Номер 264, страница 89 - гдз по алгебре 10-11 класс учебник Алимов, Колягин

Авторы: Алимов Ш. А., Колягин Ю. М., Ткачева М. В., Федорова Н. Е., Шабунин М. И.
Тип: Учебник
Издательство: Просвещение
Год издания: 2014 - 2025
Уровень обучения: базовый и углублённый
Цвет обложки: синий, фиолетовый
ISBN: 978-5-09-112136-0
Допущено Министерством просвещения Российской Федерации
Математика: алгебра и начала математического анализа, геометрия
Популярные ГДЗ в 10 классе
Упражнения к главе 3. Глава 3. Показательная функция - номер 264, страница 89.
№264 (с. 89)
Условие. №264 (с. 89)
скриншот условия

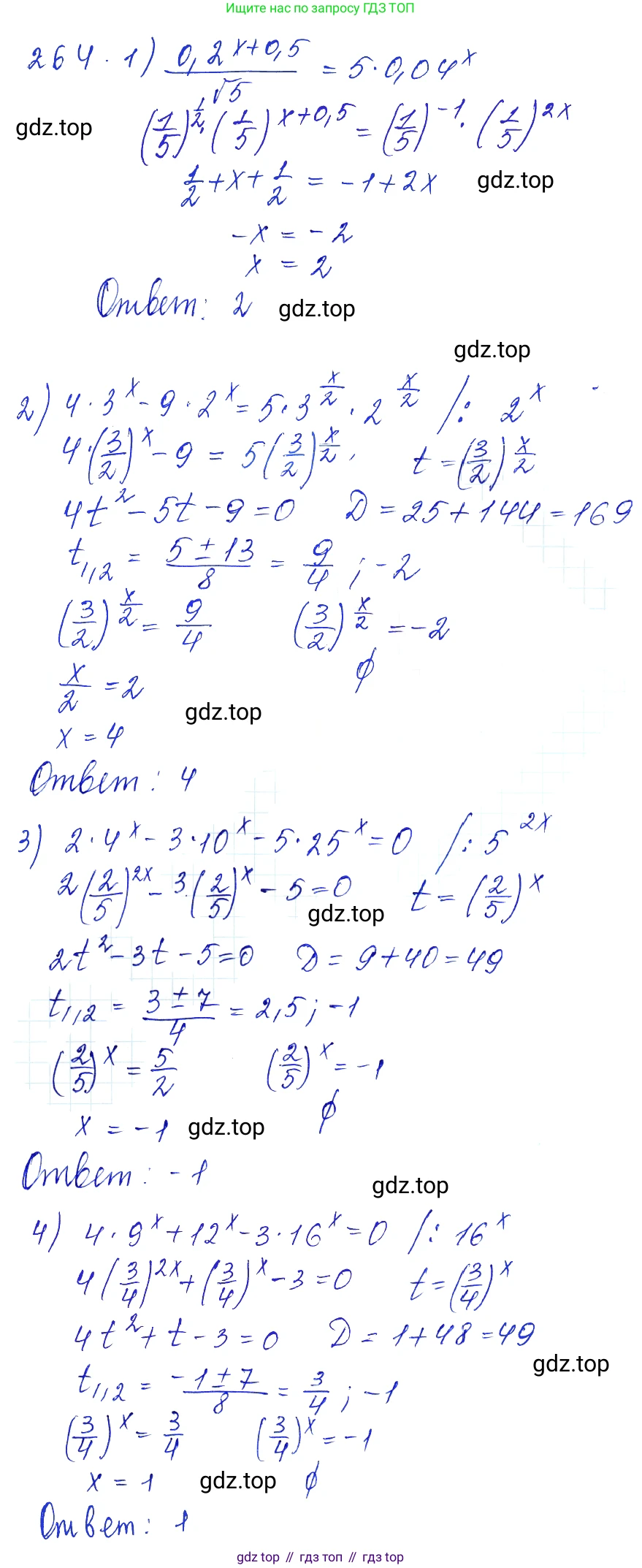
264 Решить уравнение:
1) $\frac{0,2^{x+0,5}}{\sqrt{5}} = 5 \cdot 0,04^x$
2) $4 \cdot 3^x - 9 \cdot 2^x = 5 \cdot 3^{\frac{x}{2}} \cdot 2^{\frac{x}{2}}$
3) $2 \cdot 4^x - 3 \cdot 10^x - 5 \cdot 25^x = 0$
4) $4 \cdot 9^x + 12^x - 3 \cdot 16^x = 0$
Решение 1. №264 (с. 89)




Решение 2. №264 (с. 89)



Решение 4. №264 (с. 89)

Решение 5. №264 (с. 89)

Решение 6. №264 (с. 89)

Решение 7. №264 (с. 89)



Решение 8. №264 (с. 89)
1) $\frac{0,2^{x+0,5}}{\sqrt{5}} = 5 \cdot 0,04^x$
Для решения этого показательного уравнения приведем все его части к одному основанию, в данном случае к основанию 5. Вспомним следующие соотношения:
$0,2 = \frac{2}{10} = \frac{1}{5} = 5^{-1}$
$\sqrt{5} = 5^{\frac{1}{2}} = 5^{0,5}$
$0,04 = \frac{4}{100} = \frac{1}{25} = 5^{-2}$
Теперь подставим эти выражения в исходное уравнение:
$\frac{(5^{-1})^{x+0,5}}{5^{0,5}} = 5^1 \cdot (5^{-2})^x$
Применим свойства степеней $(a^m)^n = a^{mn}$, $\frac{a^m}{a^n} = a^{m-n}$ и $a^m \cdot a^n = a^{m+n}$ для упрощения уравнения:
$\frac{5^{-x-0,5}}{5^{0,5}} = 5^{1-2x}$
$5^{-x-0,5-0,5} = 5^{1-2x}$
$5^{-x-1} = 5^{1-2x}$
Поскольку основания степеней одинаковы, мы можем приравнять их показатели:
$-x - 1 = 1 - 2x$
Решим полученное линейное уравнение:
$2x - x = 1 + 1$
$x = 2$
Ответ: $2$
2) $4 \cdot 3^x - 9 \cdot 2^x = 5 \cdot 3^{\frac{x}{2}} \cdot 2^{\frac{x}{2}}$
Заметим, что $3^x = (3^{\frac{x}{2}})^2$ и $2^x = (2^{\frac{x}{2}})^2$. Перепишем уравнение в этом виде:
$4 \cdot (3^{\frac{x}{2}})^2 - 9 \cdot (2^{\frac{x}{2}})^2 = 5 \cdot 3^{\frac{x}{2}} \cdot 2^{\frac{x}{2}}$
Это однородное показательное уравнение. Чтобы его решить, разделим обе части на $(2^{\frac{x}{2}})^2 = 2^x$. Так как $2^x > 0$ при любом действительном $x$, это преобразование является равносильным.
$4 \cdot \frac{(3^{\frac{x}{2}})^2}{(2^{\frac{x}{2}})^2} - 9 \cdot \frac{(2^{\frac{x}{2}})^2}{(2^{\frac{x}{2}})^2} = 5 \cdot \frac{3^{\frac{x}{2}} \cdot 2^{\frac{x}{2}}}{(2^{\frac{x}{2}})^2}$
$4 \cdot \left(\left(\frac{3}{2}\right)^{\frac{x}{2}}\right)^2 - 9 = 5 \cdot \left(\frac{3}{2}\right)^{\frac{x}{2}}$
Произведем замену переменной. Пусть $t = \left(\frac{3}{2}\right)^{\frac{x}{2}}$. Поскольку значение показательной функции всегда положительно, $t > 0$. Тогда уравнение примет вид квадратного:
$4t^2 - 5t - 9 = 0$
Найдем корни этого уравнения, например, с помощью дискриминанта: $D = (-5)^2 - 4 \cdot 4 \cdot (-9) = 25 + 144 = 169 = 13^2$.
$t_1 = \frac{5 - 13}{2 \cdot 4} = \frac{-8}{8} = -1$
$t_2 = \frac{5 + 13}{2 \cdot 4} = \frac{18}{8} = \frac{9}{4}$
Корень $t_1 = -1$ не удовлетворяет условию $t > 0$, поэтому он является посторонним.
Вернемся к исходной переменной, используя корень $t_2 = \frac{9}{4}$:
$\left(\frac{3}{2}\right)^{\frac{x}{2}} = \frac{9}{4}$
$\left(\frac{3}{2}\right)^{\frac{x}{2}} = \left(\frac{3}{2}\right)^2$
Приравниваем показатели степеней: $\frac{x}{2} = 2$, откуда $x = 4$.
Ответ: $4$
3) $2 \cdot 4^x - 3 \cdot 10^x - 5 \cdot 25^x = 0$
Представим основания степеней через простые множители 2 и 5: $4^x = (2^2)^x = (2^x)^2$, $10^x = (2 \cdot 5)^x = 2^x \cdot 5^x$, $25^x = (5^2)^x = (5^x)^2$.
Подставим эти выражения в уравнение:
$2 \cdot (2^x)^2 - 3 \cdot 2^x \cdot 5^x - 5 \cdot (5^x)^2 = 0$
Это однородное показательное уравнение. Разделим все его члены на $(5^x)^2 = 25^x$ (это выражение всегда положительно):
$2 \cdot \frac{(2^x)^2}{(5^x)^2} - 3 \cdot \frac{2^x \cdot 5^x}{(5^x)^2} - 5 \cdot \frac{(5^x)^2}{(5^x)^2} = 0$
$2 \cdot \left(\frac{2}{5}\right)^{2x} - 3 \cdot \left(\frac{2}{5}\right)^x - 5 = 0$
Сделаем замену. Пусть $t = \left(\frac{2}{5}\right)^x$, при этом $t > 0$.
Получаем квадратное уравнение: $2t^2 - 3t - 5 = 0$.
Найдем его корни. Дискриминант $D = (-3)^2 - 4 \cdot 2 \cdot (-5) = 9 + 40 = 49 = 7^2$.
$t_1 = \frac{3 - 7}{2 \cdot 2} = \frac{-4}{4} = -1$
$t_2 = \frac{3 + 7}{2 \cdot 2} = \frac{10}{4} = \frac{5}{2}$
Корень $t_1 = -1$ не удовлетворяет условию $t > 0$.
Выполним обратную замену для $t_2 = \frac{5}{2}$:
$\left(\frac{2}{5}\right)^x = \frac{5}{2}$
Так как $\frac{5}{2} = \left(\frac{2}{5}\right)^{-1}$, то:
$\left(\frac{2}{5}\right)^x = \left(\frac{2}{5}\right)^{-1}$
Отсюда $x = -1$.
Ответ: $-1$
4) $4 \cdot 9^x + 12^x - 3 \cdot 16^x = 0$
Представим основания степеней через степени чисел 3 и 4: $9^x = (3^2)^x = (3^x)^2$, $12^x = (3 \cdot 4)^x = 3^x \cdot 4^x$, $16^x = (4^2)^x = (4^x)^2$.
Подставим эти выражения в уравнение:
$4 \cdot (3^x)^2 + 3^x \cdot 4^x - 3 \cdot (4^x)^2 = 0$
Это однородное показательное уравнение. Разделим все его члены на $(4^x)^2 = 16^x$, которое всегда положительно:
$4 \cdot \frac{(3^x)^2}{(4^x)^2} + \frac{3^x \cdot 4^x}{(4^x)^2} - 3 \cdot \frac{(4^x)^2}{(4^x)^2} = 0$
$4 \cdot \left(\frac{3}{4}\right)^{2x} + \left(\frac{3}{4}\right)^x - 3 = 0$
Сделаем замену. Пусть $t = \left(\frac{3}{4}\right)^x$, где $t > 0$.
Получаем квадратное уравнение: $4t^2 + t - 3 = 0$.
Найдем его корни. Дискриминант $D = 1^2 - 4 \cdot 4 \cdot (-3) = 1 + 48 = 49 = 7^2$.
$t_1 = \frac{-1 - 7}{2 \cdot 4} = \frac{-8}{8} = -1$
$t_2 = \frac{-1 + 7}{2 \cdot 4} = \frac{6}{8} = \frac{3}{4}$
Корень $t_1 = -1$ не удовлетворяет условию $t > 0$.
Выполним обратную замену для $t_2 = \frac{3}{4}$:
$\left(\frac{3}{4}\right)^x = \frac{3}{4}$
$\left(\frac{3}{4}\right)^x = \left(\frac{3}{4}\right)^1$
Отсюда $x = 1$.
Ответ: $1$
Другие задания:
Помогло решение? Оставьте отзыв в комментариях ниже.
Мы подготовили для вас ответ c подробным объяснением домашего задания по алгебре за 10-11 класс, для упражнения номер 264 расположенного на странице 89 к учебнику 2014 года издания для учащихся школ и гимназий.
Теперь на нашем сайте ГДЗ.ТОП вы всегда легко и бесплатно найдёте условие с правильным ответом на вопрос «Как решить ДЗ» и «Как сделать» задание по алгебре к упражнению №264 (с. 89), авторов: Алимов (Шавкат Арифджанович), Колягин (Юрий Михайлович), Ткачева (Мария Владимировна), Федорова (Надежда Евгеньевна), Шабунин (Михаил Иванович), ФГОС (старый) базовый и углублённый уровень обучения учебного пособия издательства Просвещение.