Номер 284, страница 93 - гдз по алгебре 10-11 класс учебник Алимов, Колягин

Алгебра, 10-11 класс Учебник, авторы: Алимов Шавкат Арифджанович, Колягин Юрий Михайлович, Ткачева Мария Владимировна, Федорова Надежда Евгеньевна, Шабунин Михаил Иванович, издательство Просвещение, Москва, 2014

Авторы: Алимов Ш. А., Колягин Ю. М., Ткачева М. В., Федорова Н. Е., Шабунин М. И.

Тип: Учебник

Издательство: Просвещение

Год издания: 2014 - 2025

Уровень обучения: базовый и углублённый

Цвет обложки: синий, фиолетовый

ISBN: 978-5-09-112136-0

Допущено Министерством просвещения Российской Федерации

Математика: алгебра и начала математического анализа, геометрия

Популярные ГДЗ в 10 классе

Глава 4. Логарифмическая функция. Параграф 15. Логарифмы - номер 284, страница 93.

№284 (с. 93)
Условие. №284 (с. 93)
скриншот условия
Алгебра, 10-11 класс Учебник, авторы: Алимов Шавкат Арифджанович, Колягин Юрий Михайлович, Ткачева Мария Владимировна, Федорова Надежда Евгеньевна, Шабунин Михаил Иванович, издательство Просвещение, Москва, 2014, страница 93, номер 284, Условие

284 1) $\log_3 (1 - x^3)$;

2) $\log_2 (x^3 + 8)$;

3) $\log_{\frac{1}{4}} (x^3 + x^2 - 6x)$;

4) $\log_{\frac{1}{3}} (x^3 + x^2 - 2x)$.

Решение 1. №284 (с. 93)
Алгебра, 10-11 класс Учебник, авторы: Алимов Шавкат Арифджанович, Колягин Юрий Михайлович, Ткачева Мария Владимировна, Федорова Надежда Евгеньевна, Шабунин Михаил Иванович, издательство Просвещение, Москва, 2014, страница 93, номер 284, Решение 1
Алгебра, 10-11 класс Учебник, авторы: Алимов Шавкат Арифджанович, Колягин Юрий Михайлович, Ткачева Мария Владимировна, Федорова Надежда Евгеньевна, Шабунин Михаил Иванович, издательство Просвещение, Москва, 2014, страница 93, номер 284, Решение 1 (продолжение 2)
Алгебра, 10-11 класс Учебник, авторы: Алимов Шавкат Арифджанович, Колягин Юрий Михайлович, Ткачева Мария Владимировна, Федорова Надежда Евгеньевна, Шабунин Михаил Иванович, издательство Просвещение, Москва, 2014, страница 93, номер 284, Решение 1 (продолжение 3)
Алгебра, 10-11 класс Учебник, авторы: Алимов Шавкат Арифджанович, Колягин Юрий Михайлович, Ткачева Мария Владимировна, Федорова Надежда Евгеньевна, Шабунин Михаил Иванович, издательство Просвещение, Москва, 2014, страница 93, номер 284, Решение 1 (продолжение 4)
Решение 2. №284 (с. 93)
Алгебра, 10-11 класс Учебник, авторы: Алимов Шавкат Арифджанович, Колягин Юрий Михайлович, Ткачева Мария Владимировна, Федорова Надежда Евгеньевна, Шабунин Михаил Иванович, издательство Просвещение, Москва, 2014, страница 93, номер 284, Решение 2
Решение 4. №284 (с. 93)
Алгебра, 10-11 класс Учебник, авторы: Алимов Шавкат Арифджанович, Колягин Юрий Михайлович, Ткачева Мария Владимировна, Федорова Надежда Евгеньевна, Шабунин Михаил Иванович, издательство Просвещение, Москва, 2014, страница 93, номер 284, Решение 4
Решение 5. №284 (с. 93)
Алгебра, 10-11 класс Учебник, авторы: Алимов Шавкат Арифджанович, Колягин Юрий Михайлович, Ткачева Мария Владимировна, Федорова Надежда Евгеньевна, Шабунин Михаил Иванович, издательство Просвещение, Москва, 2014, страница 93, номер 284, Решение 5
Решение 6. №284 (с. 93)
Алгебра, 10-11 класс Учебник, авторы: Алимов Шавкат Арифджанович, Колягин Юрий Михайлович, Ткачева Мария Владимировна, Федорова Надежда Евгеньевна, Шабунин Михаил Иванович, издательство Просвещение, Москва, 2014, страница 93, номер 284, Решение 6
Решение 7. №284 (с. 93)
Алгебра, 10-11 класс Учебник, авторы: Алимов Шавкат Арифджанович, Колягин Юрий Михайлович, Ткачева Мария Владимировна, Федорова Надежда Евгеньевна, Шабунин Михаил Иванович, издательство Просвещение, Москва, 2014, страница 93, номер 284, Решение 7 Алгебра, 10-11 класс Учебник, авторы: Алимов Шавкат Арифджанович, Колягин Юрий Михайлович, Ткачева Мария Владимировна, Федорова Надежда Евгеньевна, Шабунин Михаил Иванович, издательство Просвещение, Москва, 2014, страница 93, номер 284, Решение 7 (продолжение 2)
Решение 8. №284 (с. 93)

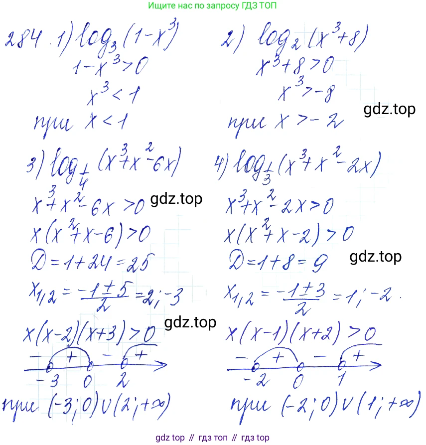
Для нахождения области определения логарифмической функции $ \log_a f(x) $ необходимо, чтобы выражение, стоящее под знаком логарифма, было строго положительным, то есть $ f(x) > 0 $. Основания логарифмов во всех представленных примерах являются допустимыми постоянными величинами ($ a > 0, a \neq 1 $), поэтому для нахождения области определения каждой функции достаточно решить соответствующее неравенство.

1)

Найдем область определения функции $ \log_3(1 - x^3) $.
Условие существования логарифма:
$ 1 - x^3 > 0 $
Решим это неравенство:
$ 1 > x^3 $
$ x^3 < 1 $
Извлекая кубический корень из обеих частей, получаем:
$ x < 1 $
Область определения — это интервал $ (-\infty; 1) $.
Ответ: $ (-\infty; 1) $.

2)

Найдем область определения функции $ \log_2(x^3 + 8) $.
Условие существования логарифма:
$ x^3 + 8 > 0 $
Решим неравенство:
$ x^3 > -8 $
Извлекая кубический корень из обеих частей, получаем:
$ x > \sqrt[3]{-8} $
$ x > -2 $
Область определения — это интервал $ (-2; +\infty) $.
Ответ: $ (-2; +\infty) $.

3)

Найдем область определения функции $ \log_{\frac{1}{4}}(x^3 + x^2 - 6x) $.
Условие существования логарифма:
$ x^3 + x^2 - 6x > 0 $
Для решения неравенства разложим многочлен на множители. Вынесем $ x $ за скобки:
$ x(x^2 + x - 6) > 0 $
Найдем корни квадратного трехчлена $ x^2 + x - 6 = 0 $. По теореме Виета, сумма корней равна -1, а произведение -6. Корни равны $ x_1 = -3 $ и $ x_2 = 2 $.
Тогда $ x^2 + x - 6 = (x+3)(x-2) $.
Неравенство принимает вид:
$ x(x+3)(x-2) > 0 $
Решим это неравенство методом интервалов. Корни левой части: $ x = -3, x = 0, x = 2 $.
Нанесем эти точки на числовую ось, они разделят ее на четыре интервала. Определим знак выражения в каждом интервале:
- на $ (-\infty; -3) $: знак "−"
- на $ (-3; 0) $: знак "+"
- на $ (0; 2) $: знак "−"
- на $ (2; +\infty) $: знак "+"
Поскольку мы ищем значения, где выражение больше нуля, выбираем интервалы со знаком "+".
Область определения — это объединение интервалов $ (-3; 0) \cup (2; +\infty) $.
Ответ: $ (-3; 0) \cup (2; +\infty) $.

4)

Найдем область определения функции $ \log_{\frac{1}{3}}(x^3 + x^2 - 2x) $.
Условие существования логарифма:
$ x^3 + x^2 - 2x > 0 $
Разложим многочлен на множители, вынеся $ x $ за скобки:
$ x(x^2 + x - 2) > 0 $
Найдем корни квадратного трехчлена $ x^2 + x - 2 = 0 $. По теореме Виета, сумма корней равна -1, а произведение -2. Корни равны $ x_1 = -2 $ и $ x_2 = 1 $.
Тогда $ x^2 + x - 2 = (x+2)(x-1) $.
Неравенство принимает вид:
$ x(x+2)(x-1) > 0 $
Решим это неравенство методом интервалов. Корни левой части: $ x = -2, x = 0, x = 1 $.
Нанесем эти точки на числовую ось и определим знак выражения в каждом интервале:
- на $ (-\infty; -2) $: знак "−"
- на $ (-2; 0) $: знак "+"
- на $ (0; 1) $: знак "−"
- на $ (1; +\infty) $: знак "+"
Выбираем интервалы со знаком "+".
Область определения — это объединение интервалов $ (-2; 0) \cup (1; +\infty) $.
Ответ: $ (-2; 0) \cup (1; +\infty) $.

Помогло решение? Оставьте отзыв в комментариях ниже.

Присоединяйтесь к Телеграм-группе @top_gdz

Присоединиться

Мы подготовили для вас ответ c подробным объяснением домашего задания по алгебре за 10-11 класс, для упражнения номер 284 расположенного на странице 93 к учебнику 2014 года издания для учащихся школ и гимназий.

Теперь на нашем сайте ГДЗ.ТОП вы всегда легко и бесплатно найдёте условие с правильным ответом на вопрос «Как решить ДЗ» и «Как сделать» задание по алгебре к упражнению №284 (с. 93), авторов: Алимов (Шавкат Арифджанович), Колягин (Юрий Михайлович), Ткачева (Мария Владимировна), Федорова (Надежда Евгеньевна), Шабунин (Михаил Иванович), ФГОС (старый) базовый и углублённый уровень обучения учебного пособия издательства Просвещение.