Номер 32, страница 21 - гдз по алгебре 10-11 класс учебник Алимов, Колягин

Алгебра, 10-11 класс Учебник, авторы: Алимов Шавкат Арифджанович, Колягин Юрий Михайлович, Ткачева Мария Владимировна, Федорова Надежда Евгеньевна, Шабунин Михаил Иванович, издательство Просвещение, Москва, 2014

Авторы: Алимов Ш. А., Колягин Ю. М., Ткачева М. В., Федорова Н. Е., Шабунин М. И.

Тип: Учебник

Издательство: Просвещение

Год издания: 2014 - 2025

Уровень обучения: базовый и углублённый

Цвет обложки: синий, фиолетовый

ISBN: 978-5-09-112136-0

Допущено Министерством просвещения Российской Федерации

Математика: алгебра и начала математического анализа, геометрия

Популярные ГДЗ в 10 классе

Глава 1. Действительные числа. Параграф 4. Арифметический корень натуральной степени - номер 32, страница 21.

№32 (с. 21)
Условие. №32 (с. 21)
скриншот условия
Алгебра, 10-11 класс Учебник, авторы: Алимов Шавкат Арифджанович, Колягин Юрий Михайлович, Ткачева Мария Владимировна, Федорова Надежда Евгеньевна, Шабунин Михаил Иванович, издательство Просвещение, Москва, 2014, страница 21, номер 32, Условие

Вычислить (32—36).

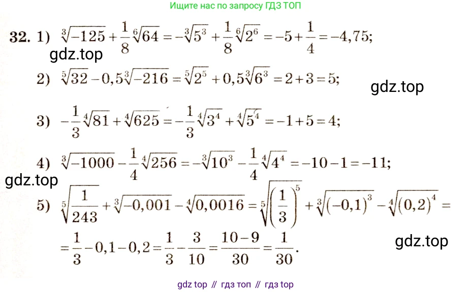
32 1) $\sqrt[3]{-125} + \frac{1}{8} \sqrt[6]{64};$

2) $\sqrt[5]{32} - 0.5 \sqrt[3]{-216};$

3) $-\frac{1}{3} \sqrt[4]{81} + \sqrt[4]{625};$

4) $\sqrt[3]{-1000} - \frac{1}{4} \sqrt[4]{256};$

5) $\sqrt[5]{\frac{1}{243}} + \sqrt[3]{-0.001} - \sqrt[4]{0.0016}.$

Решение 1. №32 (с. 21)
Алгебра, 10-11 класс Учебник, авторы: Алимов Шавкат Арифджанович, Колягин Юрий Михайлович, Ткачева Мария Владимировна, Федорова Надежда Евгеньевна, Шабунин Михаил Иванович, издательство Просвещение, Москва, 2014, страница 21, номер 32, Решение 1
Алгебра, 10-11 класс Учебник, авторы: Алимов Шавкат Арифджанович, Колягин Юрий Михайлович, Ткачева Мария Владимировна, Федорова Надежда Евгеньевна, Шабунин Михаил Иванович, издательство Просвещение, Москва, 2014, страница 21, номер 32, Решение 1 (продолжение 2)
Алгебра, 10-11 класс Учебник, авторы: Алимов Шавкат Арифджанович, Колягин Юрий Михайлович, Ткачева Мария Владимировна, Федорова Надежда Евгеньевна, Шабунин Михаил Иванович, издательство Просвещение, Москва, 2014, страница 21, номер 32, Решение 1 (продолжение 3)
Алгебра, 10-11 класс Учебник, авторы: Алимов Шавкат Арифджанович, Колягин Юрий Михайлович, Ткачева Мария Владимировна, Федорова Надежда Евгеньевна, Шабунин Михаил Иванович, издательство Просвещение, Москва, 2014, страница 21, номер 32, Решение 1 (продолжение 4)
Алгебра, 10-11 класс Учебник, авторы: Алимов Шавкат Арифджанович, Колягин Юрий Михайлович, Ткачева Мария Владимировна, Федорова Надежда Евгеньевна, Шабунин Михаил Иванович, издательство Просвещение, Москва, 2014, страница 21, номер 32, Решение 1 (продолжение 5)
Решение 2. №32 (с. 21)
Алгебра, 10-11 класс Учебник, авторы: Алимов Шавкат Арифджанович, Колягин Юрий Михайлович, Ткачева Мария Владимировна, Федорова Надежда Евгеньевна, Шабунин Михаил Иванович, издательство Просвещение, Москва, 2014, страница 21, номер 32, Решение 2
Алгебра, 10-11 класс Учебник, авторы: Алимов Шавкат Арифджанович, Колягин Юрий Михайлович, Ткачева Мария Владимировна, Федорова Надежда Евгеньевна, Шабунин Михаил Иванович, издательство Просвещение, Москва, 2014, страница 21, номер 32, Решение 2 (продолжение 2)
Решение 4. №32 (с. 21)
Алгебра, 10-11 класс Учебник, авторы: Алимов Шавкат Арифджанович, Колягин Юрий Михайлович, Ткачева Мария Владимировна, Федорова Надежда Евгеньевна, Шабунин Михаил Иванович, издательство Просвещение, Москва, 2014, страница 21, номер 32, Решение 4
Решение 5. №32 (с. 21)
Алгебра, 10-11 класс Учебник, авторы: Алимов Шавкат Арифджанович, Колягин Юрий Михайлович, Ткачева Мария Владимировна, Федорова Надежда Евгеньевна, Шабунин Михаил Иванович, издательство Просвещение, Москва, 2014, страница 21, номер 32, Решение 5
Решение 6. №32 (с. 21)
Алгебра, 10-11 класс Учебник, авторы: Алимов Шавкат Арифджанович, Колягин Юрий Михайлович, Ткачева Мария Владимировна, Федорова Надежда Евгеньевна, Шабунин Михаил Иванович, издательство Просвещение, Москва, 2014, страница 21, номер 32, Решение 6
Решение 7. №32 (с. 21)
Алгебра, 10-11 класс Учебник, авторы: Алимов Шавкат Арифджанович, Колягин Юрий Михайлович, Ткачева Мария Владимировна, Федорова Надежда Евгеньевна, Шабунин Михаил Иванович, издательство Просвещение, Москва, 2014, страница 21, номер 32, Решение 7
Решение 8. №32 (с. 21)

1) Вычислим значение выражения $\sqrt[3]{-125} + \frac{1}{8}\sqrt[6]{64}$.
Для этого найдем значение каждого корня по отдельности.
Корень третьей степени из -125: $\sqrt[3]{-125} = \sqrt[3]{(-5)^3} = -5$.
Корень шестой степени из 64: $\sqrt[6]{64} = \sqrt[6]{2^6} = 2$.
Теперь подставим найденные значения в исходное выражение:
$\sqrt[3]{-125} + \frac{1}{8}\sqrt[6]{64} = -5 + \frac{1}{8} \cdot 2 = -5 + \frac{2}{8} = -5 + \frac{1}{4}$.
Приведем к общему знаменателю и выполним сложение:
$-5 + \frac{1}{4} = -\frac{20}{4} + \frac{1}{4} = -\frac{19}{4} = -4,75$.
Ответ: $-4,75$.

2) Вычислим значение выражения $\sqrt[5]{32} - 0,5\sqrt[3]{-216}$.
Найдем значение каждого корня.
Корень пятой степени из 32: $\sqrt[5]{32} = \sqrt[5]{2^5} = 2$.
Корень третьей степени из -216: $\sqrt[3]{-216} = \sqrt[3]{(-6)^3} = -6$.
Подставим значения в выражение и выполним вычисления:
$\sqrt[5]{32} - 0,5\sqrt[3]{-216} = 2 - 0,5 \cdot (-6) = 2 - (-3) = 2 + 3 = 5$.
Ответ: $5$.

3) Вычислим значение выражения $-\frac{1}{3}\sqrt[4]{81} + \sqrt[4]{625}$.
Найдем значения корней.
Корень четвертой степени из 81: $\sqrt[4]{81} = \sqrt[4]{3^4} = 3$.
Корень четвертой степени из 625: $\sqrt[4]{625} = \sqrt[4]{5^4} = 5$.
Подставим значения в выражение и выполним вычисления:
$-\frac{1}{3}\sqrt[4]{81} + \sqrt[4]{625} = -\frac{1}{3} \cdot 3 + 5 = -1 + 5 = 4$.
Ответ: $4$.

4) Вычислим значение выражения $\sqrt[3]{-1000} - \frac{1}{4}\sqrt[4]{256}$.
Найдем значения корней.
Корень третьей степени из -1000: $\sqrt[3]{-1000} = \sqrt[3]{(-10)^3} = -10$.
Корень четвертой степени из 256: $\sqrt[4]{256} = \sqrt[4]{4^4} = 4$.
Подставим значения в выражение и выполним вычисления:
$\sqrt[3]{-1000} - \frac{1}{4}\sqrt[4]{256} = -10 - \frac{1}{4} \cdot 4 = -10 - 1 = -11$.
Ответ: $-11$.

5) Вычислим значение выражения $\sqrt[5]{\frac{1}{243}} + \sqrt[3]{-0,001} - \sqrt[4]{0,0016}$.
Вычислим каждый член по отдельности.
Первый член: $\sqrt[5]{\frac{1}{243}} = \frac{\sqrt[5]{1}}{\sqrt[5]{243}} = \frac{1}{3}$, так как $3^5=243$.
Второй член: $\sqrt[3]{-0,001} = \sqrt[3]{(-0,1)^3} = -0,1$.
Третий член: $\sqrt[4]{0,0016} = \sqrt[4]{(0,2)^4} = 0,2$, так как $0,2^4 = 0,0016$.
Теперь сложим и вычтем полученные значения: $\frac{1}{3} + (-0,1) - 0,2 = \frac{1}{3} - 0,3$.
Представим десятичную дробь в виде обыкновенной и приведем к общему знаменателю:
$\frac{1}{3} - \frac{3}{10} = \frac{10}{30} - \frac{9}{30} = \frac{1}{30}$.
Ответ: $\frac{1}{30}$.

Помогло решение? Оставьте отзыв в комментариях ниже.

Присоединяйтесь к Телеграм-группе @top_gdz

Присоединиться

Мы подготовили для вас ответ c подробным объяснением домашего задания по алгебре за 10-11 класс, для упражнения номер 32 расположенного на странице 21 к учебнику 2014 года издания для учащихся школ и гимназий.

Теперь на нашем сайте ГДЗ.ТОП вы всегда легко и бесплатно найдёте условие с правильным ответом на вопрос «Как решить ДЗ» и «Как сделать» задание по алгебре к упражнению №32 (с. 21), авторов: Алимов (Шавкат Арифджанович), Колягин (Юрий Михайлович), Ткачева (Мария Владимировна), Федорова (Надежда Евгеньевна), Шабунин (Михаил Иванович), ФГОС (старый) базовый и углублённый уровень обучения учебного пособия издательства Просвещение.