Номер 313, страница 99 - гдз по алгебре 10-11 класс учебник Алимов, Колягин

Алгебра, 10-11 класс Учебник, авторы: Алимов Шавкат Арифджанович, Колягин Юрий Михайлович, Ткачева Мария Владимировна, Федорова Надежда Евгеньевна, Шабунин Михаил Иванович, издательство Просвещение, Москва, 2014

Авторы: Алимов Ш. А., Колягин Ю. М., Ткачева М. В., Федорова Н. Е., Шабунин М. И.

Тип: Учебник

Издательство: Просвещение

Год издания: 2014 - 2025

Уровень обучения: базовый и углублённый

Цвет обложки: синий, фиолетовый

ISBN: 978-5-09-112136-0

Допущено Министерством просвещения Российской Федерации

Математика: алгебра и начала математического анализа, геометрия

Популярные ГДЗ в 10 классе

Глава 4. Логарифмическая функция. Параграф 17. Десятичные и натуральные логарифмы - номер 313, страница 99.

№313 (с. 99)
Условие. №313 (с. 99)
скриншот условия
Алгебра, 10-11 класс Учебник, авторы: Алимов Шавкат Арифджанович, Колягин Юрий Михайлович, Ткачева Мария Владимировна, Федорова Надежда Евгеньевна, Шабунин Михаил Иванович, издательство Просвещение, Москва, 2014, страница 99, номер 313, Условие

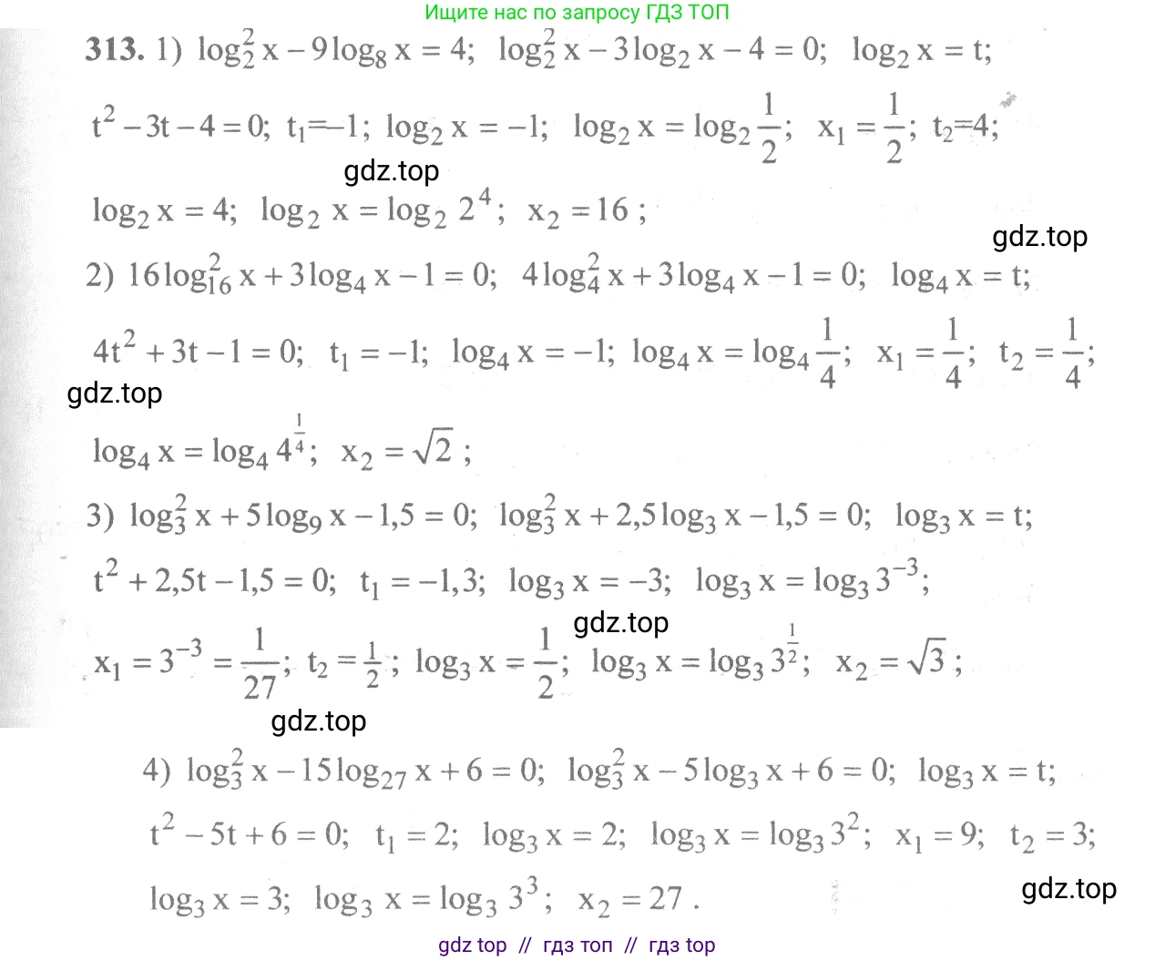
313 Решить уравнение:

1) $\log^2_2 x - 9 \log_8 x = 4;$

2) $16 \log^2_{16} x + 3 \log_4 x - 1 = 0;$

3) $\log^2_3 x + 5 \log_9 x - 1.5 = 0;$

4) $\log^2_3 x - 15 \log_{27} x + 6 = 0.$

Решение 1. №313 (с. 99)
Алгебра, 10-11 класс Учебник, авторы: Алимов Шавкат Арифджанович, Колягин Юрий Михайлович, Ткачева Мария Владимировна, Федорова Надежда Евгеньевна, Шабунин Михаил Иванович, издательство Просвещение, Москва, 2014, страница 99, номер 313, Решение 1
Алгебра, 10-11 класс Учебник, авторы: Алимов Шавкат Арифджанович, Колягин Юрий Михайлович, Ткачева Мария Владимировна, Федорова Надежда Евгеньевна, Шабунин Михаил Иванович, издательство Просвещение, Москва, 2014, страница 99, номер 313, Решение 1 (продолжение 2)
Алгебра, 10-11 класс Учебник, авторы: Алимов Шавкат Арифджанович, Колягин Юрий Михайлович, Ткачева Мария Владимировна, Федорова Надежда Евгеньевна, Шабунин Михаил Иванович, издательство Просвещение, Москва, 2014, страница 99, номер 313, Решение 1 (продолжение 3)
Алгебра, 10-11 класс Учебник, авторы: Алимов Шавкат Арифджанович, Колягин Юрий Михайлович, Ткачева Мария Владимировна, Федорова Надежда Евгеньевна, Шабунин Михаил Иванович, издательство Просвещение, Москва, 2014, страница 99, номер 313, Решение 1 (продолжение 4)
Решение 2. №313 (с. 99)
Алгебра, 10-11 класс Учебник, авторы: Алимов Шавкат Арифджанович, Колягин Юрий Михайлович, Ткачева Мария Владимировна, Федорова Надежда Евгеньевна, Шабунин Михаил Иванович, издательство Просвещение, Москва, 2014, страница 99, номер 313, Решение 2
Алгебра, 10-11 класс Учебник, авторы: Алимов Шавкат Арифджанович, Колягин Юрий Михайлович, Ткачева Мария Владимировна, Федорова Надежда Евгеньевна, Шабунин Михаил Иванович, издательство Просвещение, Москва, 2014, страница 99, номер 313, Решение 2 (продолжение 2)
Алгебра, 10-11 класс Учебник, авторы: Алимов Шавкат Арифджанович, Колягин Юрий Михайлович, Ткачева Мария Владимировна, Федорова Надежда Евгеньевна, Шабунин Михаил Иванович, издательство Просвещение, Москва, 2014, страница 99, номер 313, Решение 2 (продолжение 3)
Решение 4. №313 (с. 99)
Алгебра, 10-11 класс Учебник, авторы: Алимов Шавкат Арифджанович, Колягин Юрий Михайлович, Ткачева Мария Владимировна, Федорова Надежда Евгеньевна, Шабунин Михаил Иванович, издательство Просвещение, Москва, 2014, страница 99, номер 313, Решение 4
Решение 5. №313 (с. 99)
Алгебра, 10-11 класс Учебник, авторы: Алимов Шавкат Арифджанович, Колягин Юрий Михайлович, Ткачева Мария Владимировна, Федорова Надежда Евгеньевна, Шабунин Михаил Иванович, издательство Просвещение, Москва, 2014, страница 99, номер 313, Решение 5
Алгебра, 10-11 класс Учебник, авторы: Алимов Шавкат Арифджанович, Колягин Юрий Михайлович, Ткачева Мария Владимировна, Федорова Надежда Евгеньевна, Шабунин Михаил Иванович, издательство Просвещение, Москва, 2014, страница 99, номер 313, Решение 5 (продолжение 2)
Решение 6. №313 (с. 99)
Алгебра, 10-11 класс Учебник, авторы: Алимов Шавкат Арифджанович, Колягин Юрий Михайлович, Ткачева Мария Владимировна, Федорова Надежда Евгеньевна, Шабунин Михаил Иванович, издательство Просвещение, Москва, 2014, страница 99, номер 313, Решение 6
Решение 7. №313 (с. 99)
Алгебра, 10-11 класс Учебник, авторы: Алимов Шавкат Арифджанович, Колягин Юрий Михайлович, Ткачева Мария Владимировна, Федорова Надежда Евгеньевна, Шабунин Михаил Иванович, издательство Просвещение, Москва, 2014, страница 99, номер 313, Решение 7 Алгебра, 10-11 класс Учебник, авторы: Алимов Шавкат Арифджанович, Колягин Юрий Михайлович, Ткачева Мария Владимировна, Федорова Надежда Евгеньевна, Шабунин Михаил Иванович, издательство Просвещение, Москва, 2014, страница 99, номер 313, Решение 7 (продолжение 2) Алгебра, 10-11 класс Учебник, авторы: Алимов Шавкат Арифджанович, Колягин Юрий Михайлович, Ткачева Мария Владимировна, Федорова Надежда Евгеньевна, Шабунин Михаил Иванович, издательство Просвещение, Москва, 2014, страница 99, номер 313, Решение 7 (продолжение 3)
Решение 8. №313 (с. 99)

1) $\log_2^2 x - 9 \log_8 x = 4$

Область допустимых значений (ОДЗ) для логарифмической функции определяется условием, что аргумент логарифма должен быть строго больше нуля: $x > 0$.

Приведем все логарифмы в уравнении к одному основанию. В данном случае удобно привести все к основанию 2, так как $8 = 2^3$.

Используем свойство логарифма $\log_{a^k} b = \frac{1}{k} \log_a b$:

$\log_8 x = \log_{2^3} x = \frac{1}{3} \log_2 x$

Подставим это выражение в исходное уравнение:

$\log_2^2 x - 9 \left(\frac{1}{3} \log_2 x\right) = 4$

$\log_2^2 x - 3 \log_2 x - 4 = 0$

Это уравнение является квадратным относительно $\log_2 x$. Сделаем замену переменной. Пусть $t = \log_2 x$.

$t^2 - 3t - 4 = 0$

Решим полученное квадратное уравнение. Можно использовать теорему Виета: сумма корней равна 3, а их произведение равно -4. Корни легко находятся: $t_1 = 4$ и $t_2 = -1$.

Выполним обратную замену:

1. $t_1 = 4 \implies \log_2 x = 4 \implies x = 2^4 \implies x_1 = 16$.

2. $t_2 = -1 \implies \log_2 x = -1 \implies x = 2^{-1} \implies x_2 = \frac{1}{2}$.

Оба корня ($16$ и $\frac{1}{2}$) положительны, следовательно, удовлетворяют ОДЗ.

Ответ: $16; \frac{1}{2}$.

2) $16 \log_{16}^2 x + 3 \log_4 x - 1 = 0$

ОДЗ: $x > 0$.

Приведем логарифмы к основанию 4, так как $16 = 4^2$.

$\log_{16} x = \log_{4^2} x = \frac{1}{2} \log_4 x$

Подставим в уравнение:

$16 \left(\frac{1}{2} \log_4 x\right)^2 + 3 \log_4 x - 1 = 0$

$16 \cdot \frac{1}{4} \log_4^2 x + 3 \log_4 x - 1 = 0$

$4 \log_4^2 x + 3 \log_4 x - 1 = 0$

Сделаем замену $t = \log_4 x$:

$4t^2 + 3t - 1 = 0$

Решим квадратное уравнение с помощью дискриминанта:

$D = b^2 - 4ac = 3^2 - 4 \cdot 4 \cdot (-1) = 9 + 16 = 25 = 5^2$

$t = \frac{-b \pm \sqrt{D}}{2a} = \frac{-3 \pm 5}{8}$

$t_1 = \frac{-3 + 5}{8} = \frac{2}{8} = \frac{1}{4}$

$t_2 = \frac{-3 - 5}{8} = \frac{-8}{8} = -1$

Выполним обратную замену:

1. $\log_4 x = \frac{1}{4} \implies x = 4^{1/4} = (2^2)^{1/4} = 2^{2/4} = 2^{1/2} = \sqrt{2}$.

2. $\log_4 x = -1 \implies x = 4^{-1} = \frac{1}{4}$.

Оба корня ($\sqrt{2}$ и $\frac{1}{4}$) удовлетворяют ОДЗ.

Ответ: $\sqrt{2}; \frac{1}{4}$.

3) $\log_3^2 x + 5 \log_9 x - 1,5 = 0$

ОДЗ: $x > 0$.

Приведем логарифмы к основанию 3, так как $9 = 3^2$.

$\log_9 x = \log_{3^2} x = \frac{1}{2} \log_3 x$

Подставим в уравнение:

$\log_3^2 x + 5 \left(\frac{1}{2} \log_3 x\right) - 1,5 = 0$

$\log_3^2 x + 2,5 \log_3 x - 1,5 = 0$

Чтобы избавиться от десятичных дробей, умножим все уравнение на 2:

$2 \log_3^2 x + 5 \log_3 x - 3 = 0$

Сделаем замену $t = \log_3 x$:

$2t^2 + 5t - 3 = 0$

Решим квадратное уравнение:

$D = 5^2 - 4 \cdot 2 \cdot (-3) = 25 + 24 = 49 = 7^2$

$t = \frac{-5 \pm 7}{4}$

$t_1 = \frac{-5 + 7}{4} = \frac{2}{4} = \frac{1}{2}$

$t_2 = \frac{-5 - 7}{4} = \frac{-12}{4} = -3$

Выполним обратную замену:

1. $\log_3 x = \frac{1}{2} \implies x = 3^{1/2} = \sqrt{3}$.

2. $\log_3 x = -3 \implies x = 3^{-3} = \frac{1}{27}$.

Оба корня ($\sqrt{3}$ и $\frac{1}{27}$) удовлетворяют ОДЗ.

Ответ: $\sqrt{3}; \frac{1}{27}$.

4) $\log_3^2 x - 15 \log_{27} x + 6 = 0$

ОДЗ: $x > 0$.

Приведем логарифмы к основанию 3, так как $27 = 3^3$.

$\log_{27} x = \log_{3^3} x = \frac{1}{3} \log_3 x$

Подставим в уравнение:

$\log_3^2 x - 15 \left(\frac{1}{3} \log_3 x\right) + 6 = 0$

$\log_3^2 x - 5 \log_3 x + 6 = 0$

Сделаем замену $t = \log_3 x$:

$t^2 - 5t + 6 = 0$

Решим квадратное уравнение по теореме Виета: сумма корней равна 5, произведение равно 6.

$t_1 = 2$, $t_2 = 3$.

Выполним обратную замену:

1. $\log_3 x = 2 \implies x = 3^2 = 9$.

2. $\log_3 x = 3 \implies x = 3^3 = 27$.

Оба корня ($9$ и $27$) удовлетворяют ОДЗ.

Ответ: $9; 27$.

Помогло решение? Оставьте отзыв в комментариях ниже.

Присоединяйтесь к Телеграм-группе @top_gdz

Присоединиться

Мы подготовили для вас ответ c подробным объяснением домашего задания по алгебре за 10-11 класс, для упражнения номер 313 расположенного на странице 99 к учебнику 2014 года издания для учащихся школ и гимназий.

Теперь на нашем сайте ГДЗ.ТОП вы всегда легко и бесплатно найдёте условие с правильным ответом на вопрос «Как решить ДЗ» и «Как сделать» задание по алгебре к упражнению №313 (с. 99), авторов: Алимов (Шавкат Арифджанович), Колягин (Юрий Михайлович), Ткачева (Мария Владимировна), Федорова (Надежда Евгеньевна), Шабунин (Михаил Иванович), ФГОС (старый) базовый и углублённый уровень обучения учебного пособия издательства Просвещение.