Номер 277, страница 92 - гдз по алгебре 10-11 класс учебник Алимов, Колягин

Алгебра, 10-11 класс Учебник, авторы: Алимов Шавкат Арифджанович, Колягин Юрий Михайлович, Ткачева Мария Владимировна, Федорова Надежда Евгеньевна, Шабунин Михаил Иванович, издательство Просвещение, Москва, 2014

Авторы: Алимов Ш. А., Колягин Ю. М., Ткачева М. В., Федорова Н. Е., Шабунин М. И.

Тип: Учебник

Издательство: Просвещение

Год издания: 2014 - 2025

Уровень обучения: базовый и углублённый

Цвет обложки: синий, фиолетовый

ISBN: 978-5-09-112136-0

Допущено Министерством просвещения Российской Федерации

Математика: алгебра и начала математического анализа, геометрия

Популярные ГДЗ в 10 классе

Глава 4. Логарифмическая функция. Параграф 15. Логарифмы - номер 277, страница 92.

№277 (с. 92)
Условие. №277 (с. 92)
скриншот условия
Алгебра, 10-11 класс Учебник, авторы: Алимов Шавкат Арифджанович, Колягин Юрий Михайлович, Ткачева Мария Владимировна, Федорова Надежда Евгеньевна, Шабунин Михаил Иванович, издательство Просвещение, Москва, 2014, страница 92, номер 277, Условие

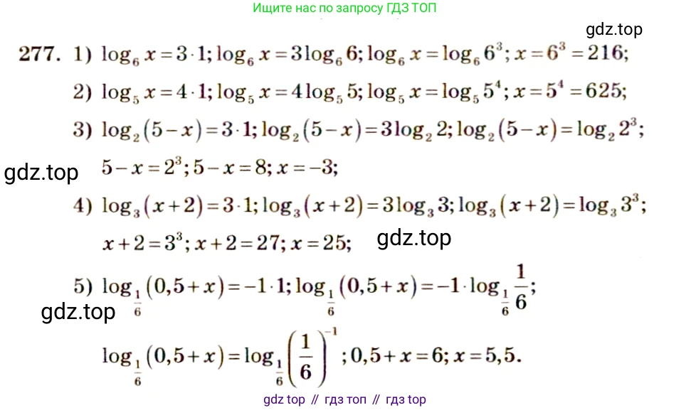
277 Решить уравнение:

1) $\log_6 x = 3$;

2) $\log_5 x = 4$;

3) $\log_2 (5 - x) = 3$;

4) $\log_3 (x + 2) = 3$;

5) $\log_{\frac{1}{6}} (0.5 + x) = -1$.

Решение 1. №277 (с. 92)
Алгебра, 10-11 класс Учебник, авторы: Алимов Шавкат Арифджанович, Колягин Юрий Михайлович, Ткачева Мария Владимировна, Федорова Надежда Евгеньевна, Шабунин Михаил Иванович, издательство Просвещение, Москва, 2014, страница 92, номер 277, Решение 1
Алгебра, 10-11 класс Учебник, авторы: Алимов Шавкат Арифджанович, Колягин Юрий Михайлович, Ткачева Мария Владимировна, Федорова Надежда Евгеньевна, Шабунин Михаил Иванович, издательство Просвещение, Москва, 2014, страница 92, номер 277, Решение 1 (продолжение 2)
Алгебра, 10-11 класс Учебник, авторы: Алимов Шавкат Арифджанович, Колягин Юрий Михайлович, Ткачева Мария Владимировна, Федорова Надежда Евгеньевна, Шабунин Михаил Иванович, издательство Просвещение, Москва, 2014, страница 92, номер 277, Решение 1 (продолжение 3)
Алгебра, 10-11 класс Учебник, авторы: Алимов Шавкат Арифджанович, Колягин Юрий Михайлович, Ткачева Мария Владимировна, Федорова Надежда Евгеньевна, Шабунин Михаил Иванович, издательство Просвещение, Москва, 2014, страница 92, номер 277, Решение 1 (продолжение 4)
Алгебра, 10-11 класс Учебник, авторы: Алимов Шавкат Арифджанович, Колягин Юрий Михайлович, Ткачева Мария Владимировна, Федорова Надежда Евгеньевна, Шабунин Михаил Иванович, издательство Просвещение, Москва, 2014, страница 92, номер 277, Решение 1 (продолжение 5)
Решение 2. №277 (с. 92)
Алгебра, 10-11 класс Учебник, авторы: Алимов Шавкат Арифджанович, Колягин Юрий Михайлович, Ткачева Мария Владимировна, Федорова Надежда Евгеньевна, Шабунин Михаил Иванович, издательство Просвещение, Москва, 2014, страница 92, номер 277, Решение 2
Алгебра, 10-11 класс Учебник, авторы: Алимов Шавкат Арифджанович, Колягин Юрий Михайлович, Ткачева Мария Владимировна, Федорова Надежда Евгеньевна, Шабунин Михаил Иванович, издательство Просвещение, Москва, 2014, страница 92, номер 277, Решение 2 (продолжение 2)
Решение 4. №277 (с. 92)
Алгебра, 10-11 класс Учебник, авторы: Алимов Шавкат Арифджанович, Колягин Юрий Михайлович, Ткачева Мария Владимировна, Федорова Надежда Евгеньевна, Шабунин Михаил Иванович, издательство Просвещение, Москва, 2014, страница 92, номер 277, Решение 4
Решение 5. №277 (с. 92)
Алгебра, 10-11 класс Учебник, авторы: Алимов Шавкат Арифджанович, Колягин Юрий Михайлович, Ткачева Мария Владимировна, Федорова Надежда Евгеньевна, Шабунин Михаил Иванович, издательство Просвещение, Москва, 2014, страница 92, номер 277, Решение 5
Решение 6. №277 (с. 92)
Алгебра, 10-11 класс Учебник, авторы: Алимов Шавкат Арифджанович, Колягин Юрий Михайлович, Ткачева Мария Владимировна, Федорова Надежда Евгеньевна, Шабунин Михаил Иванович, издательство Просвещение, Москва, 2014, страница 92, номер 277, Решение 6
Решение 7. №277 (с. 92)
Алгебра, 10-11 класс Учебник, авторы: Алимов Шавкат Арифджанович, Колягин Юрий Михайлович, Ткачева Мария Владимировна, Федорова Надежда Евгеньевна, Шабунин Михаил Иванович, издательство Просвещение, Москва, 2014, страница 92, номер 277, Решение 7
Решение 8. №277 (с. 92)

1) $ \log_{6} x = 3 $
Для решения этого уравнения воспользуемся определением логарифма: $ \log_{a} b = c $ эквивалентно $ a^c = b $.В данном случае основание $ a=6 $, логарифм $ c=3 $, а число под логарифмом $ b=x $.Применяя определение, получаем:$ x = 6^3 $Вычисляем степень:$ x = 6 \cdot 6 \cdot 6 = 36 \cdot 6 = 216 $.Область допустимых значений (ОДЗ) для этого уравнения — $ x > 0 $. Наш корень $ x=216 $ удовлетворяет этому условию.
Ответ: 216

2) $ \log_{5} x = 4 $
Аналогично предыдущему пункту, используем определение логарифма $ a^c = b $:$ x = 5^4 $Вычисляем степень:$ x = 5 \cdot 5 \cdot 5 \cdot 5 = 25 \cdot 25 = 625 $.ОДЗ: $ x > 0 $. Корень $ x=625 $ удовлетворяет условию.
Ответ: 625

3) $ \log_{2} (5 - x) = 3 $
Сначала найдем область допустимых значений (ОДЗ). Выражение, стоящее под знаком логарифма, должно быть строго положительным:$ 5 - x > 0 $$ 5 > x $, или $ x < 5 $.Теперь решим уравнение, используя определение логарифма:$ 5 - x = 2^3 $$ 5 - x = 8 $Перенесем 5 в правую часть:$ -x = 8 - 5 $$ -x = 3 $$ x = -3 $Проверим, принадлежит ли найденный корень ОДЗ. Условие $ x < 5 $ выполняется, так как $ -3 < 5 $.
Ответ: -3

4) $ \log_{3} (x + 2) = 3 $
Найдем ОДЗ. Выражение под логарифмом должно быть положительным:$ x + 2 > 0 $$ x > -2 $.Решим уравнение по определению логарифма:$ x + 2 = 3^3 $$ x + 2 = 27 $Перенесем 2 в правую часть:$ x = 27 - 2 $$ x = 25 $Проверим корень на соответствие ОДЗ. Условие $ x > -2 $ выполняется, так как $ 25 > -2 $.
Ответ: 25

5) $ \log_{\frac{1}{6}} (0,5 + x) = -1 $
Найдем ОДЗ:$ 0,5 + x > 0 $$ x > -0,5 $.Решим уравнение по определению логарифма. Основание $ a = \frac{1}{6} $.$ 0,5 + x = \left(\frac{1}{6}\right)^{-1} $Используем свойство степени с отрицательным показателем $ (a/b)^{-n} = (b/a)^n $:$ \left(\frac{1}{6}\right)^{-1} = \frac{6}{1} = 6 $Тогда уравнение принимает вид:$ 0,5 + x = 6 $$ x = 6 - 0,5 $$ x = 5,5 $Проверим корень на соответствие ОДЗ. Условие $ x > -0,5 $ выполняется, так как $ 5,5 > -0,5 $.
Ответ: 5,5

Помогло решение? Оставьте отзыв в комментариях ниже.

Присоединяйтесь к Телеграм-группе @top_gdz

Присоединиться

Мы подготовили для вас ответ c подробным объяснением домашего задания по алгебре за 10-11 класс, для упражнения номер 277 расположенного на странице 92 к учебнику 2014 года издания для учащихся школ и гимназий.

Теперь на нашем сайте ГДЗ.ТОП вы всегда легко и бесплатно найдёте условие с правильным ответом на вопрос «Как решить ДЗ» и «Как сделать» задание по алгебре к упражнению №277 (с. 92), авторов: Алимов (Шавкат Арифджанович), Колягин (Юрий Михайлович), Ткачева (Мария Владимировна), Федорова (Надежда Евгеньевна), Шабунин (Михаил Иванович), ФГОС (старый) базовый и углублённый уровень обучения учебного пособия издательства Просвещение.