Номер 378, страница 113 - гдз по алгебре 10-11 класс учебник Алимов, Колягин

Алгебра, 10-11 класс Учебник, авторы: Алимов Шавкат Арифджанович, Колягин Юрий Михайлович, Ткачева Мария Владимировна, Федорова Надежда Евгеньевна, Шабунин Михаил Иванович, издательство Просвещение, Москва, 2014

Авторы: Алимов Ш. А., Колягин Ю. М., Ткачева М. В., Федорова Н. Е., Шабунин М. И.

Тип: Учебник

Издательство: Просвещение

Год издания: 2014 - 2026

Уровень обучения: базовый и углублённый

Цвет обложки: синий, фиолетовый

ISBN: 978-5-09-112136-0

Допущено Министерством просвещения Российской Федерации

Математика: алгебра и начала математического анализа, геометрия

Глава 4. Логарифмическая функция. Упражнения к главе 4 - номер 378, страница 113.

№378 (с. 113)
Условие. №378 (с. 113)
скриншот условия
Алгебра, 10-11 класс Учебник, авторы: Алимов Шавкат Арифджанович, Колягин Юрий Михайлович, Ткачева Мария Владимировна, Федорова Надежда Евгеньевна, Шабунин Михаил Иванович, издательство Просвещение, Москва, 2014, страница 113, номер 378, Условие

Решить уравнение (378—380).

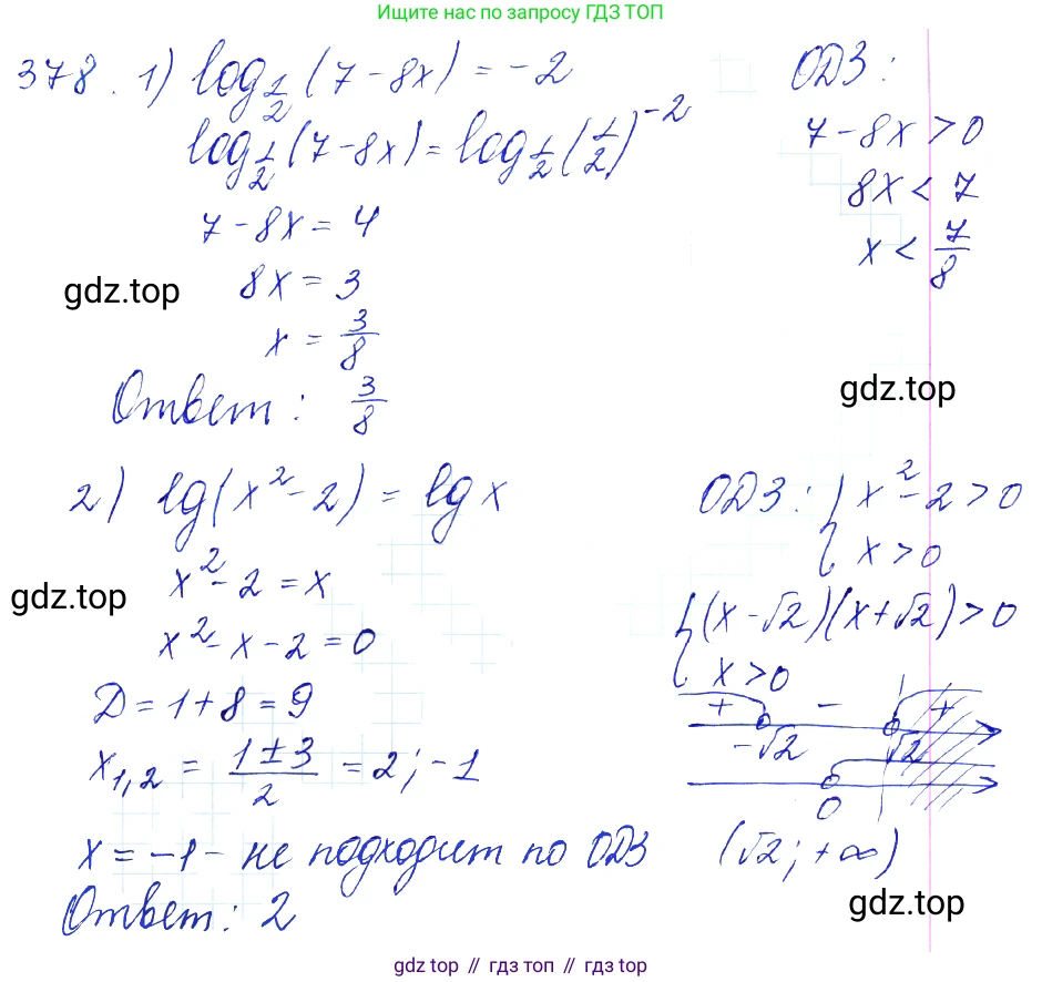
378 1) $ \log_{\frac{1}{2}}(7-8x) = -2; $

2) $ \lg(x^2 - 2) = \lg x. $

Решение 1. №378 (с. 113)
Алгебра, 10-11 класс Учебник, авторы: Алимов Шавкат Арифджанович, Колягин Юрий Михайлович, Ткачева Мария Владимировна, Федорова Надежда Евгеньевна, Шабунин Михаил Иванович, издательство Просвещение, Москва, 2014, страница 113, номер 378, Решение 1
Алгебра, 10-11 класс Учебник, авторы: Алимов Шавкат Арифджанович, Колягин Юрий Михайлович, Ткачева Мария Владимировна, Федорова Надежда Евгеньевна, Шабунин Михаил Иванович, издательство Просвещение, Москва, 2014, страница 113, номер 378, Решение 1 (продолжение 2)
Решение 2. №378 (с. 113)
Алгебра, 10-11 класс Учебник, авторы: Алимов Шавкат Арифджанович, Колягин Юрий Михайлович, Ткачева Мария Владимировна, Федорова Надежда Евгеньевна, Шабунин Михаил Иванович, издательство Просвещение, Москва, 2014, страница 113, номер 378, Решение 2
Решение 3. №378 (с. 113)
Алгебра, 10-11 класс Учебник, авторы: Алимов Шавкат Арифджанович, Колягин Юрий Михайлович, Ткачева Мария Владимировна, Федорова Надежда Евгеньевна, Шабунин Михаил Иванович, издательство Просвещение, Москва, 2014, страница 113, номер 378, Решение 3
Решение 4. №378 (с. 113)
Алгебра, 10-11 класс Учебник, авторы: Алимов Шавкат Арифджанович, Колягин Юрий Михайлович, Ткачева Мария Владимировна, Федорова Надежда Евгеньевна, Шабунин Михаил Иванович, издательство Просвещение, Москва, 2014, страница 113, номер 378, Решение 4
Решение 5. №378 (с. 113)
Алгебра, 10-11 класс Учебник, авторы: Алимов Шавкат Арифджанович, Колягин Юрий Михайлович, Ткачева Мария Владимировна, Федорова Надежда Евгеньевна, Шабунин Михаил Иванович, издательство Просвещение, Москва, 2014, страница 113, номер 378, Решение 5
Решение 6. №378 (с. 113)
Алгебра, 10-11 класс Учебник, авторы: Алимов Шавкат Арифджанович, Колягин Юрий Михайлович, Ткачева Мария Владимировна, Федорова Надежда Евгеньевна, Шабунин Михаил Иванович, издательство Просвещение, Москва, 2014, страница 113, номер 378, Решение 6
Решение 7. №378 (с. 113)
Алгебра, 10-11 класс Учебник, авторы: Алимов Шавкат Арифджанович, Колягин Юрий Михайлович, Ткачева Мария Владимировна, Федорова Надежда Евгеньевна, Шабунин Михаил Иванович, издательство Просвещение, Москва, 2014, страница 113, номер 378, Решение 7
Решение 8. №378 (с. 113)

1) $ \log_{\frac{1}{2}}(7-8x) = -2 $

Данное уравнение является логарифмическим. По определению логарифма, выражение под знаком логарифма должно быть строго положительным. Найдем область допустимых значений (ОДЗ):

$ 7 - 8x > 0 $

$ -8x > -7 $

$ 8x < 7 $

$ x < \frac{7}{8} $

Теперь решим само уравнение, используя определение логарифма: $ \log_{a}{b} = c $ равносильно $ b = a^c $.

$ 7 - 8x = (\frac{1}{2})^{-2} $

Вычислим правую часть уравнения:

$ (\frac{1}{2})^{-2} = (2^{-1})^{-2} = 2^{(-1) \cdot (-2)} = 2^2 = 4 $

Подставим полученное значение обратно в уравнение:

$ 7 - 8x = 4 $

$ 7 - 4 = 8x $

$ 3 = 8x $

$ x = \frac{3}{8} $

Проверим, удовлетворяет ли найденный корень ОДЗ ($ x < \frac{7}{8} $).

Так как $ \frac{3}{8} < \frac{7}{8} $ (поскольку $ 3 < 7 $), корень $ x = \frac{3}{8} $ является решением уравнения.

Ответ: $ \frac{3}{8} $

2) $ \lg(x^2 - 2) = \lg x $

Это логарифмическое уравнение с одинаковым основанием (десятичный логарифм, основание 10). Найдем область допустимых значений (ОДЗ), для которой оба выражения под знаком логарифма положительны:

$ \begin{cases} x^2 - 2 > 0 \\ x > 0 \end{cases} $

Решим первое неравенство: $ x^2 > 2 $, что означает $ x > \sqrt{2} $ или $ x < -\sqrt{2} $.

Объединяя с условием $ x > 0 $, получаем итоговую ОДЗ: $ x > \sqrt{2} $.

Поскольку основания логарифмов равны, мы можем приравнять их аргументы:

$ x^2 - 2 = x $

Перенесем все члены в левую часть, чтобы получить квадратное уравнение:

$ x^2 - x - 2 = 0 $

Решим это уравнение. Можно использовать теорему Виета: сумма корней равна 1, произведение равно -2. Корни: $ x_1 = 2 $ и $ x_2 = -1 $.

Либо через дискриминант:

$ D = b^2 - 4ac = (-1)^2 - 4 \cdot 1 \cdot (-2) = 1 + 8 = 9 $

$ x_{1,2} = \frac{-b \pm \sqrt{D}}{2a} = \frac{1 \pm \sqrt{9}}{2} = \frac{1 \pm 3}{2} $

$ x_1 = \frac{1 + 3}{2} = 2 $

$ x_2 = \frac{1 - 3}{2} = -1 $

Теперь проверим найденные корни на соответствие ОДЗ ($ x > \sqrt{2} \approx 1.414 $):

Корень $ x_1 = 2 $ удовлетворяет условию $ 2 > \sqrt{2} $, так как $ 4 > 2 $.

Корень $ x_2 = -1 $ не удовлетворяет условию $ -1 > \sqrt{2} $, так как отрицательное число не может быть больше положительного. Это посторонний корень.

Следовательно, у уравнения есть только один корень.

Ответ: $ 2 $

Помогло решение? Оставьте отзыв в комментариях ниже.

Присоединяйтесь к Телеграм-группе @top_gdz

Присоединиться

Мы подготовили для вас ответ c подробным объяснением домашего задания по алгебре за 10-11 класс, для упражнения номер 378 расположенного на странице 113 к учебнику 2014 года издания для учащихся школ и гимназий.

Теперь на нашем сайте ГДЗ.ТОП вы всегда легко и бесплатно найдёте условие с правильным ответом на вопрос «Как решить ДЗ» и «Как сделать» задание по алгебре к упражнению №378 (с. 113), авторов: Алимов (Шавкат Арифджанович), Колягин (Юрий Михайлович), Ткачева (Мария Владимировна), Федорова (Надежда Евгеньевна), Шабунин (Михаил Иванович), ФГОС (старый) базовый и углублённый уровень обучения учебного пособия издательства Просвещение.