Номер 262, страница 89 - гдз по алгебре 10-11 класс учебник Алимов, Колягин

Алгебра, 10-11 класс Учебник, авторы: Алимов Шавкат Арифджанович, Колягин Юрий Михайлович, Ткачева Мария Владимировна, Федорова Надежда Евгеньевна, Шабунин Михаил Иванович, издательство Просвещение, Москва, 2014

Авторы: Алимов Ш. А., Колягин Ю. М., Ткачева М. В., Федорова Н. Е., Шабунин М. И.

Тип: Учебник

Издательство: Просвещение

Год издания: 2014 - 2026

Уровень обучения: базовый и углублённый

Цвет обложки: синий, фиолетовый

ISBN: 978-5-09-112136-0

Допущено Министерством просвещения Российской Федерации

Математика: алгебра и начала математического анализа, геометрия

Глава 3. Показательная функция. Упражнения к главе 3 - номер 262, страница 89.

№262 (с. 89)
Условие. №262 (с. 89)
скриншот условия
Алгебра, 10-11 класс Учебник, авторы: Алимов Шавкат Арифджанович, Колягин Юрий Михайлович, Ткачева Мария Владимировна, Федорова Надежда Евгеньевна, Шабунин Михаил Иванович, издательство Просвещение, Москва, 2014, страница 89, номер 262, Условие

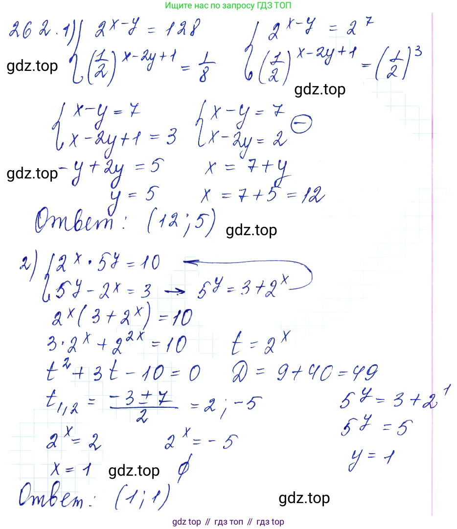
262 Решить систему уравнений:

1) $$ \begin{cases} 2^{x-y} = 128, \\ \left(\frac{1}{2}\right)^{x-2y+1} = \frac{1}{8}; \end{cases} $$

2) $$ \begin{cases} 2^x \cdot 5^y = 10, \\ 5^y - 2^x = 3. \end{cases} $$

Решение 1. №262 (с. 89)
Алгебра, 10-11 класс Учебник, авторы: Алимов Шавкат Арифджанович, Колягин Юрий Михайлович, Ткачева Мария Владимировна, Федорова Надежда Евгеньевна, Шабунин Михаил Иванович, издательство Просвещение, Москва, 2014, страница 89, номер 262, Решение 1
Алгебра, 10-11 класс Учебник, авторы: Алимов Шавкат Арифджанович, Колягин Юрий Михайлович, Ткачева Мария Владимировна, Федорова Надежда Евгеньевна, Шабунин Михаил Иванович, издательство Просвещение, Москва, 2014, страница 89, номер 262, Решение 1 (продолжение 2)
Решение 2. №262 (с. 89)
Алгебра, 10-11 класс Учебник, авторы: Алимов Шавкат Арифджанович, Колягин Юрий Михайлович, Ткачева Мария Владимировна, Федорова Надежда Евгеньевна, Шабунин Михаил Иванович, издательство Просвещение, Москва, 2014, страница 89, номер 262, Решение 2
Алгебра, 10-11 класс Учебник, авторы: Алимов Шавкат Арифджанович, Колягин Юрий Михайлович, Ткачева Мария Владимировна, Федорова Надежда Евгеньевна, Шабунин Михаил Иванович, издательство Просвещение, Москва, 2014, страница 89, номер 262, Решение 2 (продолжение 2)
Решение 3. №262 (с. 89)
Алгебра, 10-11 класс Учебник, авторы: Алимов Шавкат Арифджанович, Колягин Юрий Михайлович, Ткачева Мария Владимировна, Федорова Надежда Евгеньевна, Шабунин Михаил Иванович, издательство Просвещение, Москва, 2014, страница 89, номер 262, Решение 3
Решение 4. №262 (с. 89)
Алгебра, 10-11 класс Учебник, авторы: Алимов Шавкат Арифджанович, Колягин Юрий Михайлович, Ткачева Мария Владимировна, Федорова Надежда Евгеньевна, Шабунин Михаил Иванович, издательство Просвещение, Москва, 2014, страница 89, номер 262, Решение 4
Решение 5. №262 (с. 89)
Алгебра, 10-11 класс Учебник, авторы: Алимов Шавкат Арифджанович, Колягин Юрий Михайлович, Ткачева Мария Владимировна, Федорова Надежда Евгеньевна, Шабунин Михаил Иванович, издательство Просвещение, Москва, 2014, страница 89, номер 262, Решение 5
Решение 6. №262 (с. 89)
Алгебра, 10-11 класс Учебник, авторы: Алимов Шавкат Арифджанович, Колягин Юрий Михайлович, Ткачева Мария Владимировна, Федорова Надежда Евгеньевна, Шабунин Михаил Иванович, издательство Просвещение, Москва, 2014, страница 89, номер 262, Решение 6
Решение 7. №262 (с. 89)
Алгебра, 10-11 класс Учебник, авторы: Алимов Шавкат Арифджанович, Колягин Юрий Михайлович, Ткачева Мария Владимировна, Федорова Надежда Евгеньевна, Шабунин Михаил Иванович, издательство Просвещение, Москва, 2014, страница 89, номер 262, Решение 7
Решение 8. №262 (с. 89)

1) Решим систему уравнений:

$$ \begin{cases} 2^{x-y} = 128, \\ \left(\frac{1}{2}\right)^{x-2y+1} = \frac{1}{8} \end{cases} $$

Преобразуем каждое уравнение, приведя обе части к одинаковому основанию.

Для первого уравнения: основание 2. Число 128 можно представить как $2^7$.
$2^{x-y} = 2^7$
Приравниваем показатели степеней:
$x - y = 7$

Для второго уравнения: основание 2. Представим $\frac{1}{2}$ как $2^{-1}$ и $\frac{1}{8}$ как $2^{-3}$.
$\left(2^{-1}\right)^{x-2y+1} = 2^{-3}$
$2^{-(x-2y+1)} = 2^{-3}$
$2^{-x+2y-1} = 2^{-3}$
Приравниваем показатели степеней:
$-x + 2y - 1 = -3$
$-x + 2y = -2$

Теперь у нас есть система линейных уравнений:
$$ \begin{cases} x - y = 7, \\ -x + 2y = -2 \end{cases} $$

Сложим два уравнения, чтобы исключить переменную $x$:
$(x - y) + (-x + 2y) = 7 + (-2)$
$y = 5$

Подставим значение $y=5$ в первое уравнение, чтобы найти $x$:
$x - 5 = 7$
$x = 7 + 5$
$x = 12$

Решение системы: $(12; 5)$.

Ответ: $(12; 5)$

2) Решим систему уравнений:

$$ \begin{cases} 2^x \cdot 5^y = 10, \\ 5^y - 2^x = 3 \end{cases} $$

Введем новые переменные для упрощения системы. Пусть $a = 2^x$ и $b = 5^y$. Так как показательная функция всегда положительна, то $a > 0$ и $b > 0$.
Система примет вид:
$$ \begin{cases} a \cdot b = 10, \\ b - a = 3 \end{cases} $$

Выразим $b$ из второго уравнения:
$b = a + 3$

Подставим это выражение в первое уравнение:
$a \cdot (a + 3) = 10$
$a^2 + 3a = 10$
$a^2 + 3a - 10 = 0$

Решим полученное квадратное уравнение. Можно использовать теорему Виета или формулу для корней. Корнями являются числа 2 и -5.
$a_1 = 2$, $a_2 = -5$

Поскольку мы определили, что $a = 2^x > 0$, корень $a = -5$ является посторонним. Следовательно, $a = 2$.

Теперь найдем $b$:
$b = a + 3 = 2 + 3 = 5$

Вернемся к исходным переменным $x$ и $y$:
$2^x = a \Rightarrow 2^x = 2 \Rightarrow 2^x = 2^1 \Rightarrow x = 1$
$5^y = b \Rightarrow 5^y = 5 \Rightarrow 5^y = 5^1 \Rightarrow y = 1$

Решение системы: $(1; 1)$.

Ответ: $(1; 1)$

Помогло решение? Оставьте отзыв в комментариях ниже.

Присоединяйтесь к Телеграм-группе @top_gdz

Присоединиться

Мы подготовили для вас ответ c подробным объяснением домашего задания по алгебре за 10-11 класс, для упражнения номер 262 расположенного на странице 89 к учебнику 2014 года издания для учащихся школ и гимназий.

Теперь на нашем сайте ГДЗ.ТОП вы всегда легко и бесплатно найдёте условие с правильным ответом на вопрос «Как решить ДЗ» и «Как сделать» задание по алгебре к упражнению №262 (с. 89), авторов: Алимов (Шавкат Арифджанович), Колягин (Юрий Михайлович), Ткачева (Мария Владимировна), Федорова (Надежда Евгеньевна), Шабунин (Михаил Иванович), ФГОС (старый) базовый и углублённый уровень обучения учебного пособия издательства Просвещение.