Номер 438, страница 131 - гдз по алгебре 10-11 класс учебник Алимов, Колягин

Алгебра, 10-11 класс Учебник, авторы: Алимов Шавкат Арифджанович, Колягин Юрий Михайлович, Ткачева Мария Владимировна, Федорова Надежда Евгеньевна, Шабунин Михаил Иванович, издательство Просвещение, Москва, 2014

Авторы: Алимов Ш. А., Колягин Ю. М., Ткачева М. В., Федорова Н. Е., Шабунин М. И.

Тип: Учебник

Издательство: Просвещение

Год издания: 2014 - 2025

Уровень обучения: базовый и углублённый

Цвет обложки: синий, фиолетовый

ISBN: 978-5-09-112136-0

Допущено Министерством просвещения Российской Федерации

Математика: алгебра и начала математического анализа, геометрия

Популярные ГДЗ в 10 классе

Глава 5. Тригонометрические формулы. Параграф 23. Определение синуса, косинуса и тангенса угла - номер 438, страница 131.

№438 (с. 131)
Условие. №438 (с. 131)
скриншот условия
Алгебра, 10-11 класс Учебник, авторы: Алимов Шавкат Арифджанович, Колягин Юрий Михайлович, Ткачева Мария Владимировна, Федорова Надежда Евгеньевна, Шабунин Михаил Иванович, издательство Просвещение, Москва, 2014, страница 131, номер 438, Условие

438 Найти значение выражения:

1) $ \sin \frac{\pi}{4} \cos \frac{\pi}{4} - \sin \frac{\pi}{3} \cos \frac{\pi}{6}; $

2) $ 2 \operatorname{tg}^2 \frac{\pi}{3} - \operatorname{ctg}^2 \frac{\pi}{6} - \sin \frac{\pi}{6} \cos \frac{\pi}{3}; $

3) $ \left(\operatorname{tg} \frac{\pi}{4} - \operatorname{ctg} \frac{\pi}{3}\right)\left(\operatorname{ctg} \frac{\pi}{4} + \operatorname{tg} \frac{\pi}{6}\right); $

4) $ 2 \cos^2 \frac{\pi}{6} - \sin^2 \frac{\pi}{3} + \operatorname{tg} \frac{\pi}{6} \operatorname{ctg} \frac{\pi}{3}. $

Решение 1. №438 (с. 131)
Алгебра, 10-11 класс Учебник, авторы: Алимов Шавкат Арифджанович, Колягин Юрий Михайлович, Ткачева Мария Владимировна, Федорова Надежда Евгеньевна, Шабунин Михаил Иванович, издательство Просвещение, Москва, 2014, страница 131, номер 438, Решение 1
Алгебра, 10-11 класс Учебник, авторы: Алимов Шавкат Арифджанович, Колягин Юрий Михайлович, Ткачева Мария Владимировна, Федорова Надежда Евгеньевна, Шабунин Михаил Иванович, издательство Просвещение, Москва, 2014, страница 131, номер 438, Решение 1 (продолжение 2)
Алгебра, 10-11 класс Учебник, авторы: Алимов Шавкат Арифджанович, Колягин Юрий Михайлович, Ткачева Мария Владимировна, Федорова Надежда Евгеньевна, Шабунин Михаил Иванович, издательство Просвещение, Москва, 2014, страница 131, номер 438, Решение 1 (продолжение 3)
Алгебра, 10-11 класс Учебник, авторы: Алимов Шавкат Арифджанович, Колягин Юрий Михайлович, Ткачева Мария Владимировна, Федорова Надежда Евгеньевна, Шабунин Михаил Иванович, издательство Просвещение, Москва, 2014, страница 131, номер 438, Решение 1 (продолжение 4)
Решение 2. №438 (с. 131)
Алгебра, 10-11 класс Учебник, авторы: Алимов Шавкат Арифджанович, Колягин Юрий Михайлович, Ткачева Мария Владимировна, Федорова Надежда Евгеньевна, Шабунин Михаил Иванович, издательство Просвещение, Москва, 2014, страница 131, номер 438, Решение 2
Решение 4. №438 (с. 131)
Алгебра, 10-11 класс Учебник, авторы: Алимов Шавкат Арифджанович, Колягин Юрий Михайлович, Ткачева Мария Владимировна, Федорова Надежда Евгеньевна, Шабунин Михаил Иванович, издательство Просвещение, Москва, 2014, страница 131, номер 438, Решение 4
Алгебра, 10-11 класс Учебник, авторы: Алимов Шавкат Арифджанович, Колягин Юрий Михайлович, Ткачева Мария Владимировна, Федорова Надежда Евгеньевна, Шабунин Михаил Иванович, издательство Просвещение, Москва, 2014, страница 131, номер 438, Решение 4 (продолжение 2)
Решение 5. №438 (с. 131)
Алгебра, 10-11 класс Учебник, авторы: Алимов Шавкат Арифджанович, Колягин Юрий Михайлович, Ткачева Мария Владимировна, Федорова Надежда Евгеньевна, Шабунин Михаил Иванович, издательство Просвещение, Москва, 2014, страница 131, номер 438, Решение 5
Решение 6. №438 (с. 131)
Алгебра, 10-11 класс Учебник, авторы: Алимов Шавкат Арифджанович, Колягин Юрий Михайлович, Ткачева Мария Владимировна, Федорова Надежда Евгеньевна, Шабунин Михаил Иванович, издательство Просвещение, Москва, 2014, страница 131, номер 438, Решение 6
Решение 7. №438 (с. 131)
Алгебра, 10-11 класс Учебник, авторы: Алимов Шавкат Арифджанович, Колягин Юрий Михайлович, Ткачева Мария Владимировна, Федорова Надежда Евгеньевна, Шабунин Михаил Иванович, издательство Просвещение, Москва, 2014, страница 131, номер 438, Решение 7
Решение 8. №438 (с. 131)

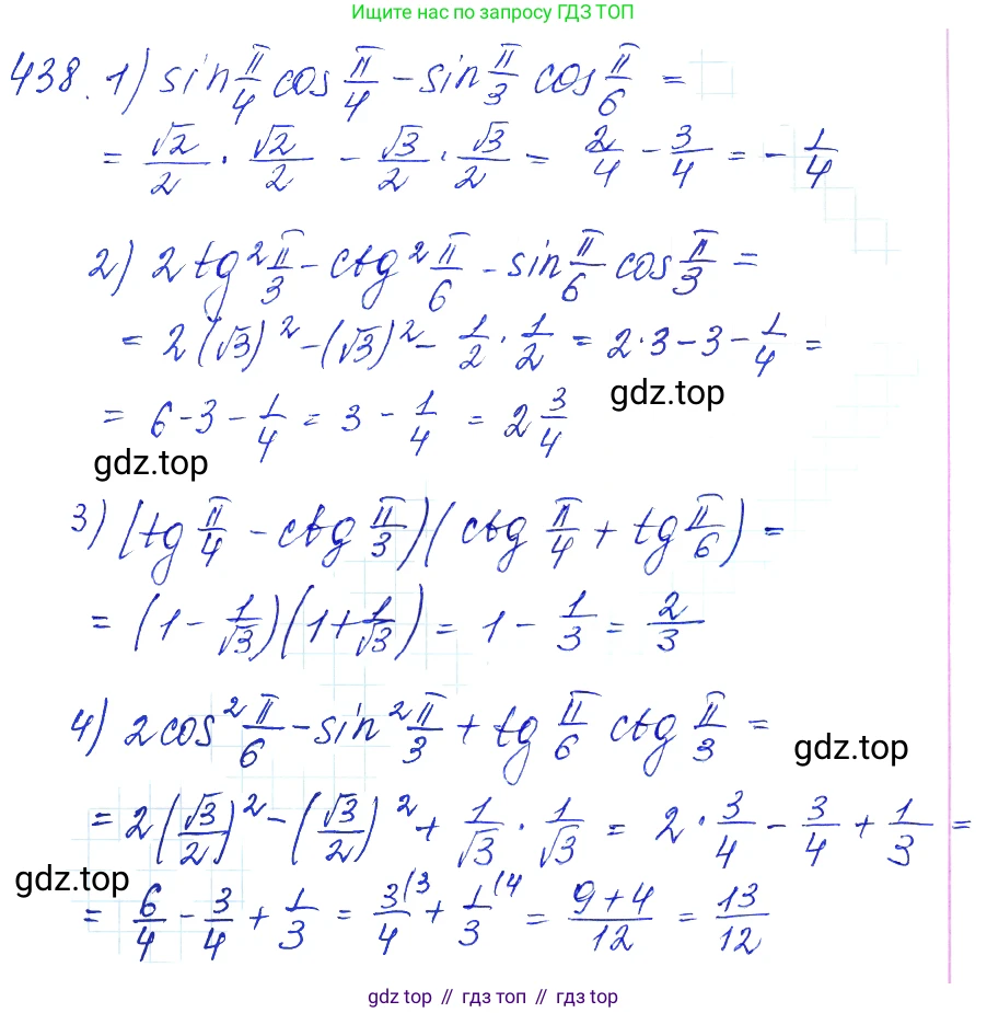
1) $ \sin \frac{\pi}{4} \cos \frac{\pi}{4} - \sin \frac{\pi}{3} \cos \frac{\pi}{6} $
Для решения данного выражения необходимо знать табличные значения тригонометрических функций для стандартных углов.
Значения, которые нам понадобятся:
$ \sin \frac{\pi}{4} = \frac{\sqrt{2}}{2} $
$ \cos \frac{\pi}{4} = \frac{\sqrt{2}}{2} $
$ \sin \frac{\pi}{3} = \frac{\sqrt{3}}{2} $
$ \cos \frac{\pi}{6} = \frac{\sqrt{3}}{2} $
Теперь подставим эти значения в исходное выражение и выполним вычисления:
$ \frac{\sqrt{2}}{2} \cdot \frac{\sqrt{2}}{2} - \frac{\sqrt{3}}{2} \cdot \frac{\sqrt{3}}{2} = \frac{(\sqrt{2})^2}{4} - \frac{(\sqrt{3})^2}{4} = \frac{2}{4} - \frac{3}{4} = -\frac{1}{4} $.
Ответ: $ -\frac{1}{4} $.

2) $ 2 \tg^2 \frac{\pi}{3} - \ctg^2 \frac{\pi}{6} - \sin \frac{\pi}{6} \cos \frac{\pi}{3} $
Найдем табличные значения тригонометрических функций:
$ \tg \frac{\pi}{3} = \sqrt{3} $
$ \ctg \frac{\pi}{6} = \sqrt{3} $
$ \sin \frac{\pi}{6} = \frac{1}{2} $
$ \cos \frac{\pi}{3} = \frac{1}{2} $
Подставим значения в выражение. Учтем, что $ \tg^2 x = (\tg x)^2 $ и $ \ctg^2 x = (\ctg x)^2 $.
$ 2 (\sqrt{3})^2 - (\sqrt{3})^2 - \frac{1}{2} \cdot \frac{1}{2} = 2 \cdot 3 - 3 - \frac{1}{4} = 6 - 3 - \frac{1}{4} = 3 - \frac{1}{4} = \frac{12}{4} - \frac{1}{4} = \frac{11}{4} $.
Ответ: $ \frac{11}{4} $.

3) $ (\tg \frac{\pi}{4} - \ctg \frac{\pi}{3}) (\ctg \frac{\pi}{4} + \tg \frac{\pi}{6}) $
Найдем табличные значения тригонометрических функций:
$ \tg \frac{\pi}{4} = 1 $
$ \ctg \frac{\pi}{3} = \frac{1}{\sqrt{3}} = \frac{\sqrt{3}}{3} $
$ \ctg \frac{\pi}{4} = 1 $
$ \tg \frac{\pi}{6} = \frac{1}{\sqrt{3}} = \frac{\sqrt{3}}{3} $
Подставим значения в выражение:
$ (1 - \frac{\sqrt{3}}{3})(1 + \frac{\sqrt{3}}{3}) $.
Это выражение представляет собой формулу разности квадратов $ (a-b)(a+b) = a^2 - b^2 $, где $ a = 1 $ и $ b = \frac{\sqrt{3}}{3} $.
$ 1^2 - (\frac{\sqrt{3}}{3})^2 = 1 - \frac{3}{9} = 1 - \frac{1}{3} = \frac{3}{3} - \frac{1}{3} = \frac{2}{3} $.
Ответ: $ \frac{2}{3} $.

4) $ 2 \cos^2 \frac{\pi}{6} - \sin^2 \frac{\pi}{3} + \tg \frac{\pi}{6} \ctg \frac{\pi}{3} $
Найдем табличные значения тригонометрических функций:
$ \cos \frac{\pi}{6} = \frac{\sqrt{3}}{2} $
$ \sin \frac{\pi}{3} = \frac{\sqrt{3}}{2} $
$ \tg \frac{\pi}{6} = \frac{1}{\sqrt{3}} = \frac{\sqrt{3}}{3} $
$ \ctg \frac{\pi}{3} = \frac{1}{\sqrt{3}} = \frac{\sqrt{3}}{3} $
Подставим значения в выражение:
$ 2 (\frac{\sqrt{3}}{2})^2 - (\frac{\sqrt{3}}{2})^2 + \frac{\sqrt{3}}{3} \cdot \frac{\sqrt{3}}{3} = 2 \cdot \frac{3}{4} - \frac{3}{4} + \frac{3}{9} = \frac{6}{4} - \frac{3}{4} + \frac{1}{3} = \frac{3}{4} + \frac{1}{3} $.
Приведем дроби к общему знаменателю 12:
$ \frac{3 \cdot 3}{4 \cdot 3} + \frac{1 \cdot 4}{3 \cdot 4} = \frac{9}{12} + \frac{4}{12} = \frac{13}{12} $.
Ответ: $ \frac{13}{12} $.

Помогло решение? Оставьте отзыв в комментариях ниже.

Присоединяйтесь к Телеграм-группе @top_gdz

Присоединиться

Мы подготовили для вас ответ c подробным объяснением домашего задания по алгебре за 10-11 класс, для упражнения номер 438 расположенного на странице 131 к учебнику 2014 года издания для учащихся школ и гимназий.

Теперь на нашем сайте ГДЗ.ТОП вы всегда легко и бесплатно найдёте условие с правильным ответом на вопрос «Как решить ДЗ» и «Как сделать» задание по алгебре к упражнению №438 (с. 131), авторов: Алимов (Шавкат Арифджанович), Колягин (Юрий Михайлович), Ткачева (Мария Владимировна), Федорова (Надежда Евгеньевна), Шабунин (Михаил Иванович), ФГОС (старый) базовый и углублённый уровень обучения учебного пособия издательства Просвещение.