Номер 380, страница 114 - гдз по алгебре 10-11 класс учебник Алимов, Колягин

Алгебра, 10-11 класс Учебник, авторы: Алимов Шавкат Арифджанович, Колягин Юрий Михайлович, Ткачева Мария Владимировна, Федорова Надежда Евгеньевна, Шабунин Михаил Иванович, издательство Просвещение, Москва, 2014

Авторы: Алимов Ш. А., Колягин Ю. М., Ткачева М. В., Федорова Н. Е., Шабунин М. И.

Тип: Учебник

Издательство: Просвещение

Год издания: 2014 - 2025

Уровень обучения: базовый и углублённый

Цвет обложки: синий, фиолетовый

ISBN: 978-5-09-112136-0

Допущено Министерством просвещения Российской Федерации

Математика: алгебра и начала математического анализа, геометрия

Популярные ГДЗ в 10 классе

Глава 4. Логарифмическая функция. Упражнения к главе 4 - номер 380, страница 114.

№380 (с. 114)
Условие. №380 (с. 114)
скриншот условия
Алгебра, 10-11 класс Учебник, авторы: Алимов Шавкат Арифджанович, Колягин Юрий Михайлович, Ткачева Мария Владимировна, Федорова Надежда Евгеньевна, Шабунин Михаил Иванович, издательство Просвещение, Москва, 2014, страница 114, номер 380, Условие

380 1) $\log_2 (x - 2) + \log_2 (x - 3) = 1;$

2) $\log_3 (5 - x) + \log_3 (-1 - x) = 3;$

3) $\lg (x - 2) + \lg x = \lg 3;$

4) $\log_{\sqrt{6}} (x - 1) + \log_{\sqrt{6}} (x + 4) = \log_{\sqrt{6}} 6.$

Решение 1. №380 (с. 114)
Алгебра, 10-11 класс Учебник, авторы: Алимов Шавкат Арифджанович, Колягин Юрий Михайлович, Ткачева Мария Владимировна, Федорова Надежда Евгеньевна, Шабунин Михаил Иванович, издательство Просвещение, Москва, 2014, страница 114, номер 380, Решение 1
Алгебра, 10-11 класс Учебник, авторы: Алимов Шавкат Арифджанович, Колягин Юрий Михайлович, Ткачева Мария Владимировна, Федорова Надежда Евгеньевна, Шабунин Михаил Иванович, издательство Просвещение, Москва, 2014, страница 114, номер 380, Решение 1 (продолжение 2)
Алгебра, 10-11 класс Учебник, авторы: Алимов Шавкат Арифджанович, Колягин Юрий Михайлович, Ткачева Мария Владимировна, Федорова Надежда Евгеньевна, Шабунин Михаил Иванович, издательство Просвещение, Москва, 2014, страница 114, номер 380, Решение 1 (продолжение 3)
Алгебра, 10-11 класс Учебник, авторы: Алимов Шавкат Арифджанович, Колягин Юрий Михайлович, Ткачева Мария Владимировна, Федорова Надежда Евгеньевна, Шабунин Михаил Иванович, издательство Просвещение, Москва, 2014, страница 114, номер 380, Решение 1 (продолжение 4)
Решение 2. №380 (с. 114)
Алгебра, 10-11 класс Учебник, авторы: Алимов Шавкат Арифджанович, Колягин Юрий Михайлович, Ткачева Мария Владимировна, Федорова Надежда Евгеньевна, Шабунин Михаил Иванович, издательство Просвещение, Москва, 2014, страница 114, номер 380, Решение 2
Алгебра, 10-11 класс Учебник, авторы: Алимов Шавкат Арифджанович, Колягин Юрий Михайлович, Ткачева Мария Владимировна, Федорова Надежда Евгеньевна, Шабунин Михаил Иванович, издательство Просвещение, Москва, 2014, страница 114, номер 380, Решение 2 (продолжение 2)
Алгебра, 10-11 класс Учебник, авторы: Алимов Шавкат Арифджанович, Колягин Юрий Михайлович, Ткачева Мария Владимировна, Федорова Надежда Евгеньевна, Шабунин Михаил Иванович, издательство Просвещение, Москва, 2014, страница 114, номер 380, Решение 2 (продолжение 3)
Решение 4. №380 (с. 114)
Алгебра, 10-11 класс Учебник, авторы: Алимов Шавкат Арифджанович, Колягин Юрий Михайлович, Ткачева Мария Владимировна, Федорова Надежда Евгеньевна, Шабунин Михаил Иванович, издательство Просвещение, Москва, 2014, страница 114, номер 380, Решение 4
Решение 5. №380 (с. 114)
Алгебра, 10-11 класс Учебник, авторы: Алимов Шавкат Арифджанович, Колягин Юрий Михайлович, Ткачева Мария Владимировна, Федорова Надежда Евгеньевна, Шабунин Михаил Иванович, издательство Просвещение, Москва, 2014, страница 114, номер 380, Решение 5
Решение 6. №380 (с. 114)
Алгебра, 10-11 класс Учебник, авторы: Алимов Шавкат Арифджанович, Колягин Юрий Михайлович, Ткачева Мария Владимировна, Федорова Надежда Евгеньевна, Шабунин Михаил Иванович, издательство Просвещение, Москва, 2014, страница 114, номер 380, Решение 6
Решение 7. №380 (с. 114)
Алгебра, 10-11 класс Учебник, авторы: Алимов Шавкат Арифджанович, Колягин Юрий Михайлович, Ткачева Мария Владимировна, Федорова Надежда Евгеньевна, Шабунин Михаил Иванович, издательство Просвещение, Москва, 2014, страница 114, номер 380, Решение 7 Алгебра, 10-11 класс Учебник, авторы: Алимов Шавкат Арифджанович, Колягин Юрий Михайлович, Ткачева Мария Владимировна, Федорова Надежда Евгеньевна, Шабунин Михаил Иванович, издательство Просвещение, Москва, 2014, страница 114, номер 380, Решение 7 (продолжение 2)
Решение 8. №380 (с. 114)

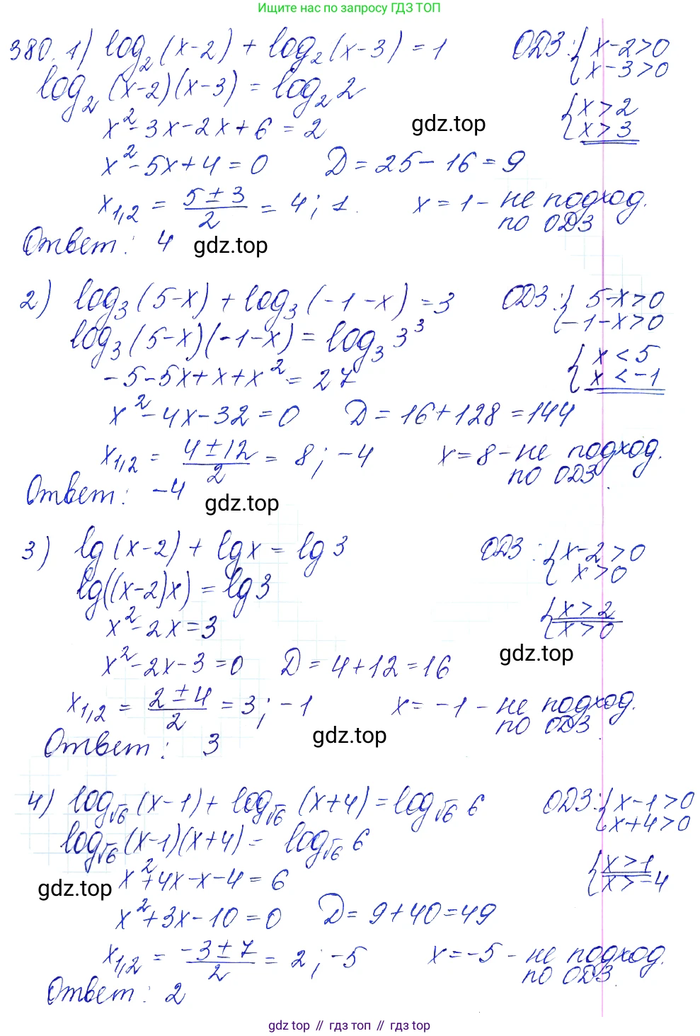
1) Решим уравнение $log₂(x - 2) + log₂(x - 3) = 1$.
Сначала найдем область допустимых значений (ОДЗ), для которой существуют логарифмы. Аргументы логарифмов должны быть строго больше нуля:
$ \begin{cases} x - 2 > 0 \\ x - 3 > 0 \end{cases} $
$ \begin{cases} x > 2 \\ x > 3 \end{cases} $
Объединяя условия, получаем ОДЗ: $x > 3$.
Теперь решим само уравнение. Используем свойство суммы логарифмов с одинаковым основанием: $logₐ(b) + logₐ(c) = logₐ(b \cdot c)$.
$log₂((x - 2)(x - 3)) = 1$
По определению логарифма ($logₐ(b) = c \iff a^c = b$):
$(x - 2)(x - 3) = 2^1$
$x^2 - 3x - 2x + 6 = 2$
$x^2 - 5x + 4 = 0$
Решим полученное квадратное уравнение. По теореме Виета, сумма корней равна 5, а произведение равно 4. Корни уравнения:
$x₁ = 1$
$x₂ = 4$
Проверим найденные корни на принадлежность ОДЗ ($x > 3$).
Корень $x₁ = 1$ не удовлетворяет условию $1 > 3$, следовательно, это посторонний корень.
Корень $x₂ = 4$ удовлетворяет условию $4 > 3$, следовательно, это решение уравнения.
Ответ: 4.

2) Решим уравнение $log₃(5 - x) + log₃(-1 - x) = 3$.
Найдем ОДЗ:
$ \begin{cases} 5 - x > 0 \\ -1 - x > 0 \end{cases} $
$ \begin{cases} x < 5 \\ -x > 1 \end{cases} $
$ \begin{cases} x < 5 \\ x < -1 \end{cases} $
Объединяя условия, получаем ОДЗ: $x < -1$.
Применим свойство суммы логарифмов:
$log₃((5 - x)(-1 - x)) = 3$
По определению логарифма:
$(5 - x)(-1 - x) = 3^3$
$-5 - 5x + x + x^2 = 27$
$x^2 - 4x - 5 - 27 = 0$
$x^2 - 4x - 32 = 0$
Решим квадратное уравнение через дискриминант $D = b^2 - 4ac$:
$D = (-4)^2 - 4 \cdot 1 \cdot (-32) = 16 + 128 = 144 = 12^2$
$x_1 = \frac{-b + \sqrt{D}}{2a} = \frac{4 + 12}{2} = \frac{16}{2} = 8$
$x_2 = \frac{-b - \sqrt{D}}{2a} = \frac{4 - 12}{2} = \frac{-8}{2} = -4$
Проверим корни на принадлежность ОДЗ ($x < -1$).
Корень $x₁ = 8$ не удовлетворяет условию $8 < -1$, это посторонний корень.
Корень $x₂ = -4$ удовлетворяет условию $-4 < -1$, это решение уравнения.
Ответ: -4.

3) Решим уравнение $lg(x - 2) + lg(x) = lg(3)$.
Напомним, что $lg$ — это десятичный логарифм, то есть $log₁₀$.
Найдем ОДЗ:
$ \begin{cases} x - 2 > 0 \\ x > 0 \end{cases} $
$ \begin{cases} x > 2 \\ x > 0 \end{cases} $
Объединяя условия, получаем ОДЗ: $x > 2$.
Применим свойство суммы логарифмов:
$lg((x - 2)x) = lg(3)$
Так как основания логарифмов равны, мы можем приравнять их аргументы:
$(x - 2)x = 3$
$x^2 - 2x = 3$
$x^2 - 2x - 3 = 0$
По теореме Виета, сумма корней равна 2, а произведение равно -3. Корни уравнения:
$x₁ = 3$
$x₂ = -1$
Проверим корни на принадлежность ОДЗ ($x > 2$).
Корень $x₁ = 3$ удовлетворяет условию $3 > 2$, это решение уравнения.
Корень $x₂ = -1$ не удовлетворяет условию $-1 > 2$, это посторонний корень.
Ответ: 3.

4) Решим уравнение $log_{\sqrt{6}}(x - 1) + log_{\sqrt{6}}(x + 4) = log_{\sqrt{6}}(6)$.
Найдем ОДЗ:
$ \begin{cases} x - 1 > 0 \\ x + 4 > 0 \end{cases} $
$ \begin{cases} x > 1 \\ x > -4 \end{cases} $
Объединяя условия, получаем ОДЗ: $x > 1$.
Применим свойство суммы логарифмов:
$log_{\sqrt{6}}((x - 1)(x + 4)) = log_{\sqrt{6}}(6)$
Так как основания логарифмов равны, приравниваем аргументы:
$(x - 1)(x + 4) = 6$
$x^2 + 4x - x - 4 = 6$
$x^2 + 3x - 10 = 0$
Решим квадратное уравнение. По теореме Виета, сумма корней равна -3, а произведение равно -10. Корни уравнения:
$x₁ = 2$
$x₂ = -5$
Проверим корни на принадлежность ОДЗ ($x > 1$).
Корень $x₁ = 2$ удовлетворяет условию $2 > 1$, это решение уравнения.
Корень $x₂ = -5$ не удовлетворяет условию $-5 > 1$, это посторонний корень.
Ответ: 2.

Помогло решение? Оставьте отзыв в комментариях ниже.

Присоединяйтесь к Телеграм-группе @top_gdz

Присоединиться

Мы подготовили для вас ответ c подробным объяснением домашего задания по алгебре за 10-11 класс, для упражнения номер 380 расположенного на странице 114 к учебнику 2014 года издания для учащихся школ и гимназий.

Теперь на нашем сайте ГДЗ.ТОП вы всегда легко и бесплатно найдёте условие с правильным ответом на вопрос «Как решить ДЗ» и «Как сделать» задание по алгебре к упражнению №380 (с. 114), авторов: Алимов (Шавкат Арифджанович), Колягин (Юрий Михайлович), Ткачева (Мария Владимировна), Федорова (Надежда Евгеньевна), Шабунин (Михаил Иванович), ФГОС (старый) базовый и углублённый уровень обучения учебного пособия издательства Просвещение.