Номер 298, страница 96 - гдз по алгебре 10-11 класс учебник Алимов, Колягин

Алгебра, 10-11 класс Учебник, авторы: Алимов Шавкат Арифджанович, Колягин Юрий Михайлович, Ткачева Мария Владимировна, Федорова Надежда Евгеньевна, Шабунин Михаил Иванович, издательство Просвещение, Москва, 2014

Авторы: Алимов Ш. А., Колягин Ю. М., Ткачева М. В., Федорова Н. Е., Шабунин М. И.

Тип: Учебник

Издательство: Просвещение

Год издания: 2014 - 2025

Уровень обучения: базовый и углублённый

Цвет обложки: синий, фиолетовый

ISBN: 978-5-09-112136-0

Допущено Министерством просвещения Российской Федерации

Математика: алгебра и начала математического анализа, геометрия

Популярные ГДЗ в 10 классе

Глава 4. Логарифмическая функция. Параграф 16. Свойства логарифмов - номер 298, страница 96.

№298 (с. 96)
Условие. №298 (с. 96)
скриншот условия
Алгебра, 10-11 класс Учебник, авторы: Алимов Шавкат Арифджанович, Колягин Юрий Михайлович, Ткачева Мария Владимировна, Федорова Надежда Евгеньевна, Шабунин Михаил Иванович, издательство Просвещение, Москва, 2014, страница 96, номер 298, Условие

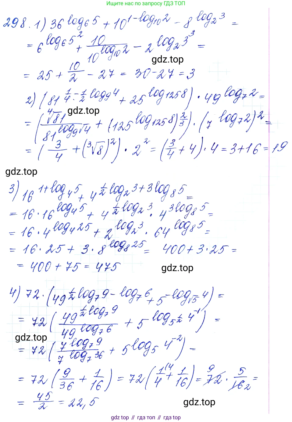
298 Вычислить:

1) $36^{\log_6 5} + 10^{1 - \log_{10} 2} - 8^{\log_2 3};$

2) $(81^{\frac{1}{4} - \frac{1}{2}\log_9 4} + 25^{\log_{125} 8}) \cdot 49^{\log_7 2};$

3) $16^{1 + \log_4 5} + 4^{\frac{1}{2}\log_2 3 + 3 \log_8 5};$

4) $72 \cdot (49^{\frac{1}{2}\log_7 9 - \log_7 6} + 5^{-\log_{\sqrt{5}} 4});$

Решение 1. №298 (с. 96)
Алгебра, 10-11 класс Учебник, авторы: Алимов Шавкат Арифджанович, Колягин Юрий Михайлович, Ткачева Мария Владимировна, Федорова Надежда Евгеньевна, Шабунин Михаил Иванович, издательство Просвещение, Москва, 2014, страница 96, номер 298, Решение 1
Алгебра, 10-11 класс Учебник, авторы: Алимов Шавкат Арифджанович, Колягин Юрий Михайлович, Ткачева Мария Владимировна, Федорова Надежда Евгеньевна, Шабунин Михаил Иванович, издательство Просвещение, Москва, 2014, страница 96, номер 298, Решение 1 (продолжение 2)
Алгебра, 10-11 класс Учебник, авторы: Алимов Шавкат Арифджанович, Колягин Юрий Михайлович, Ткачева Мария Владимировна, Федорова Надежда Евгеньевна, Шабунин Михаил Иванович, издательство Просвещение, Москва, 2014, страница 96, номер 298, Решение 1 (продолжение 3)
Алгебра, 10-11 класс Учебник, авторы: Алимов Шавкат Арифджанович, Колягин Юрий Михайлович, Ткачева Мария Владимировна, Федорова Надежда Евгеньевна, Шабунин Михаил Иванович, издательство Просвещение, Москва, 2014, страница 96, номер 298, Решение 1 (продолжение 4)
Решение 2. №298 (с. 96)
Алгебра, 10-11 класс Учебник, авторы: Алимов Шавкат Арифджанович, Колягин Юрий Михайлович, Ткачева Мария Владимировна, Федорова Надежда Евгеньевна, Шабунин Михаил Иванович, издательство Просвещение, Москва, 2014, страница 96, номер 298, Решение 2
Алгебра, 10-11 класс Учебник, авторы: Алимов Шавкат Арифджанович, Колягин Юрий Михайлович, Ткачева Мария Владимировна, Федорова Надежда Евгеньевна, Шабунин Михаил Иванович, издательство Просвещение, Москва, 2014, страница 96, номер 298, Решение 2 (продолжение 2)
Решение 4. №298 (с. 96)
Алгебра, 10-11 класс Учебник, авторы: Алимов Шавкат Арифджанович, Колягин Юрий Михайлович, Ткачева Мария Владимировна, Федорова Надежда Евгеньевна, Шабунин Михаил Иванович, издательство Просвещение, Москва, 2014, страница 96, номер 298, Решение 4
Алгебра, 10-11 класс Учебник, авторы: Алимов Шавкат Арифджанович, Колягин Юрий Михайлович, Ткачева Мария Владимировна, Федорова Надежда Евгеньевна, Шабунин Михаил Иванович, издательство Просвещение, Москва, 2014, страница 96, номер 298, Решение 4 (продолжение 2)
Решение 5. №298 (с. 96)
Алгебра, 10-11 класс Учебник, авторы: Алимов Шавкат Арифджанович, Колягин Юрий Михайлович, Ткачева Мария Владимировна, Федорова Надежда Евгеньевна, Шабунин Михаил Иванович, издательство Просвещение, Москва, 2014, страница 96, номер 298, Решение 5
Решение 6. №298 (с. 96)
Алгебра, 10-11 класс Учебник, авторы: Алимов Шавкат Арифджанович, Колягин Юрий Михайлович, Ткачева Мария Владимировна, Федорова Надежда Евгеньевна, Шабунин Михаил Иванович, издательство Просвещение, Москва, 2014, страница 96, номер 298, Решение 6
Решение 7. №298 (с. 96)
Алгебра, 10-11 класс Учебник, авторы: Алимов Шавкат Арифджанович, Колягин Юрий Михайлович, Ткачева Мария Владимировна, Федорова Надежда Евгеньевна, Шабунин Михаил Иванович, издательство Просвещение, Москва, 2014, страница 96, номер 298, Решение 7
Решение 8. №298 (с. 96)

1) $36^{\log_6 5} + 10^{1 - \log_{10} 2} - 8^{\log_2 3}$

Для решения этого выражения, вычислим каждый член по отдельности, используя свойства логарифмов и степеней, в частности основное логарифмическое тождество $a^{\log_a b} = b$.

Первый член: $36^{\log_6 5} = (6^2)^{\log_6 5} = 6^{2 \log_6 5} = 6^{\log_6 5^2} = 6^{\log_6 25} = 25$.

Второй член: $10^{1 - \log_{10} 2} = \frac{10^1}{10^{\log_{10} 2}} = \frac{10}{2} = 5$.

Третий член: $8^{\log_2 3} = (2^3)^{\log_2 3} = 2^{3 \log_2 3} = 2^{\log_2 3^3} = 2^{\log_2 27} = 27$.

Теперь подставим полученные значения в исходное выражение: $25 + 5 - 27 = 30 - 27 = 3$.

Ответ: 3

2) $\left(81^{\frac{1}{4} - \frac{1}{2}\log_9 4} + 25^{\log_{125} 8}\right) \cdot 49^{\log_7 2}$

Решим по частям. Сначала вычислим значение выражения в скобках.

Первое слагаемое в скобках: $81^{\frac{1}{4} - \frac{1}{2}\log_9 4} = \frac{81^{\frac{1}{4}}}{81^{\frac{1}{2}\log_9 4}} = \frac{\sqrt[4]{81}}{(9^2)^{\frac{1}{2}\log_9 4}} = \frac{3}{9^{\log_9 4}} = \frac{3}{4}$.

Второе слагаемое в скобках: $25^{\log_{125} 8} = (5^2)^{\log_{5^3} 2^3} = (5^2)^{\frac{3}{3}\log_5 2} = 5^{2\log_5 2} = 5^{\log_5 2^2} = 5^{\log_5 4} = 4$.

Сумма в скобках: $\frac{3}{4} + 4 = \frac{3+16}{4} = \frac{19}{4}$.

Теперь вычислим второй множитель: $49^{\log_7 2} = (7^2)^{\log_7 2} = 7^{2\log_7 2} = 7^{\log_7 2^2} = 7^{\log_7 4} = 4$.

Наконец, перемножим результаты: $\frac{19}{4} \cdot 4 = 19$.

Ответ: 19

3) $16^{1 + \log_4 5} + 4^{\frac{1}{2}\log_2 3 + 3\log_8 5}$

Вычислим каждое слагаемое отдельно.

Первое слагаемое: $16^{1 + \log_4 5} = 16^1 \cdot 16^{\log_4 5} = 16 \cdot (4^2)^{\log_4 5} = 16 \cdot 4^{2\log_4 5} = 16 \cdot 4^{\log_4 5^2} = 16 \cdot 25 = 400$.

Второе слагаемое. Сначала упростим показатель степени: $\frac{1}{2}\log_2 3 + 3\log_8 5 = \log_2 3^{\frac{1}{2}} + 3 \cdot \frac{\log_2 5}{\log_2 8} = \log_2 \sqrt{3} + 3 \cdot \frac{\log_2 5}{3} = \log_2 \sqrt{3} + \log_2 5 = \log_2(5\sqrt{3})$.

Теперь вычислим значение второго слагаемого: $4^{\log_2(5\sqrt{3})} = (2^2)^{\log_2(5\sqrt{3})} = 2^{2\log_2(5\sqrt{3})} = 2^{\log_2((5\sqrt{3})^2)} = (5\sqrt{3})^2 = 25 \cdot 3 = 75$.

Сложим полученные значения: $400 + 75 = 475$.

Ответ: 475

4) $72 \cdot \left(49^{\frac{1}{2}\log_7 9 - \log_7 6} + 5^{-\log_{\sqrt{5}} 4}\right)$

Сначала вычислим значение выражения в скобках.

Первое слагаемое в скобках. Упростим показатель: $\frac{1}{2}\log_7 9 - \log_7 6 = \log_7 9^{\frac{1}{2}} - \log_7 6 = \log_7 3 - \log_7 6 = \log_7 \frac{3}{6} = \log_7 \frac{1}{2}$.
Тогда $49^{\log_7 \frac{1}{2}} = (7^2)^{\log_7 \frac{1}{2}} = 7^{2\log_7 \frac{1}{2}} = 7^{\log_7 (\frac{1}{2})^2} = 7^{\log_7 \frac{1}{4}} = \frac{1}{4}$.

Второе слагаемое в скобках. Упростим показатель: $-\log_{\sqrt{5}} 4 = -\log_{5^{1/2}} 4 = -\frac{1}{1/2}\log_5 4 = -2\log_5 4 = \log_5 4^{-2} = \log_5 \frac{1}{16}$.
Тогда $5^{\log_5 \frac{1}{16}} = \frac{1}{16}$.

Сумма в скобках: $\frac{1}{4} + \frac{1}{16} = \frac{4}{16} + \frac{1}{16} = \frac{5}{16}$.

Теперь выполним умножение: $72 \cdot \frac{5}{16} = \frac{72 \cdot 5}{16} = \frac{9 \cdot 8 \cdot 5}{2 \cdot 8} = \frac{45}{2} = 22.5$.

Ответ: 22.5

Помогло решение? Оставьте отзыв в комментариях ниже.

Присоединяйтесь к Телеграм-группе @top_gdz

Присоединиться

Мы подготовили для вас ответ c подробным объяснением домашего задания по алгебре за 10-11 класс, для упражнения номер 298 расположенного на странице 96 к учебнику 2014 года издания для учащихся школ и гимназий.

Теперь на нашем сайте ГДЗ.ТОП вы всегда легко и бесплатно найдёте условие с правильным ответом на вопрос «Как решить ДЗ» и «Как сделать» задание по алгебре к упражнению №298 (с. 96), авторов: Алимов (Шавкат Арифджанович), Колягин (Юрий Михайлович), Ткачева (Мария Владимировна), Федорова (Надежда Евгеньевна), Шабунин (Михаил Иванович), ФГОС (старый) базовый и углублённый уровень обучения учебного пособия издательства Просвещение.