Номер 307, страница 99 - гдз по алгебре 10-11 класс учебник Алимов, Колягин

Авторы: Алимов Ш. А., Колягин Ю. М., Ткачева М. В., Федорова Н. Е., Шабунин М. И.
Тип: Учебник
Издательство: Просвещение
Год издания: 2014 - 2025
Уровень обучения: базовый и углублённый
Цвет обложки: синий, фиолетовый
ISBN: 978-5-09-112136-0
Допущено Министерством просвещения Российской Федерации
Математика: алгебра и начала математического анализа, геометрия
Популярные ГДЗ в 10 классе
§ 17. Десятичные и натуральные логарифмы. Глава 4. Логарифмическая функция - номер 307, страница 99.
№307 (с. 99)
Условие. №307 (с. 99)
скриншот условия

307 Решить уравнение:
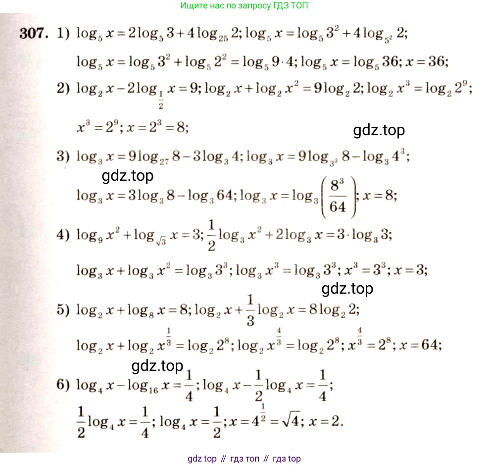
1) $\log_5 x = 2 \log_5 3 + 4 \log_{25} 2;$
2) $\log_2 x - 2 \log_{\frac{1}{2}} x = 9;$
3) $\log_3 x = 9 \log_{27} 8 - 3 \log_3 4;$
4) $\log_9 x^2 + \log_{\sqrt{3}} x = 3;$
5) $\log_2 x + \log_8 x = 8;$
6) $\log_4 x - \log_{16} x = \frac{1}{4}.$
Решение 1. №307 (с. 99)






Решение 2. №307 (с. 99)



Решение 4. №307 (с. 99)

Решение 5. №307 (с. 99)

Решение 6. №307 (с. 99)

Решение 7. №307 (с. 99)


Решение 8. №307 (с. 99)
1) $\log_5 x = 2 \log_5 3 + 4 \log_{25} 2$
Область допустимых значений (ОДЗ) уравнения определяется условием $x > 0$.
Преобразуем правую часть уравнения, приведя все логарифмы к основанию 5. Для этого воспользуемся свойствами логарифмов: $n \log_a b = \log_a b^n$ и $\log_{a^k} b = \frac{1}{k} \log_a b$.
$2 \log_5 3 = \log_5 3^2 = \log_5 9$.
$4 \log_{25} 2 = 4 \log_{5^2} 2 = 4 \cdot \frac{1}{2} \log_5 2 = 2 \log_5 2 = \log_5 2^2 = \log_5 4$.
Теперь уравнение принимает вид:
$\log_5 x = \log_5 9 + \log_5 4$.
Используем свойство суммы логарифмов $\log_a b + \log_a c = \log_a (b \cdot c)$:
$\log_5 x = \log_5 (9 \cdot 4) = \log_5 36$.
Так как основания логарифмов равны, то равны и их аргументы:
$x = 36$.
Найденное значение $x = 36$ удовлетворяет ОДЗ ($36 > 0$).
Ответ: $36$.
2) $\log_2 x - 2 \log_{1/2} x = 9$
ОДЗ: $x > 0$.
Приведем все логарифмы к основанию 2. Используем свойство $\log_{1/a} b = \log_{a^{-1}} b = -\log_a b$.
$\log_{1/2} x = -\log_2 x$.
Подставим это выражение в исходное уравнение:
$\log_2 x - 2(-\log_2 x) = 9$.
$\log_2 x + 2\log_2 x = 9$.
$3\log_2 x = 9$.
$\log_2 x = 3$.
По определению логарифма:
$x = 2^3 = 8$.
Корень $x = 8$ удовлетворяет ОДЗ ($8 > 0$).
Ответ: $8$.
3) $\log_3 x = 9 \log_{27} 8 - 3 \log_3 4$
ОДЗ: $x > 0$.
Преобразуем правую часть уравнения, приведя логарифмы к основанию 3:
$9 \log_{27} 8 = 9 \log_{3^3} 8 = 9 \cdot \frac{1}{3} \log_3 8 = 3 \log_3 8 = \log_3 8^3 = \log_3 512$.
$3 \log_3 4 = \log_3 4^3 = \log_3 64$.
Подставим в уравнение:
$\log_3 x = \log_3 512 - \log_3 64$.
Используем свойство разности логарифмов $\log_a b - \log_a c = \log_a(b/c)$:
$\log_3 x = \log_3 \frac{512}{64} = \log_3 8$.
Следовательно, $x = 8$.
Корень $x = 8$ удовлетворяет ОДЗ ($8 > 0$).
Ответ: $8$.
4) $\log_9 x^2 + \log_{\sqrt{3}} x = 3$
ОДЗ определяется условиями $x^2 > 0$ и $x > 0$, что равносильно $x > 0$.
Приведем логарифмы к основанию 3:
$\log_9 x^2 = \log_{3^2} x^2 = \frac{2}{2}\log_3 |x| = \log_3 x$ (так как по ОДЗ $x>0$, то $|x|=x$).
$\log_{\sqrt{3}} x = \log_{3^{1/2}} x = \frac{1}{1/2}\log_3 x = 2\log_3 x$.
Подставим в уравнение:
$\log_3 x + 2\log_3 x = 3$.
$3\log_3 x = 3$.
$\log_3 x = 1$.
По определению логарифма $x = 3^1 = 3$.
Корень $x=3$ удовлетворяет ОДЗ ($3 > 0$).
Ответ: $3$.
5) $\log_2 x + \log_8 x = 8$
ОДЗ: $x > 0$.
Приведем логарифмы к основанию 2:
$\log_8 x = \log_{2^3} x = \frac{1}{3}\log_2 x$.
Подставим в уравнение:
$\log_2 x + \frac{1}{3}\log_2 x = 8$.
$(1 + \frac{1}{3})\log_2 x = 8$.
$\frac{4}{3}\log_2 x = 8$.
$\log_2 x = 8 \cdot \frac{3}{4} = 6$.
Тогда $x = 2^6 = 64$.
Корень $x=64$ удовлетворяет ОДЗ ($64 > 0$).
Ответ: $64$.
6) $\log_4 x - \log_{16} x = \frac{1}{4}$
ОДЗ: $x > 0$.
Приведем логарифмы к основанию 4:
$\log_{16} x = \log_{4^2} x = \frac{1}{2}\log_4 x$.
Подставим в уравнение:
$\log_4 x - \frac{1}{2}\log_4 x = \frac{1}{4}$.
$\frac{1}{2}\log_4 x = \frac{1}{4}$.
$\log_4 x = \frac{1}{4} \cdot 2 = \frac{1}{2}$.
По определению логарифма $x = 4^{1/2} = \sqrt{4} = 2$.
Корень $x=2$ удовлетворяет ОДЗ ($2 > 0$).
Ответ: $2$.
Другие задания:
Помогло решение? Оставьте отзыв в комментариях ниже.
Мы подготовили для вас ответ c подробным объяснением домашего задания по алгебре за 10-11 класс, для упражнения номер 307 расположенного на странице 99 к учебнику 2014 года издания для учащихся школ и гимназий.
Теперь на нашем сайте ГДЗ.ТОП вы всегда легко и бесплатно найдёте условие с правильным ответом на вопрос «Как решить ДЗ» и «Как сделать» задание по алгебре к упражнению №307 (с. 99), авторов: Алимов (Шавкат Арифджанович), Колягин (Юрий Михайлович), Ткачева (Мария Владимировна), Федорова (Надежда Евгеньевна), Шабунин (Михаил Иванович), ФГОС (старый) базовый и углублённый уровень обучения учебного пособия издательства Просвещение.