Номер 296, страница 95 - гдз по алгебре 10-11 класс учебник Алимов, Колягин

Алгебра, 10-11 класс Учебник, авторы: Алимов Шавкат Арифджанович, Колягин Юрий Михайлович, Ткачева Мария Владимировна, Федорова Надежда Евгеньевна, Шабунин Михаил Иванович, издательство Просвещение, Москва, 2014

Авторы: Алимов Ш. А., Колягин Ю. М., Ткачева М. В., Федорова Н. Е., Шабунин М. И.

Тип: Учебник

Издательство: Просвещение

Год издания: 2014 - 2025

Уровень обучения: базовый и углублённый

Цвет обложки: синий, фиолетовый

ISBN: 978-5-09-112136-0

Допущено Министерством просвещения Российской Федерации

Математика: алгебра и начала математического анализа, геометрия

Популярные ГДЗ в 10 классе

Глава 4. Логарифмическая функция. Параграф 16. Свойства логарифмов - номер 296, страница 95.

№296 (с. 95)
Условие. №296 (с. 95)
скриншот условия
Алгебра, 10-11 класс Учебник, авторы: Алимов Шавкат Арифджанович, Колягин Юрий Михайлович, Ткачева Мария Владимировна, Федорова Надежда Евгеньевна, Шабунин Михаил Иванович, издательство Просвещение, Москва, 2014, страница 95, номер 296, Условие

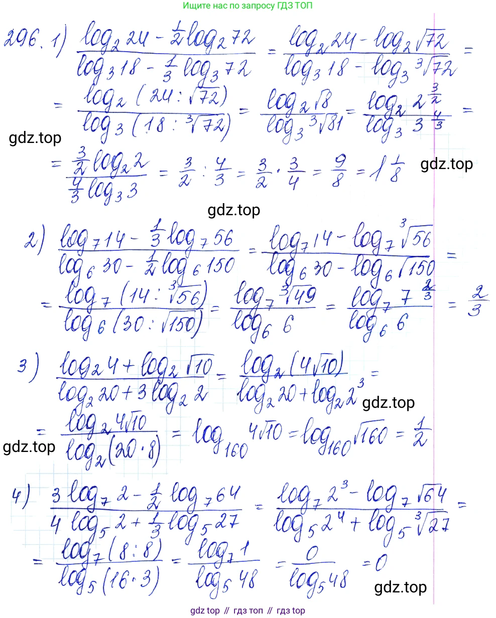
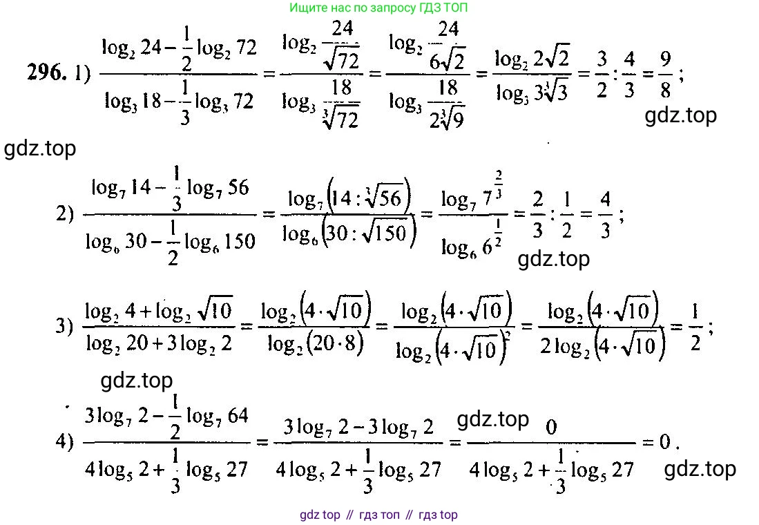
296 Вычислить:

1) $\frac{\log_2 24 - \frac{1}{2}\log_2 72}{\log_3 18 - \frac{1}{3}\log_3 72}$;

2) $\frac{\log_7 14 - \frac{1}{3}\log_7 56}{\log_6 30 - \frac{1}{2}\log_6 150}$;

3) $\frac{\log_2 4 + \log_2 \sqrt{10}}{\log_2 20 + 3 \log_2 2}$;

4) $ \frac{3 \log_7 2 - \frac{1}{2}\log_7 64}{4 \log_5 2 + \frac{1}{3}\log_5 27}$.

Решение 1. №296 (с. 95)
Алгебра, 10-11 класс Учебник, авторы: Алимов Шавкат Арифджанович, Колягин Юрий Михайлович, Ткачева Мария Владимировна, Федорова Надежда Евгеньевна, Шабунин Михаил Иванович, издательство Просвещение, Москва, 2014, страница 95, номер 296, Решение 1
Алгебра, 10-11 класс Учебник, авторы: Алимов Шавкат Арифджанович, Колягин Юрий Михайлович, Ткачева Мария Владимировна, Федорова Надежда Евгеньевна, Шабунин Михаил Иванович, издательство Просвещение, Москва, 2014, страница 95, номер 296, Решение 1 (продолжение 2)
Алгебра, 10-11 класс Учебник, авторы: Алимов Шавкат Арифджанович, Колягин Юрий Михайлович, Ткачева Мария Владимировна, Федорова Надежда Евгеньевна, Шабунин Михаил Иванович, издательство Просвещение, Москва, 2014, страница 95, номер 296, Решение 1 (продолжение 3)
Алгебра, 10-11 класс Учебник, авторы: Алимов Шавкат Арифджанович, Колягин Юрий Михайлович, Ткачева Мария Владимировна, Федорова Надежда Евгеньевна, Шабунин Михаил Иванович, издательство Просвещение, Москва, 2014, страница 95, номер 296, Решение 1 (продолжение 4)
Решение 2. №296 (с. 95)
Алгебра, 10-11 класс Учебник, авторы: Алимов Шавкат Арифджанович, Колягин Юрий Михайлович, Ткачева Мария Владимировна, Федорова Надежда Евгеньевна, Шабунин Михаил Иванович, издательство Просвещение, Москва, 2014, страница 95, номер 296, Решение 2
Алгебра, 10-11 класс Учебник, авторы: Алимов Шавкат Арифджанович, Колягин Юрий Михайлович, Ткачева Мария Владимировна, Федорова Надежда Евгеньевна, Шабунин Михаил Иванович, издательство Просвещение, Москва, 2014, страница 95, номер 296, Решение 2 (продолжение 2)
Решение 4. №296 (с. 95)
Алгебра, 10-11 класс Учебник, авторы: Алимов Шавкат Арифджанович, Колягин Юрий Михайлович, Ткачева Мария Владимировна, Федорова Надежда Евгеньевна, Шабунин Михаил Иванович, издательство Просвещение, Москва, 2014, страница 95, номер 296, Решение 4
Алгебра, 10-11 класс Учебник, авторы: Алимов Шавкат Арифджанович, Колягин Юрий Михайлович, Ткачева Мария Владимировна, Федорова Надежда Евгеньевна, Шабунин Михаил Иванович, издательство Просвещение, Москва, 2014, страница 95, номер 296, Решение 4 (продолжение 2)
Решение 5. №296 (с. 95)
Алгебра, 10-11 класс Учебник, авторы: Алимов Шавкат Арифджанович, Колягин Юрий Михайлович, Ткачева Мария Владимировна, Федорова Надежда Евгеньевна, Шабунин Михаил Иванович, издательство Просвещение, Москва, 2014, страница 95, номер 296, Решение 5
Решение 6. №296 (с. 95)
Алгебра, 10-11 класс Учебник, авторы: Алимов Шавкат Арифджанович, Колягин Юрий Михайлович, Ткачева Мария Владимировна, Федорова Надежда Евгеньевна, Шабунин Михаил Иванович, издательство Просвещение, Москва, 2014, страница 95, номер 296, Решение 6
Решение 7. №296 (с. 95)
Алгебра, 10-11 класс Учебник, авторы: Алимов Шавкат Арифджанович, Колягин Юрий Михайлович, Ткачева Мария Владимировна, Федорова Надежда Евгеньевна, Шабунин Михаил Иванович, издательство Просвещение, Москва, 2014, страница 95, номер 296, Решение 7
Решение 8. №296 (с. 95)

1) $\frac{\log_2 24 - \frac{1}{2}\log_2 72}{\log_3 18 - \frac{1}{3}\log_3 72}$

Преобразуем числитель и знаменатель дроби по отдельности, используя свойства логарифмов: $n \log_a b = \log_a b^n$, $\log_a b + \log_a c = \log_a (bc)$ и $\log_a(b/c) = \log_a b - \log_a c$.

Числитель:

$\log_2 24 - \frac{1}{2}\log_2 72 = \log_2 (3 \cdot 8) - \frac{1}{2}\log_2 (9 \cdot 8) = \log_2 (3 \cdot 2^3) - \frac{1}{2}\log_2 (3^2 \cdot 2^3)$

$= (\log_2 3 + \log_2 2^3) - \frac{1}{2}(\log_2 3^2 + \log_2 2^3) = (\log_2 3 + 3) - \frac{1}{2}(2\log_2 3 + 3)$

$= \log_2 3 + 3 - \log_2 3 - \frac{3}{2} = 3 - \frac{3}{2} = \frac{3}{2}$.

Знаменатель:

$\log_3 18 - \frac{1}{3}\log_3 72 = \log_3 (2 \cdot 9) - \frac{1}{3}\log_3 (8 \cdot 9) = \log_3 (2 \cdot 3^2) - \frac{1}{3}\log_3 (2^3 \cdot 3^2)$

$= (\log_3 2 + \log_3 3^2) - \frac{1}{3}(\log_3 2^3 + \log_3 3^2) = (\log_3 2 + 2) - \frac{1}{3}(3\log_3 2 + 2)$

$= \log_3 2 + 2 - \log_3 2 - \frac{2}{3} = 2 - \frac{2}{3} = \frac{4}{3}$.

Теперь разделим числитель на знаменатель:

$\frac{3/2}{4/3} = \frac{3}{2} \cdot \frac{3}{4} = \frac{9}{8}$.

Ответ: $\frac{9}{8}$

2) $\frac{\log_7 14 - \frac{1}{3}\log_7 56}{\log_6 30 - \frac{1}{2}\log_6 150}$

Преобразуем числитель и знаменатель дроби, используя свойства логарифмов.

Числитель:

$\log_7 14 - \frac{1}{3}\log_7 56 = \log_7 (2 \cdot 7) - \frac{1}{3}\log_7 (8 \cdot 7) = \log_7 (2 \cdot 7) - \frac{1}{3}\log_7 (2^3 \cdot 7)$

$= (\log_7 2 + \log_7 7) - \frac{1}{3}(\log_7 2^3 + \log_7 7) = (\log_7 2 + 1) - \frac{1}{3}(3\log_7 2 + 1)$

$= \log_7 2 + 1 - \log_7 2 - \frac{1}{3} = 1 - \frac{1}{3} = \frac{2}{3}$.

Знаменатель:

$\log_6 30 - \frac{1}{2}\log_6 150 = \log_6 (5 \cdot 6) - \frac{1}{2}\log_6 (25 \cdot 6) = \log_6 (5 \cdot 6) - \frac{1}{2}\log_6 (5^2 \cdot 6)$

$= (\log_6 5 + \log_6 6) - \frac{1}{2}(\log_6 5^2 + \log_6 6) = (\log_6 5 + 1) - \frac{1}{2}(2\log_6 5 + 1)$

$= \log_6 5 + 1 - \log_6 5 - \frac{1}{2} = 1 - \frac{1}{2} = \frac{1}{2}$.

Теперь разделим числитель на знаменатель:

$\frac{2/3}{1/2} = \frac{2}{3} \cdot 2 = \frac{4}{3}$.

Ответ: $\frac{4}{3}$

3) $\frac{\log_2 4 + \log_2 \sqrt{10}}{\log_2 20 + 3\log_2 2}$

Преобразуем числитель и знаменатель дроби.

Числитель:

$\log_2 4 + \log_2 \sqrt{10} = \log_2 2^2 + \log_2 (10^{1/2}) = 2 + \frac{1}{2}\log_2(2 \cdot 5) = 2 + \frac{1}{2}(\log_2 2 + \log_2 5)$

$= 2 + \frac{1}{2}(1 + \log_2 5) = 2 + \frac{1}{2} + \frac{1}{2}\log_2 5 = \frac{5}{2} + \frac{1}{2}\log_2 5 = \frac{1}{2}(5 + \log_2 5)$.

Знаменатель:

$\log_2 20 + 3\log_2 2 = \log_2(4 \cdot 5) + 3 \cdot 1 = \log_2(2^2 \cdot 5) + 3 = (\log_2 2^2 + \log_2 5) + 3$

$= (2 + \log_2 5) + 3 = 5 + \log_2 5$.

Теперь разделим числитель на знаменатель:

$\frac{\frac{1}{2}(5 + \log_2 5)}{5 + \log_2 5} = \frac{1}{2}$.

Ответ: $\frac{1}{2}$

4) $\frac{3 \log_7 2 - \frac{1}{2}\log_7 64}{4 \log_5 2 + \frac{1}{3}\log_5 27}$

Преобразуем числитель и знаменатель дроби.

Числитель:

$3 \log_7 2 - \frac{1}{2}\log_7 64 = 3 \log_7 2 - \frac{1}{2}\log_7 2^6 = 3 \log_7 2 - \frac{6}{2}\log_7 2$

$= 3 \log_7 2 - 3 \log_7 2 = 0$.

Знаменатель:

$4 \log_5 2 + \frac{1}{3}\log_5 27 = \log_5 2^4 + \log_5 27^{1/3} = \log_5 16 + \log_5 \sqrt[3]{27} = \log_5 16 + \log_5 3 = \log_5(16 \cdot 3) = \log_5 48$.

Так как знаменатель $\log_5 48 \neq 0$, а числитель равен 0, то вся дробь равна 0.

$\frac{0}{\log_5 48} = 0$.

Ответ: $0$

Помогло решение? Оставьте отзыв в комментариях ниже.

Присоединяйтесь к Телеграм-группе @top_gdz

Присоединиться

Мы подготовили для вас ответ c подробным объяснением домашего задания по алгебре за 10-11 класс, для упражнения номер 296 расположенного на странице 95 к учебнику 2014 года издания для учащихся школ и гимназий.

Теперь на нашем сайте ГДЗ.ТОП вы всегда легко и бесплатно найдёте условие с правильным ответом на вопрос «Как решить ДЗ» и «Как сделать» задание по алгебре к упражнению №296 (с. 95), авторов: Алимов (Шавкат Арифджанович), Колягин (Юрий Михайлович), Ткачева (Мария Владимировна), Федорова (Надежда Евгеньевна), Шабунин (Михаил Иванович), ФГОС (старый) базовый и углублённый уровень обучения учебного пособия издательства Просвещение.