Номер 293, страница 95 - гдз по алгебре 10-11 класс учебник Алимов, Колягин

Алгебра, 10-11 класс Учебник, авторы: Алимов Шавкат Арифджанович, Колягин Юрий Михайлович, Ткачева Мария Владимировна, Федорова Надежда Евгеньевна, Шабунин Михаил Иванович, издательство Просвещение, Москва, 2014

Авторы: Алимов Ш. А., Колягин Ю. М., Ткачева М. В., Федорова Н. Е., Шабунин М. И.

Тип: Учебник

Издательство: Просвещение

Год издания: 2014 - 2025

Уровень обучения: базовый и углублённый

Цвет обложки: синий, фиолетовый

ISBN: 978-5-09-112136-0

Допущено Министерством просвещения Российской Федерации

Математика: алгебра и начала математического анализа, геометрия

Популярные ГДЗ в 10 классе

Глава 4. Логарифмическая функция. Параграф 16. Свойства логарифмов - номер 293, страница 95.

№293 (с. 95)
Условие. №293 (с. 95)
скриншот условия
Алгебра, 10-11 класс Учебник, авторы: Алимов Шавкат Арифджанович, Колягин Юрий Михайлович, Ткачева Мария Владимировна, Федорова Надежда Евгеньевна, Шабунин Михаил Иванович, издательство Просвещение, Москва, 2014, страница 95, номер 293, Условие

293 1) $\log_8 12 - \log_8 15 + \log_8 20;$

2) $\log_9 15 + \log_9 18 - \log_9 10;$

3) $\frac{1}{2}\log_7 36 - \log_7 14 - 3\log_7 \sqrt[3]{21};$

4) $2\log_{\frac{1}{3}} 6 - \frac{1}{2}\log_{\frac{1}{3}} 400 + 3\log_{\frac{1}{3}} \sqrt[3]{45}.$

Решение 1. №293 (с. 95)
Алгебра, 10-11 класс Учебник, авторы: Алимов Шавкат Арифджанович, Колягин Юрий Михайлович, Ткачева Мария Владимировна, Федорова Надежда Евгеньевна, Шабунин Михаил Иванович, издательство Просвещение, Москва, 2014, страница 95, номер 293, Решение 1
Алгебра, 10-11 класс Учебник, авторы: Алимов Шавкат Арифджанович, Колягин Юрий Михайлович, Ткачева Мария Владимировна, Федорова Надежда Евгеньевна, Шабунин Михаил Иванович, издательство Просвещение, Москва, 2014, страница 95, номер 293, Решение 1 (продолжение 2)
Алгебра, 10-11 класс Учебник, авторы: Алимов Шавкат Арифджанович, Колягин Юрий Михайлович, Ткачева Мария Владимировна, Федорова Надежда Евгеньевна, Шабунин Михаил Иванович, издательство Просвещение, Москва, 2014, страница 95, номер 293, Решение 1 (продолжение 3)
Алгебра, 10-11 класс Учебник, авторы: Алимов Шавкат Арифджанович, Колягин Юрий Михайлович, Ткачева Мария Владимировна, Федорова Надежда Евгеньевна, Шабунин Михаил Иванович, издательство Просвещение, Москва, 2014, страница 95, номер 293, Решение 1 (продолжение 4)
Решение 2. №293 (с. 95)
Алгебра, 10-11 класс Учебник, авторы: Алимов Шавкат Арифджанович, Колягин Юрий Михайлович, Ткачева Мария Владимировна, Федорова Надежда Евгеньевна, Шабунин Михаил Иванович, издательство Просвещение, Москва, 2014, страница 95, номер 293, Решение 2
Решение 4. №293 (с. 95)
Алгебра, 10-11 класс Учебник, авторы: Алимов Шавкат Арифджанович, Колягин Юрий Михайлович, Ткачева Мария Владимировна, Федорова Надежда Евгеньевна, Шабунин Михаил Иванович, издательство Просвещение, Москва, 2014, страница 95, номер 293, Решение 4
Решение 5. №293 (с. 95)
Алгебра, 10-11 класс Учебник, авторы: Алимов Шавкат Арифджанович, Колягин Юрий Михайлович, Ткачева Мария Владимировна, Федорова Надежда Евгеньевна, Шабунин Михаил Иванович, издательство Просвещение, Москва, 2014, страница 95, номер 293, Решение 5
Решение 6. №293 (с. 95)
Алгебра, 10-11 класс Учебник, авторы: Алимов Шавкат Арифджанович, Колягин Юрий Михайлович, Ткачева Мария Владимировна, Федорова Надежда Евгеньевна, Шабунин Михаил Иванович, издательство Просвещение, Москва, 2014, страница 95, номер 293, Решение 6
Решение 7. №293 (с. 95)
Алгебра, 10-11 класс Учебник, авторы: Алимов Шавкат Арифджанович, Колягин Юрий Михайлович, Ткачева Мария Владимировна, Федорова Надежда Евгеньевна, Шабунин Михаил Иванович, издательство Просвещение, Москва, 2014, страница 95, номер 293, Решение 7
Решение 8. №293 (с. 95)

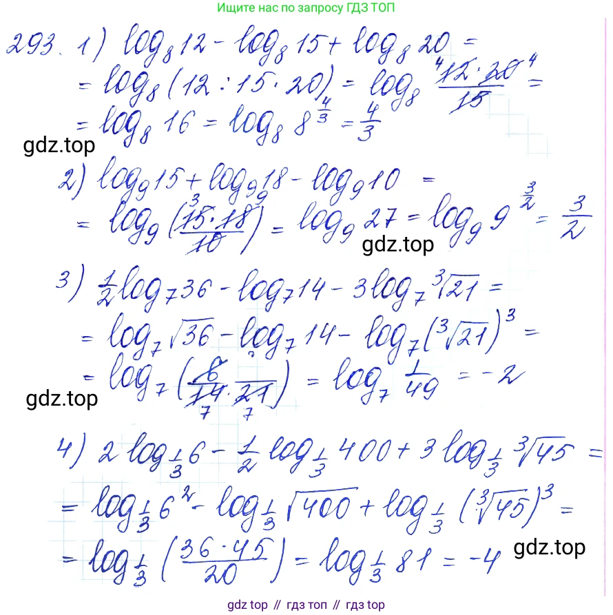
1) Для вычисления значения выражения $\log_8 12 - \log_8 15 + \log_8 20$ воспользуемся свойствами логарифмов. Так как все логарифмы имеют одинаковое основание 8, мы можем применить формулы суммы и разности логарифмов: $\log_a b + \log_a c = \log_a(b \cdot c)$ и $\log_a b - \log_a c = \log_a(\frac{b}{c})$.
Объединим все члены под одним знаком логарифма:
$\log_8 12 - \log_8 15 + \log_8 20 = \log_8\left(\frac{12 \cdot 20}{15}\right)$.
Выполним вычисления под знаком логарифма:
$\frac{12 \cdot 20}{15} = \frac{12 \cdot 4 \cdot 5}{3 \cdot 5} = \frac{12 \cdot 4}{3} = 4 \cdot 4 = 16$.
Таким образом, выражение сводится к $\log_8 16$.
Чтобы найти его значение, нужно определить, в какую степень нужно возвести 8, чтобы получить 16. Пусть $\log_8 16 = x$, тогда $8^x = 16$.
Представим 8 и 16 как степени числа 2: $8 = 2^3$, $16 = 2^4$.
Получаем уравнение: $(2^3)^x = 2^4$, что равносильно $2^{3x} = 2^4$.
Отсюда $3x = 4$, и $x = \frac{4}{3}$.
Ответ: $\frac{4}{3}$.

2) Для вычисления выражения $\log_9 15 + \log_9 18 - \log_9 10$ используем те же свойства логарифмов, так как основание у всех логарифмов одинаковое (9).
$\log_9 15 + \log_9 18 - \log_9 10 = \log_9\left(\frac{15 \cdot 18}{10}\right)$.
Упростим выражение в скобках:
$\frac{15 \cdot 18}{10} = \frac{3 \cdot 5 \cdot 18}{2 \cdot 5} = \frac{3 \cdot 18}{2} = 3 \cdot 9 = 27$.
Получаем $\log_9 27$.
Пусть $\log_9 27 = x$, тогда $9^x = 27$.
Представим 9 и 27 как степени числа 3: $9 = 3^2$, $27 = 3^3$.
Уравнение принимает вид: $(3^2)^x = 3^3$, что равносильно $3^{2x} = 3^3$.
Отсюда $2x = 3$, и $x = \frac{3}{2}$.
Ответ: $\frac{3}{2}$.

3) Для решения выражения $\frac{1}{2} \log_7 36 - \log_7 14 - 3 \log_7 \sqrt[3]{21}$ сначала применим свойство степени логарифма $n \log_a b = \log_a(b^n)$, чтобы избавиться от коэффициентов перед логарифмами.
$\frac{1}{2} \log_7 36 = \log_7(36^{1/2}) = \log_7\sqrt{36} = \log_7 6$.
$3 \log_7 \sqrt[3]{21} = \log_7((\sqrt[3]{21})^3) = \log_7 21$.
Теперь исходное выражение можно переписать так:
$\log_7 6 - \log_7 14 - \log_7 21$.
Применим свойства разности логарифмов:
$\log_7\left(\frac{6}{14}\right) - \log_7 21 = \log_7\left(\frac{3}{7}\right) - \log_7 21 = \log_7\left(\frac{3/7}{21}\right)$.
Упростим выражение под логарифмом:
$\frac{3/7}{21} = \frac{3}{7 \cdot 21} = \frac{3}{147} = \frac{1}{49}$.
Получаем $\log_7\left(\frac{1}{49}\right)$.
Так как $7^{-2} = \frac{1}{7^2} = \frac{1}{49}$, то значение логарифма равно -2.
Ответ: -2.

4) Для выражения $2 \log_{\frac{1}{3}} 6 - \frac{1}{2} \log_{\frac{1}{3}} 400 + 3 \log_{\frac{1}{3}} \sqrt[3]{45}$ применим тот же подход, что и в предыдущем задании.
Сначала внесем коэффициенты под знаки логарифмов:
$2 \log_{\frac{1}{3}} 6 = \log_{\frac{1}{3}}(6^2) = \log_{\frac{1}{3}} 36$.
$\frac{1}{2} \log_{\frac{1}{3}} 400 = \log_{\frac{1}{3}}(400^{1/2}) = \log_{\frac{1}{3}}\sqrt{400} = \log_{\frac{1}{3}} 20$.
$3 \log_{\frac{1}{3}} \sqrt[3]{45} = \log_{\frac{1}{3}}((\sqrt[3]{45})^3) = \log_{\frac{1}{3}} 45$.
Выражение принимает вид:
$\log_{\frac{1}{3}} 36 - \log_{\frac{1}{3}} 20 + \log_{\frac{1}{3}} 45$.
Объединяем логарифмы:
$\log_{\frac{1}{3}}\left(\frac{36 \cdot 45}{20}\right)$.
Упрощаем дробь:
$\frac{36 \cdot 45}{20} = \frac{36}{20} \cdot 45 = \frac{9}{5} \cdot 45 = 9 \cdot \frac{45}{5} = 9 \cdot 9 = 81$.
Получаем $\log_{\frac{1}{3}} 81$.
Пусть $\log_{\frac{1}{3}} 81 = x$, тогда $(\frac{1}{3})^x = 81$.
Представим обе части как степени числа 3: $\frac{1}{3} = 3^{-1}$ и $81 = 3^4$.
Получаем уравнение: $(3^{-1})^x = 3^4$, что равносильно $3^{-x} = 3^4$.
Отсюда $-x=4$, и $x=-4$.
Ответ: -4.

Помогло решение? Оставьте отзыв в комментариях ниже.

Присоединяйтесь к Телеграм-группе @top_gdz

Присоединиться

Мы подготовили для вас ответ c подробным объяснением домашего задания по алгебре за 10-11 класс, для упражнения номер 293 расположенного на странице 95 к учебнику 2014 года издания для учащихся школ и гимназий.

Теперь на нашем сайте ГДЗ.ТОП вы всегда легко и бесплатно найдёте условие с правильным ответом на вопрос «Как решить ДЗ» и «Как сделать» задание по алгебре к упражнению №293 (с. 95), авторов: Алимов (Шавкат Арифджанович), Колягин (Юрий Михайлович), Ткачева (Мария Владимировна), Федорова (Надежда Евгеньевна), Шабунин (Михаил Иванович), ФГОС (старый) базовый и углублённый уровень обучения учебного пособия издательства Просвещение.