Номер 312, страница 99 - гдз по алгебре 10-11 класс учебник Алимов, Колягин

Алгебра, 10-11 класс Учебник, авторы: Алимов Шавкат Арифджанович, Колягин Юрий Михайлович, Ткачева Мария Владимировна, Федорова Надежда Евгеньевна, Шабунин Михаил Иванович, издательство Просвещение, Москва, 2014

Авторы: Алимов Ш. А., Колягин Ю. М., Ткачева М. В., Федорова Н. Е., Шабунин М. И.

Тип: Учебник

Издательство: Просвещение

Год издания: 2014 - 2026

Уровень обучения: базовый и углублённый

Цвет обложки: синий, фиолетовый

ISBN: 978-5-09-112136-0

Допущено Министерством просвещения Российской Федерации

Математика: алгебра и начала математического анализа, геометрия

Глава 4. Логарифмическая функция. Параграф 17. Десятичные и натуральные логарифмы - номер 312, страница 99.

№312 (с. 99)
Условие. №312 (с. 99)
скриншот условия
Алгебра, 10-11 класс Учебник, авторы: Алимов Шавкат Арифджанович, Колягин Юрий Михайлович, Ткачева Мария Владимировна, Федорова Надежда Евгеньевна, Шабунин Михаил Иванович, издательство Просвещение, Москва, 2014, страница 99, номер 312, Условие

312 Вычислить:

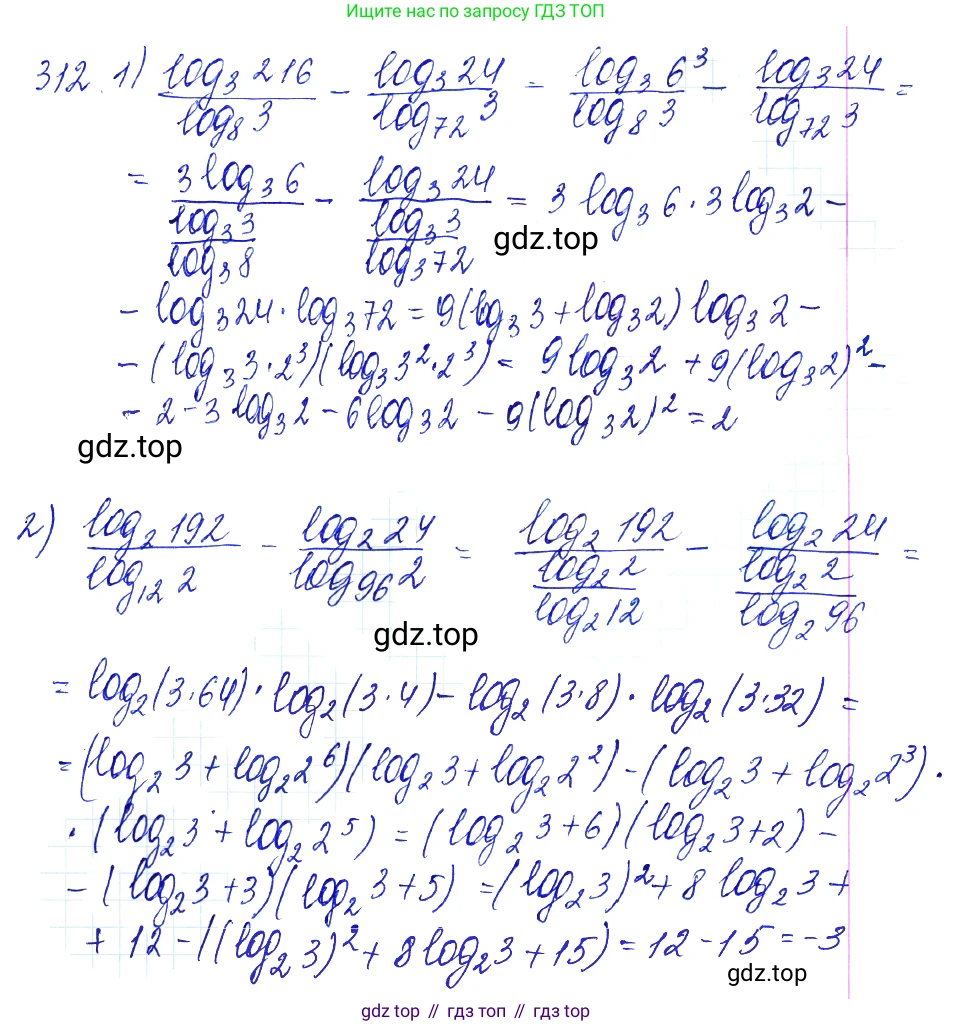
1) $\frac{\log_3 216}{\log_8 3} - \frac{\log_3 24}{\log_{72} 3}$;

2) $\frac{\log_2 192}{\log_{12} 2} - \frac{\log_2 24}{\log_{96} 2}$.

Решение 1. №312 (с. 99)
Алгебра, 10-11 класс Учебник, авторы: Алимов Шавкат Арифджанович, Колягин Юрий Михайлович, Ткачева Мария Владимировна, Федорова Надежда Евгеньевна, Шабунин Михаил Иванович, издательство Просвещение, Москва, 2014, страница 99, номер 312, Решение 1
Алгебра, 10-11 класс Учебник, авторы: Алимов Шавкат Арифджанович, Колягин Юрий Михайлович, Ткачева Мария Владимировна, Федорова Надежда Евгеньевна, Шабунин Михаил Иванович, издательство Просвещение, Москва, 2014, страница 99, номер 312, Решение 1 (продолжение 2)
Решение 2. №312 (с. 99)
Алгебра, 10-11 класс Учебник, авторы: Алимов Шавкат Арифджанович, Колягин Юрий Михайлович, Ткачева Мария Владимировна, Федорова Надежда Евгеньевна, Шабунин Михаил Иванович, издательство Просвещение, Москва, 2014, страница 99, номер 312, Решение 2
Решение 3. №312 (с. 99)
Алгебра, 10-11 класс Учебник, авторы: Алимов Шавкат Арифджанович, Колягин Юрий Михайлович, Ткачева Мария Владимировна, Федорова Надежда Евгеньевна, Шабунин Михаил Иванович, издательство Просвещение, Москва, 2014, страница 99, номер 312, Решение 3
Решение 4. №312 (с. 99)
Алгебра, 10-11 класс Учебник, авторы: Алимов Шавкат Арифджанович, Колягин Юрий Михайлович, Ткачева Мария Владимировна, Федорова Надежда Евгеньевна, Шабунин Михаил Иванович, издательство Просвещение, Москва, 2014, страница 99, номер 312, Решение 4
Решение 5. №312 (с. 99)
Алгебра, 10-11 класс Учебник, авторы: Алимов Шавкат Арифджанович, Колягин Юрий Михайлович, Ткачева Мария Владимировна, Федорова Надежда Евгеньевна, Шабунин Михаил Иванович, издательство Просвещение, Москва, 2014, страница 99, номер 312, Решение 5
Решение 6. №312 (с. 99)
Алгебра, 10-11 класс Учебник, авторы: Алимов Шавкат Арифджанович, Колягин Юрий Михайлович, Ткачева Мария Владимировна, Федорова Надежда Евгеньевна, Шабунин Михаил Иванович, издательство Просвещение, Москва, 2014, страница 99, номер 312, Решение 6
Решение 7. №312 (с. 99)
Алгебра, 10-11 класс Учебник, авторы: Алимов Шавкат Арифджанович, Колягин Юрий Михайлович, Ткачева Мария Владимировна, Федорова Надежда Евгеньевна, Шабунин Михаил Иванович, издательство Просвещение, Москва, 2014, страница 99, номер 312, Решение 7
Решение 8. №312 (с. 99)

1) $ \frac{\log_3 216}{\log_8 3} - \frac{\log_3 24}{\log_{72} 3} $

Для решения воспользуемся формулой перехода к новому основанию для логарифмов, в частности свойством $ \log_b a = \frac{1}{\log_a b} $. Применим это свойство к знаменателям дробей, чтобы привести все логарифмы к основанию 3:

$ \frac{1}{\log_8 3} = \log_3 8 $

$ \frac{1}{\log_{72} 3} = \log_3 72 $

Подставим эти выражения в исходное уравнение:

$ \frac{\log_3 216}{\log_8 3} - \frac{\log_3 24}{\log_{72} 3} = \log_3 216 \cdot \log_3 8 - \log_3 24 \cdot \log_3 72 $

Теперь воспользуемся свойством логарифма произведения $ \log_a(bc) = \log_a b + \log_a c $. Разложим числа под логарифмами на множители, выделив общий множитель 8:

$ 216 = 27 \cdot 8 = 3^3 \cdot 8 $

$ 24 = 3 \cdot 8 $

$ 72 = 9 \cdot 8 = 3^2 \cdot 8 $

Представим логарифмы в виде сумм:

$ \log_3 216 = \log_3(3^3 \cdot 8) = \log_3(3^3) + \log_3 8 = 3 + \log_3 8 $

$ \log_3 24 = \log_3(3 \cdot 8) = \log_3 3 + \log_3 8 = 1 + \log_3 8 $

$ \log_3 72 = \log_3(3^2 \cdot 8) = \log_3(3^2) + \log_3 8 = 2 + \log_3 8 $

Подставим полученные выражения в наше преобразованное выражение. Для удобства введем замену $ x = \log_3 8 $:

$ (3 + \log_3 8) \cdot \log_3 8 - (1 + \log_3 8) \cdot (2 + \log_3 8) = (3+x)x - (1+x)(2+x) $

Раскроем скобки и упростим выражение:

$ (3x + x^2) - (2 + x + 2x + x^2) = x^2 + 3x - (x^2 + 3x + 2) = x^2 + 3x - x^2 - 3x - 2 = -2 $

Ответ: -2

2) $ \frac{\log_2 192}{\log_{12} 2} - \frac{\log_2 24}{\log_{96} 2} $

Аналогично первому примеру, воспользуемся свойством логарифма $ \log_b a = \frac{1}{\log_a b} $ для преобразования знаменателей, чтобы привести все логарифмы к основанию 2:

$ \frac{1}{\log_{12} 2} = \log_2 12 $

$ \frac{1}{\log_{96} 2} = \log_2 96 $

Подставим эти выражения в исходное уравнение:

$ \frac{\log_2 192}{\log_{12} 2} - \frac{\log_2 24}{\log_{96} 2} = \log_2 192 \cdot \log_2 12 - \log_2 24 \cdot \log_2 96 $

Теперь разложим числа под логарифмами на множители. Заметим, что все числа делятся на 3. Выделим в каждом множитель 3:

$ 192 = 64 \cdot 3 = 2^6 \cdot 3 $

$ 12 = 4 \cdot 3 = 2^2 \cdot 3 $

$ 24 = 8 \cdot 3 = 2^3 \cdot 3 $

$ 96 = 32 \cdot 3 = 2^5 \cdot 3 $

Используя свойство логарифма произведения $ \log_a(bc) = \log_a b + \log_a c $, представим логарифмы в виде сумм:

$ \log_2 192 = \log_2(2^6 \cdot 3) = \log_2(2^6) + \log_2 3 = 6 + \log_2 3 $

$ \log_2 12 = \log_2(2^2 \cdot 3) = \log_2(2^2) + \log_2 3 = 2 + \log_2 3 $

$ \log_2 24 = \log_2(2^3 \cdot 3) = \log_2(2^3) + \log_2 3 = 3 + \log_2 3 $

$ \log_2 96 = \log_2(2^5 \cdot 3) = \log_2(2^5) + \log_2 3 = 5 + \log_2 3 $

Подставим полученные выражения. Для удобства введем замену $ y = \log_2 3 $:

$ (6 + \log_2 3)(2 + \log_2 3) - (3 + \log_2 3)(5 + \log_2 3) = (6+y)(2+y) - (3+y)(5+y) $

Раскроем скобки и упростим выражение:

$ (12 + 6y + 2y + y^2) - (15 + 3y + 5y + y^2) = (y^2 + 8y + 12) - (y^2 + 8y + 15) $

$ = y^2 + 8y + 12 - y^2 - 8y - 15 = -3 $

Ответ: -3

Помогло решение? Оставьте отзыв в комментариях ниже.

Присоединяйтесь к Телеграм-группе @top_gdz

Присоединиться

Мы подготовили для вас ответ c подробным объяснением домашего задания по алгебре за 10-11 класс, для упражнения номер 312 расположенного на странице 99 к учебнику 2014 года издания для учащихся школ и гимназий.

Теперь на нашем сайте ГДЗ.ТОП вы всегда легко и бесплатно найдёте условие с правильным ответом на вопрос «Как решить ДЗ» и «Как сделать» задание по алгебре к упражнению №312 (с. 99), авторов: Алимов (Шавкат Арифджанович), Колягин (Юрий Михайлович), Ткачева (Мария Владимировна), Федорова (Надежда Евгеньевна), Шабунин (Михаил Иванович), ФГОС (старый) базовый и углублённый уровень обучения учебного пособия издательства Просвещение.