдз по алгебре 10-11 класс учебник Алимов, Колягин

Алгебра, 10-11 класс Учебник, авторы: Алимов Шавкат Арифджанович, Колягин Юрий Михайлович, Ткачева Мария Владимировна, Федорова Надежда Евгеньевна, Шабунин Михаил Иванович, издательство Просвещение, Москва, 2014

Авторы: Алимов Ш. А., Колягин Ю. М., Ткачева М. В., Федорова Н. Е., Шабунин М. И.

Тип: Учебник

Издательство: Просвещение

Год издания: 2014 - 2026

Уровень обучения: базовый и углублённый

Цвет обложки: синий, фиолетовый

ISBN: 978-5-09-112136-0

Допущено Министерством просвещения Российской Федерации

Математика: алгебра и начала математического анализа, геометрия

Глава 3. Показательная функция. Упражнения к главе 3 - номер 258, страница 89.

№258 (с. 89)
Условие. №258 (с. 89)
скриншот условия
Алгебра, 10-11 класс Учебник, авторы: Алимов Шавкат Арифджанович, Колягин Юрий Михайлович, Ткачева Мария Владимировна, Федорова Надежда Евгеньевна, Шабунин Михаил Иванович, издательство Просвещение, Москва, 2014, страница 89, номер 258, Условие

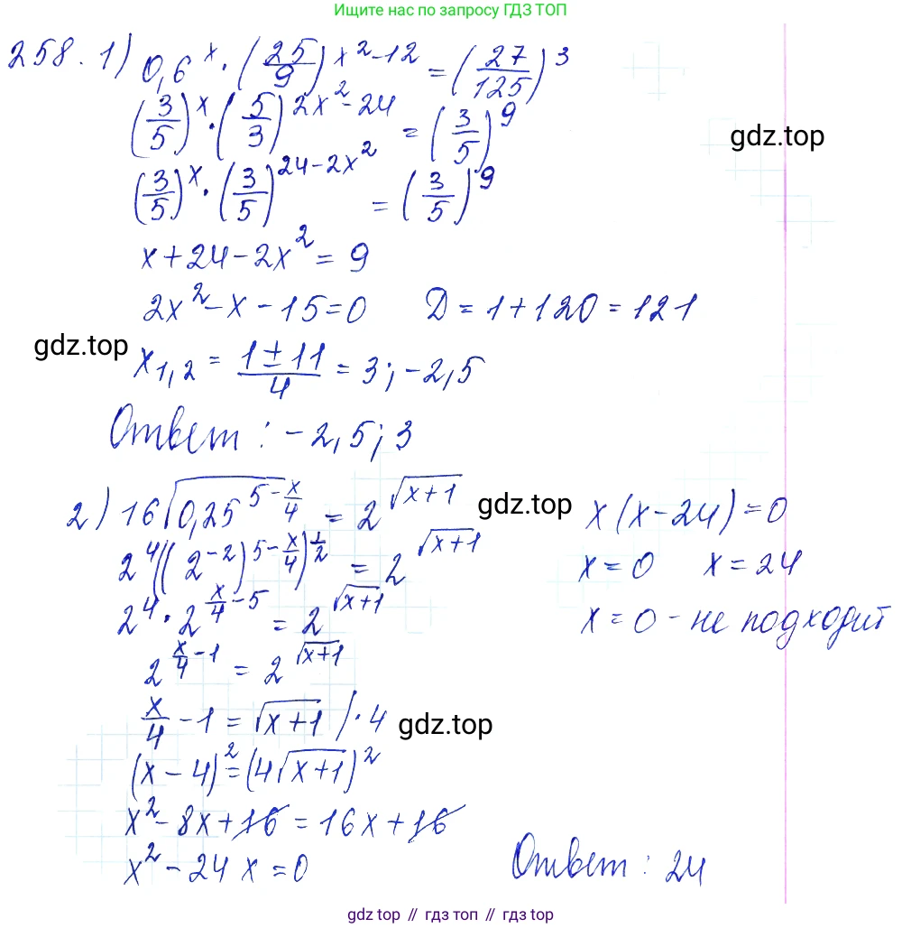
258 1) $0.6^x \cdot \left(\frac{25}{9}\right)^{x^2-12} = \left(\frac{27}{125}\right)^3$;

2) $16 \left(\sqrt{0.25}\right)^{5 - \frac{x}{4}} = 2^{\sqrt{x+1}}$.

Решение 1. №258 (с. 89)
Алгебра, 10-11 класс Учебник, авторы: Алимов Шавкат Арифджанович, Колягин Юрий Михайлович, Ткачева Мария Владимировна, Федорова Надежда Евгеньевна, Шабунин Михаил Иванович, издательство Просвещение, Москва, 2014, страница 89, номер 258, Решение 1
Алгебра, 10-11 класс Учебник, авторы: Алимов Шавкат Арифджанович, Колягин Юрий Михайлович, Ткачева Мария Владимировна, Федорова Надежда Евгеньевна, Шабунин Михаил Иванович, издательство Просвещение, Москва, 2014, страница 89, номер 258, Решение 1 (продолжение 2)
Решение 2. №258 (с. 89)
Алгебра, 10-11 класс Учебник, авторы: Алимов Шавкат Арифджанович, Колягин Юрий Михайлович, Ткачева Мария Владимировна, Федорова Надежда Евгеньевна, Шабунин Михаил Иванович, издательство Просвещение, Москва, 2014, страница 89, номер 258, Решение 2
Алгебра, 10-11 класс Учебник, авторы: Алимов Шавкат Арифджанович, Колягин Юрий Михайлович, Ткачева Мария Владимировна, Федорова Надежда Евгеньевна, Шабунин Михаил Иванович, издательство Просвещение, Москва, 2014, страница 89, номер 258, Решение 2 (продолжение 2)
Решение 3. №258 (с. 89)
Алгебра, 10-11 класс Учебник, авторы: Алимов Шавкат Арифджанович, Колягин Юрий Михайлович, Ткачева Мария Владимировна, Федорова Надежда Евгеньевна, Шабунин Михаил Иванович, издательство Просвещение, Москва, 2014, страница 89, номер 258, Решение 3
Решение 5. №258 (с. 89)
Алгебра, 10-11 класс Учебник, авторы: Алимов Шавкат Арифджанович, Колягин Юрий Михайлович, Ткачева Мария Владимировна, Федорова Надежда Евгеньевна, Шабунин Михаил Иванович, издательство Просвещение, Москва, 2014, страница 89, номер 258, Решение 5
Решение 6. №258 (с. 89)
Алгебра, 10-11 класс Учебник, авторы: Алимов Шавкат Арифджанович, Колягин Юрий Михайлович, Ткачева Мария Владимировна, Федорова Надежда Евгеньевна, Шабунин Михаил Иванович, издательство Просвещение, Москва, 2014, страница 89, номер 258, Решение 6
Решение 7. №258 (с. 89)
Алгебра, 10-11 класс Учебник, авторы: Алимов Шавкат Арифджанович, Колягин Юрий Михайлович, Ткачева Мария Владимировна, Федорова Надежда Евгеньевна, Шабунин Михаил Иванович, издательство Просвещение, Москва, 2014, страница 89, номер 258, Решение 7 Алгебра, 10-11 класс Учебник, авторы: Алимов Шавкат Арифджанович, Колягин Юрий Михайлович, Ткачева Мария Владимировна, Федорова Надежда Евгеньевна, Шабунин Михаил Иванович, издательство Просвещение, Москва, 2014, страница 89, номер 258, Решение 7 (продолжение 2)
Решение 8. №258 (с. 89)

1)

Исходное уравнение: $0,6^x \cdot \left(\frac{25}{9}\right)^{x^2-12} = \left(\frac{27}{125}\right)^3$.

Для решения этого показательного уравнения необходимо привести все его части к одному основанию. Заметим, что все основания можно выразить через дробь $\frac{3}{5}$.

Преобразуем каждый член уравнения:

  • $0,6 = \frac{6}{10} = \frac{3}{5}$
  • $\frac{25}{9} = \frac{5^2}{3^2} = \left(\frac{5}{3}\right)^2 = \left(\left(\frac{3}{5}\right)^{-1}\right)^2 = \left(\frac{3}{5}\right)^{-2}$
  • $\frac{27}{125} = \frac{3^3}{5^3} = \left(\frac{3}{5}\right)^3$

Подставим преобразованные значения обратно в уравнение:

$\left(\frac{3}{5}\right)^x \cdot \left(\left(\frac{3}{5}\right)^{-2}\right)^{x^2-12} = \left(\left(\frac{3}{5}\right)^3\right)^3$

Применим свойства степеней $(a^m)^n = a^{mn}$ и $a^m \cdot a^n = a^{m+n}$:

$\left(\frac{3}{5}\right)^x \cdot \left(\frac{3}{5}\right)^{-2(x^2-12)} = \left(\frac{3}{5}\right)^{3 \cdot 3}$

$\left(\frac{3}{5}\right)^x \cdot \left(\frac{3}{5}\right)^{-2x^2+24} = \left(\frac{3}{5}\right)^9$

$\left(\frac{3}{5}\right)^{x - 2x^2 + 24} = \left(\frac{3}{5}\right)^9$

Так как основания степеней равны, мы можем приравнять их показатели:

$x - 2x^2 + 24 = 9$

Перенесем все члены в одну сторону, чтобы получить стандартное квадратное уравнение:

$-2x^2 + x + 24 - 9 = 0$

$-2x^2 + x + 15 = 0$

Умножим уравнение на -1 для удобства:

$2x^2 - x - 15 = 0$

Решим это квадратное уравнение с помощью дискриминанта $D = b^2 - 4ac$:

$D = (-1)^2 - 4 \cdot 2 \cdot (-15) = 1 + 120 = 121 = 11^2$

Найдем корни уравнения по формуле $x_{1,2} = \frac{-b \pm \sqrt{D}}{2a}$:

$x_1 = \frac{-(-1) + \sqrt{121}}{2 \cdot 2} = \frac{1 + 11}{4} = \frac{12}{4} = 3$

$x_2 = \frac{-(-1) - \sqrt{121}}{2 \cdot 2} = \frac{1 - 11}{4} = \frac{-10}{4} = -\frac{5}{2} = -2,5$

Ответ: $-2,5; 3$

2)

Исходное уравнение: $16 \sqrt{0,25^{5 - \frac{x}{4}}} = 2^{\sqrt{x+1}}$.

Приведем все основания к степени с основанием 2:

  • $16 = 2^4$
  • $0,25 = \frac{1}{4} = \frac{1}{2^2} = 2^{-2}$

Подставим эти значения в уравнение:

$2^4 \cdot \sqrt{\left(2^{-2}\right)^{5 - \frac{x}{4}}} = 2^{\sqrt{x+1}}$

Упростим выражение под корнем, используя свойство $(a^m)^n = a^{mn}$:

$\left(2^{-2}\right)^{5 - \frac{x}{4}} = 2^{-2(5 - \frac{x}{4})} = 2^{-10 + \frac{2x}{4}} = 2^{-10 + \frac{x}{2}}$

Теперь уравнение выглядит так:

$2^4 \cdot \sqrt{2^{-10 + \frac{x}{2}}} = 2^{\sqrt{x+1}}$

Представим корень как степень $\frac{1}{2}$ и снова применим свойство $(a^m)^n = a^{mn}$:

$2^4 \cdot \left(2^{-10 + \frac{x}{2}}\right)^{\frac{1}{2}} = 2^{\sqrt{x+1}}$

$2^4 \cdot 2^{\frac{1}{2}(-10 + \frac{x}{2})} = 2^{\sqrt{x+1}}$

$2^4 \cdot 2^{-5 + \frac{x}{4}} = 2^{\sqrt{x+1}}$

Сложим показатели степеней в левой части уравнения, используя свойство $a^m \cdot a^n = a^{m+n}$:

$2^{4 + (-5 + \frac{x}{4})} = 2^{\sqrt{x+1}}$

$2^{-1 + \frac{x}{4}} = 2^{\sqrt{x+1}}$

Приравняем показатели степеней:

$\frac{x}{4} - 1 = \sqrt{x+1}$

Перед тем, как возводить обе части в квадрат, определим область допустимых значений (ОДЗ).

1. Выражение под корнем должно быть неотрицательным: $x+1 \ge 0 \implies x \ge -1$.

2. Квадратный корень всегда неотрицателен, поэтому левая часть уравнения также должна быть неотрицательной: $\frac{x}{4} - 1 \ge 0 \implies \frac{x}{4} \ge 1 \implies x \ge 4$.

Объединяя оба условия, получаем ОДЗ: $x \ge 4$.

Теперь возведем обе части уравнения в квадрат:

$\left(\frac{x}{4} - 1\right)^2 = (\sqrt{x+1})^2$

$\left(\frac{x-4}{4}\right)^2 = x+1$

$\frac{(x-4)^2}{16} = x+1$

$(x-4)^2 = 16(x+1)$

$x^2 - 8x + 16 = 16x + 16$

Перенесем все члены в левую часть:

$x^2 - 8x - 16x + 16 - 16 = 0$

$x^2 - 24x = 0$

Вынесем $x$ за скобки:

$x(x - 24) = 0$

Получаем два возможных корня: $x_1 = 0$ и $x_2 = 24$.

Проверим корни на соответствие ОДЗ ($x \ge 4$):

  • $x_1 = 0$ не удовлетворяет условию $0 \ge 4$, следовательно, это посторонний корень.
  • $x_2 = 24$ удовлетворяет условию $24 \ge 4$.

Таким образом, уравнение имеет единственный корень.

Ответ: $24$

Помогло решение? Оставьте отзыв в комментариях ниже.

Присоединяйтесь к Телеграм-группе @top_gdz

Присоединиться

Мы подготовили для вас ответ c подробным объяснением домашего задания по алгебре за 10-11 класс, для упражнения номер 258 расположенного на странице 89 к учебнику 2014 года издания для учащихся школ и гимназий.

Теперь на нашем сайте ГДЗ.ТОП вы всегда легко и бесплатно найдёте условие с правильным ответом на вопрос «Как решить ДЗ» и «Как сделать» задание по алгебре к упражнению №258 (с. 89), авторов: Алимов (Шавкат Арифджанович), Колягин (Юрий Михайлович), Ткачева (Мария Владимировна), Федорова (Надежда Евгеньевна), Шабунин (Михаил Иванович), ФГОС (старый) базовый и углублённый уровень обучения учебного пособия издательства Просвещение.