Номер 286, страница 93 - гдз по алгебре 10-11 класс учебник Алимов, Колягин

Алгебра, 10-11 класс Учебник, авторы: Алимов Шавкат Арифджанович, Колягин Юрий Михайлович, Ткачева Мария Владимировна, Федорова Надежда Евгеньевна, Шабунин Михаил Иванович, издательство Просвещение, Москва, 2014

Авторы: Алимов Ш. А., Колягин Ю. М., Ткачева М. В., Федорова Н. Е., Шабунин М. И.

Тип: Учебник

Издательство: Просвещение

Год издания: 2014 - 2025

Уровень обучения: базовый и углублённый

Цвет обложки: синий, фиолетовый

ISBN: 978-5-09-112136-0

Допущено Министерством просвещения Российской Федерации

Математика: алгебра и начала математического анализа, геометрия

Популярные ГДЗ в 10 классе

Глава 4. Логарифмическая функция. Параграф 15. Логарифмы - номер 286, страница 93.

№286 (с. 93)
Условие. №286 (с. 93)
скриншот условия
Алгебра, 10-11 класс Учебник, авторы: Алимов Шавкат Арифджанович, Колягин Юрий Михайлович, Ткачева Мария Владимировна, Федорова Надежда Евгеньевна, Шабунин Михаил Иванович, издательство Просвещение, Москва, 2014, страница 93, номер 286, Условие

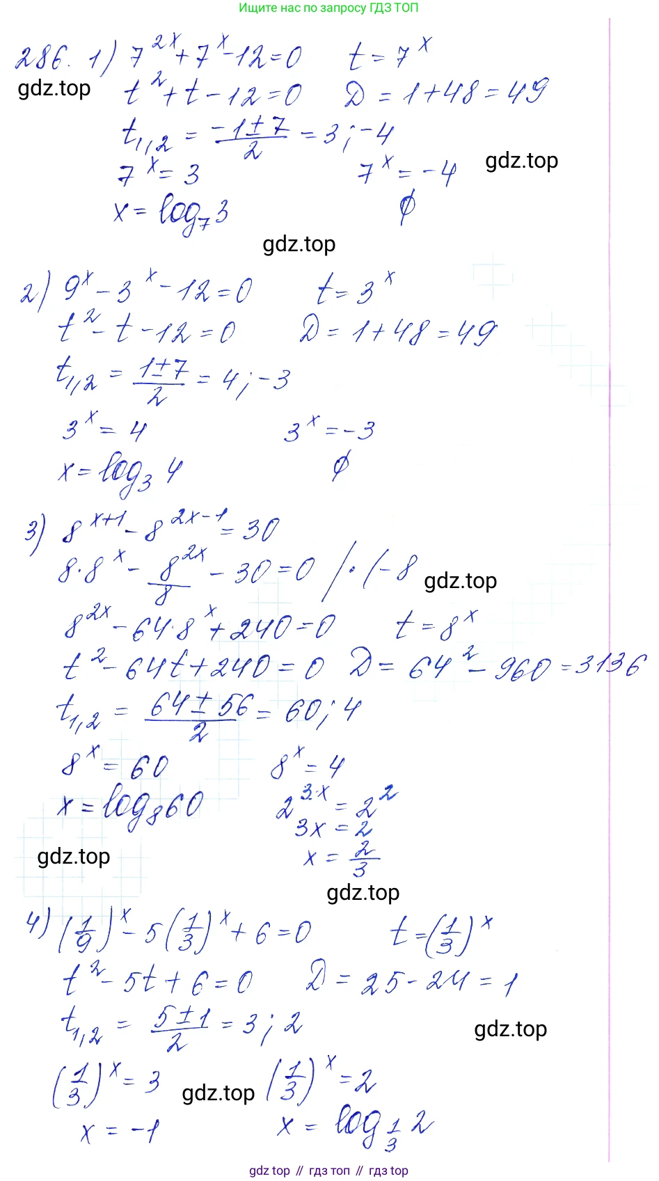
286 1) $7^{2x} + 7^x - 12 = 0;$

2) $9^x - 3^x - 12 = 0;$

3) $8^{x+1} - 8^{2x-1} = 30;$

4) $(\frac{1}{9})^x - 5(\frac{1}{3})^x + 6 = 0.$

Решение 1. №286 (с. 93)
Алгебра, 10-11 класс Учебник, авторы: Алимов Шавкат Арифджанович, Колягин Юрий Михайлович, Ткачева Мария Владимировна, Федорова Надежда Евгеньевна, Шабунин Михаил Иванович, издательство Просвещение, Москва, 2014, страница 93, номер 286, Решение 1
Алгебра, 10-11 класс Учебник, авторы: Алимов Шавкат Арифджанович, Колягин Юрий Михайлович, Ткачева Мария Владимировна, Федорова Надежда Евгеньевна, Шабунин Михаил Иванович, издательство Просвещение, Москва, 2014, страница 93, номер 286, Решение 1 (продолжение 2)
Алгебра, 10-11 класс Учебник, авторы: Алимов Шавкат Арифджанович, Колягин Юрий Михайлович, Ткачева Мария Владимировна, Федорова Надежда Евгеньевна, Шабунин Михаил Иванович, издательство Просвещение, Москва, 2014, страница 93, номер 286, Решение 1 (продолжение 3)
Алгебра, 10-11 класс Учебник, авторы: Алимов Шавкат Арифджанович, Колягин Юрий Михайлович, Ткачева Мария Владимировна, Федорова Надежда Евгеньевна, Шабунин Михаил Иванович, издательство Просвещение, Москва, 2014, страница 93, номер 286, Решение 1 (продолжение 4)
Решение 2. №286 (с. 93)
Алгебра, 10-11 класс Учебник, авторы: Алимов Шавкат Арифджанович, Колягин Юрий Михайлович, Ткачева Мария Владимировна, Федорова Надежда Евгеньевна, Шабунин Михаил Иванович, издательство Просвещение, Москва, 2014, страница 93, номер 286, Решение 2
Алгебра, 10-11 класс Учебник, авторы: Алимов Шавкат Арифджанович, Колягин Юрий Михайлович, Ткачева Мария Владимировна, Федорова Надежда Евгеньевна, Шабунин Михаил Иванович, издательство Просвещение, Москва, 2014, страница 93, номер 286, Решение 2 (продолжение 2)
Алгебра, 10-11 класс Учебник, авторы: Алимов Шавкат Арифджанович, Колягин Юрий Михайлович, Ткачева Мария Владимировна, Федорова Надежда Евгеньевна, Шабунин Михаил Иванович, издательство Просвещение, Москва, 2014, страница 93, номер 286, Решение 2 (продолжение 3)
Решение 4. №286 (с. 93)
Алгебра, 10-11 класс Учебник, авторы: Алимов Шавкат Арифджанович, Колягин Юрий Михайлович, Ткачева Мария Владимировна, Федорова Надежда Евгеньевна, Шабунин Михаил Иванович, издательство Просвещение, Москва, 2014, страница 93, номер 286, Решение 4
Решение 5. №286 (с. 93)
Алгебра, 10-11 класс Учебник, авторы: Алимов Шавкат Арифджанович, Колягин Юрий Михайлович, Ткачева Мария Владимировна, Федорова Надежда Евгеньевна, Шабунин Михаил Иванович, издательство Просвещение, Москва, 2014, страница 93, номер 286, Решение 5
Решение 6. №286 (с. 93)
Алгебра, 10-11 класс Учебник, авторы: Алимов Шавкат Арифджанович, Колягин Юрий Михайлович, Ткачева Мария Владимировна, Федорова Надежда Евгеньевна, Шабунин Михаил Иванович, издательство Просвещение, Москва, 2014, страница 93, номер 286, Решение 6
Решение 7. №286 (с. 93)
Алгебра, 10-11 класс Учебник, авторы: Алимов Шавкат Арифджанович, Колягин Юрий Михайлович, Ткачева Мария Владимировна, Федорова Надежда Евгеньевна, Шабунин Михаил Иванович, издательство Просвещение, Москва, 2014, страница 93, номер 286, Решение 7 Алгебра, 10-11 класс Учебник, авторы: Алимов Шавкат Арифджанович, Колягин Юрий Михайлович, Ткачева Мария Владимировна, Федорова Надежда Евгеньевна, Шабунин Михаил Иванович, издательство Просвещение, Москва, 2014, страница 93, номер 286, Решение 7 (продолжение 2) Алгебра, 10-11 класс Учебник, авторы: Алимов Шавкат Арифджанович, Колягин Юрий Михайлович, Ткачева Мария Владимировна, Федорова Надежда Евгеньевна, Шабунин Михаил Иванович, издательство Просвещение, Москва, 2014, страница 93, номер 286, Решение 7 (продолжение 3)
Решение 8. №286 (с. 93)

1) Исходное уравнение: $7^{2x} + 7^x - 12 = 0$.
Это показательное уравнение, которое сводится к квадратному. Заметим, что $7^{2x} = (7^x)^2$.
Уравнение можно переписать в виде: $(7^x)^2 + 7^x - 12 = 0$.
Введем новую переменную. Пусть $t = 7^x$. Поскольку значение показательной функции всегда положительно, должно выполняться условие $t > 0$.
После замены получаем квадратное уравнение: $t^2 + t - 12 = 0$.
Решим это уравнение. По теореме Виета, сумма корней равна $-1$, а их произведение равно $-12$. Следовательно, корни уравнения: $t_1 = 3$ и $t_2 = -4$.
Теперь вернемся к замене и учтем условие $t > 0$.
Корень $t_2 = -4$ не удовлетворяет условию $t > 0$, поэтому он является посторонним.
Корень $t_1 = 3$ удовлетворяет условию, поэтому выполняем обратную замену: $7^x = 3$.
Чтобы найти $x$, логарифмируем обе части уравнения по основанию 7:
$x = \log_7 3$.
Ответ: $x = \log_7 3$.

2) Исходное уравнение: $9^x - 3^x - 12 = 0$.
Это уравнение также сводится к квадратному. Представим $9^x$ как $(3^2)^x = 3^{2x} = (3^x)^2$.
Уравнение примет вид: $(3^x)^2 - 3^x - 12 = 0$.
Сделаем замену переменной. Пусть $t = 3^x$, при этом $t > 0$.
Получаем квадратное уравнение: $t^2 - t - 12 = 0$.
Решим его. По теореме Виета, сумма корней равна $1$, а произведение $-12$. Корни уравнения: $t_1 = 4$ и $t_2 = -3$.
Проверим корни на соответствие условию $t > 0$.
Корень $t_2 = -3$ не подходит, так как $t$ должно быть положительным.
Корень $t_1 = 4$ подходит.
Выполняем обратную замену: $3^x = 4$.
Логарифмируя обе части по основанию 3, получаем:
$x = \log_3 4$.
Ответ: $x = \log_3 4$.

3) Исходное уравнение: $8^{x+1} - 8^{2x-1} = 30$.
Используем свойства степеней $a^{m+n} = a^m \cdot a^n$ и $a^{m-n} = a^m / a^n$:
$8^x \cdot 8^1 - \frac{8^{2x}}{8^1} = 30$.
Так как $8^{2x} = (8^x)^2$, уравнение можно записать как: $8 \cdot 8^x - \frac{(8^x)^2}{8} = 30$.
Введем замену $t = 8^x$, где $t > 0$.
$8t - \frac{t^2}{8} = 30$.
Умножим обе части уравнения на 8, чтобы избавиться от знаменателя:
$64t - t^2 = 240$.
Перенесем все члены в одну сторону, чтобы получить стандартное квадратное уравнение:
$t^2 - 64t + 240 = 0$.
Решим это уравнение через дискриминант $D = b^2 - 4ac$:
$D = (-64)^2 - 4 \cdot 1 \cdot 240 = 4096 - 960 = 3136 = 56^2$.
$t_{1,2} = \frac{-b \pm \sqrt{D}}{2a} = \frac{64 \pm 56}{2}$.
Находим два корня: $t_1 = \frac{64+56}{2} = \frac{120}{2} = 60$ и $t_2 = \frac{64-56}{2} = \frac{8}{2} = 4$.
Оба корня положительны, поэтому оба подходят.
Выполняем обратную замену для каждого корня:
1) $8^x = 60 \implies x_1 = \log_8 60$.
2) $8^x = 4$. Представим 8 и 4 как степени 2: $(2^3)^x = 2^2 \implies 2^{3x} = 2^2 \implies 3x = 2 \implies x_2 = \frac{2}{3}$.
Ответ: $x_1 = \frac{2}{3}, x_2 = \log_8 60$.

4) Исходное уравнение: $(\frac{1}{9})^x - 5(\frac{1}{3})^x + 6 = 0$.
Заметим, что $\frac{1}{9} = (\frac{1}{3})^2$, поэтому $(\frac{1}{9})^x = ((\frac{1}{3})^2)^x = ((\frac{1}{3})^x)^2$.
Уравнение можно переписать в виде: $((\frac{1}{3})^x)^2 - 5(\frac{1}{3})^x + 6 = 0$.
Введем замену $t = (\frac{1}{3})^x$. Условие: $t > 0$.
Получаем квадратное уравнение: $t^2 - 5t + 6 = 0$.
По теореме Виета, сумма корней равна 5, а произведение равно 6. Корни: $t_1 = 2$ и $t_2 = 3$.
Оба корня положительны, значит, оба подходят.
Выполняем обратную замену для каждого корня:
1) $(\frac{1}{3})^x = 2$. Логарифмируя по основанию $\frac{1}{3}$, получаем $x_1 = \log_{1/3} 2$. Используя свойство логарифма $\log_{a^k} b = \frac{1}{k}\log_a b$, можно записать: $x_1 = \log_{3^{-1}} 2 = -\log_3 2$.
2) $(\frac{1}{3})^x = 3$. Так как $3 = (\frac{1}{3})^{-1}$, получаем $(\frac{1}{3})^x = (\frac{1}{3})^{-1}$. Отсюда $x_2 = -1$.
Ответ: $x_1 = -1, x_2 = -\log_3 2$.

Помогло решение? Оставьте отзыв в комментариях ниже.

Присоединяйтесь к Телеграм-группе @top_gdz

Присоединиться

Мы подготовили для вас ответ c подробным объяснением домашего задания по алгебре за 10-11 класс, для упражнения номер 286 расположенного на странице 93 к учебнику 2014 года издания для учащихся школ и гимназий.

Теперь на нашем сайте ГДЗ.ТОП вы всегда легко и бесплатно найдёте условие с правильным ответом на вопрос «Как решить ДЗ» и «Как сделать» задание по алгебре к упражнению №286 (с. 93), авторов: Алимов (Шавкат Арифджанович), Колягин (Юрий Михайлович), Ткачева (Мария Владимировна), Федорова (Надежда Евгеньевна), Шабунин (Михаил Иванович), ФГОС (старый) базовый и углублённый уровень обучения учебного пособия издательства Просвещение.