Номер 470, страница 141 - гдз по алгебре 10-11 класс учебник Алимов, Колягин

Алгебра, 10-11 класс Учебник, авторы: Алимов Шавкат Арифджанович, Колягин Юрий Михайлович, Ткачева Мария Владимировна, Федорова Надежда Евгеньевна, Шабунин Михаил Иванович, издательство Просвещение, Москва, 2014

Авторы: Алимов Ш. А., Колягин Ю. М., Ткачева М. В., Федорова Н. Е., Шабунин М. И.

Тип: Учебник

Издательство: Просвещение

Год издания: 2014 - 2025

Уровень обучения: базовый и углублённый

Цвет обложки: синий, фиолетовый

ISBN: 978-5-09-112136-0

Допущено Министерством просвещения Российской Федерации

Математика: алгебра и начала математического анализа, геометрия

Популярные ГДЗ в 10 классе

Глава 5. Тригонометрические формулы. Параграф 26. Тригонометрические тождества - номер 470, страница 141.

№470 (с. 141)
Условие. №470 (с. 141)
скриншот условия
Алгебра, 10-11 класс Учебник, авторы: Алимов Шавкат Арифджанович, Колягин Юрий Михайлович, Ткачева Мария Владимировна, Федорова Надежда Евгеньевна, Шабунин Михаил Иванович, издательство Просвещение, Москва, 2014, страница 141, номер 470, Условие

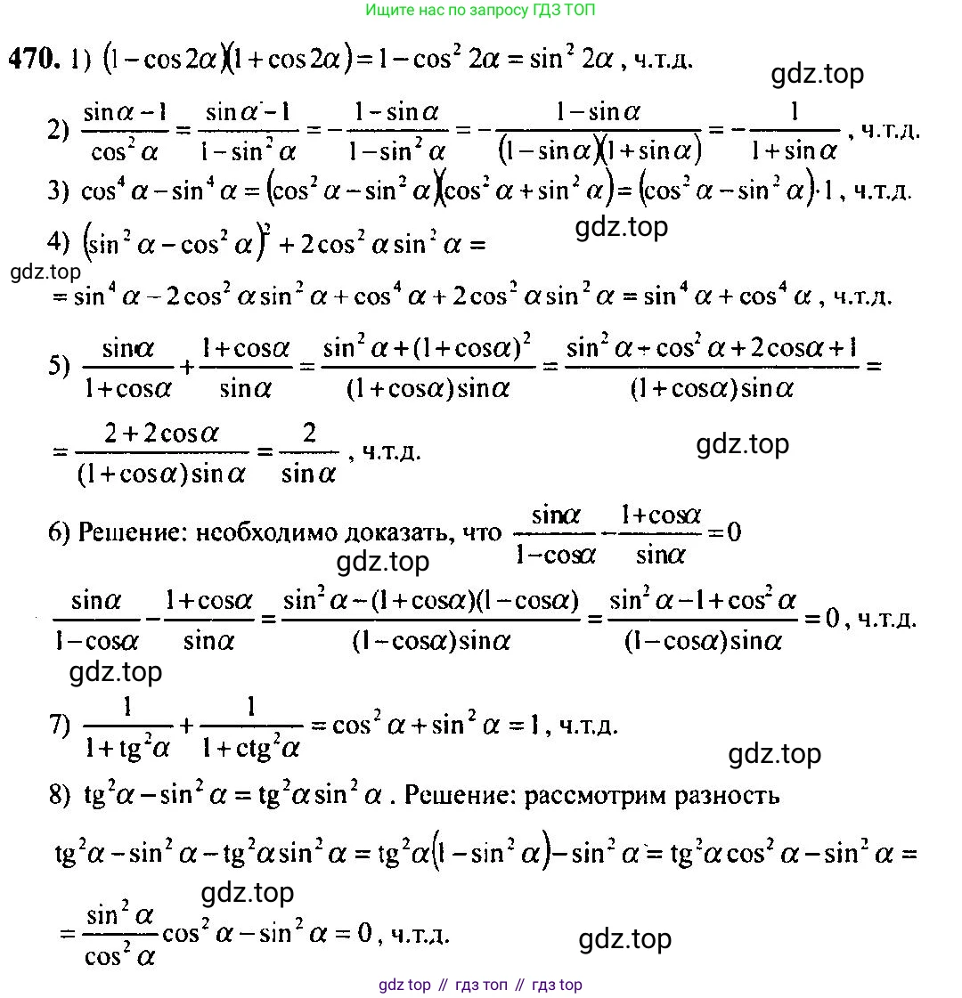
470 Доказать тождество:

1) $(1 - \cos 2\alpha)(1 + \cos 2\alpha) = \sin^2 2\alpha;$

2) $\frac{\sin\alpha - 1}{\cos^2 \alpha} = - \frac{1}{1 + \sin\alpha};$

3) $\cos^4 \alpha - \sin^4 \alpha = \cos^2 \alpha - \sin^2 \alpha;$

4) $(\sin^2 \alpha - \cos^2 \alpha)^2 + 2 \cos^2 \alpha \sin^2 \alpha = \sin^4 \alpha + \cos^4 \alpha;$

5) $\frac{\sin\alpha}{1 + \cos\alpha} + \frac{1 + \cos\alpha}{\sin\alpha} = \frac{2}{\sin\alpha};$

6) $\frac{\sin\alpha}{1 - \cos\alpha} = \frac{1 + \cos\alpha}{\sin\alpha};$

7) $\frac{1}{1 + \text{tg}^2 \alpha} + \frac{1}{1 + \text{ctg}^2 \alpha} = 1;$

8) $\text{tg}^2 \alpha - \sin^2 \alpha = \text{tg}^2 \alpha \sin^2 \alpha.$

Решение 1. №470 (с. 141)
Алгебра, 10-11 класс Учебник, авторы: Алимов Шавкат Арифджанович, Колягин Юрий Михайлович, Ткачева Мария Владимировна, Федорова Надежда Евгеньевна, Шабунин Михаил Иванович, издательство Просвещение, Москва, 2014, страница 141, номер 470, Решение 1
Алгебра, 10-11 класс Учебник, авторы: Алимов Шавкат Арифджанович, Колягин Юрий Михайлович, Ткачева Мария Владимировна, Федорова Надежда Евгеньевна, Шабунин Михаил Иванович, издательство Просвещение, Москва, 2014, страница 141, номер 470, Решение 1 (продолжение 2)
Алгебра, 10-11 класс Учебник, авторы: Алимов Шавкат Арифджанович, Колягин Юрий Михайлович, Ткачева Мария Владимировна, Федорова Надежда Евгеньевна, Шабунин Михаил Иванович, издательство Просвещение, Москва, 2014, страница 141, номер 470, Решение 1 (продолжение 3)
Алгебра, 10-11 класс Учебник, авторы: Алимов Шавкат Арифджанович, Колягин Юрий Михайлович, Ткачева Мария Владимировна, Федорова Надежда Евгеньевна, Шабунин Михаил Иванович, издательство Просвещение, Москва, 2014, страница 141, номер 470, Решение 1 (продолжение 4)
Алгебра, 10-11 класс Учебник, авторы: Алимов Шавкат Арифджанович, Колягин Юрий Михайлович, Ткачева Мария Владимировна, Федорова Надежда Евгеньевна, Шабунин Михаил Иванович, издательство Просвещение, Москва, 2014, страница 141, номер 470, Решение 1 (продолжение 5) Алгебра, 10-11 класс Учебник, авторы: Алимов Шавкат Арифджанович, Колягин Юрий Михайлович, Ткачева Мария Владимировна, Федорова Надежда Евгеньевна, Шабунин Михаил Иванович, издательство Просвещение, Москва, 2014, страница 141, номер 470, Решение 1 (продолжение 6) Алгебра, 10-11 класс Учебник, авторы: Алимов Шавкат Арифджанович, Колягин Юрий Михайлович, Ткачева Мария Владимировна, Федорова Надежда Евгеньевна, Шабунин Михаил Иванович, издательство Просвещение, Москва, 2014, страница 141, номер 470, Решение 1 (продолжение 7) Алгебра, 10-11 класс Учебник, авторы: Алимов Шавкат Арифджанович, Колягин Юрий Михайлович, Ткачева Мария Владимировна, Федорова Надежда Евгеньевна, Шабунин Михаил Иванович, издательство Просвещение, Москва, 2014, страница 141, номер 470, Решение 1 (продолжение 8)
Решение 2. №470 (с. 141)
Алгебра, 10-11 класс Учебник, авторы: Алимов Шавкат Арифджанович, Колягин Юрий Михайлович, Ткачева Мария Владимировна, Федорова Надежда Евгеньевна, Шабунин Михаил Иванович, издательство Просвещение, Москва, 2014, страница 141, номер 470, Решение 2
Алгебра, 10-11 класс Учебник, авторы: Алимов Шавкат Арифджанович, Колягин Юрий Михайлович, Ткачева Мария Владимировна, Федорова Надежда Евгеньевна, Шабунин Михаил Иванович, издательство Просвещение, Москва, 2014, страница 141, номер 470, Решение 2 (продолжение 2)
Решение 4. №470 (с. 141)
Алгебра, 10-11 класс Учебник, авторы: Алимов Шавкат Арифджанович, Колягин Юрий Михайлович, Ткачева Мария Владимировна, Федорова Надежда Евгеньевна, Шабунин Михаил Иванович, издательство Просвещение, Москва, 2014, страница 141, номер 470, Решение 4
Решение 5. №470 (с. 141)
Алгебра, 10-11 класс Учебник, авторы: Алимов Шавкат Арифджанович, Колягин Юрий Михайлович, Ткачева Мария Владимировна, Федорова Надежда Евгеньевна, Шабунин Михаил Иванович, издательство Просвещение, Москва, 2014, страница 141, номер 470, Решение 5
Решение 6. №470 (с. 141)
Алгебра, 10-11 класс Учебник, авторы: Алимов Шавкат Арифджанович, Колягин Юрий Михайлович, Ткачева Мария Владимировна, Федорова Надежда Евгеньевна, Шабунин Михаил Иванович, издательство Просвещение, Москва, 2014, страница 141, номер 470, Решение 6
Решение 7. №470 (с. 141)
Алгебра, 10-11 класс Учебник, авторы: Алимов Шавкат Арифджанович, Колягин Юрий Михайлович, Ткачева Мария Владимировна, Федорова Надежда Евгеньевна, Шабунин Михаил Иванович, издательство Просвещение, Москва, 2014, страница 141, номер 470, Решение 7 Алгебра, 10-11 класс Учебник, авторы: Алимов Шавкат Арифджанович, Колягин Юрий Михайлович, Ткачева Мария Владимировна, Федорова Надежда Евгеньевна, Шабунин Михаил Иванович, издательство Просвещение, Москва, 2014, страница 141, номер 470, Решение 7 (продолжение 2) Алгебра, 10-11 класс Учебник, авторы: Алимов Шавкат Арифджанович, Колягин Юрий Михайлович, Ткачева Мария Владимировна, Федорова Надежда Евгеньевна, Шабунин Михаил Иванович, издательство Просвещение, Москва, 2014, страница 141, номер 470, Решение 7 (продолжение 3)
Решение 8. №470 (с. 141)

1) $(1 - \cos 2\alpha)(1 + \cos 2\alpha) = \sin^2 2\alpha;$

Для доказательства преобразуем левую часть равенства. Выражение в левой части представляет собой формулу разности квадратов $(a-b)(a+b)=a^2-b^2$, где $a=1$ и $b=\cos 2\alpha$.

$(1 - \cos 2\alpha)(1 + \cos 2\alpha) = 1^2 - \cos^2 2\alpha = 1 - \cos^2 2\alpha$.

Далее, согласно основному тригонометрическому тождеству $\sin^2 x + \cos^2 x = 1$, имеем $\sin^2 x = 1 - \cos^2 x$. Применим это тождество для угла $x = 2\alpha$:

$1 - \cos^2 2\alpha = \sin^2 2\alpha$.

Таким образом, левая часть тождества равна правой. Тождество доказано.

Ответ: Тождество доказано.

2) $\frac{\sin\alpha - 1}{\cos^2\alpha} = -\frac{1}{1 + \sin\alpha};$

Преобразуем левую часть равенства. Используем основное тригонометрическое тождество $\cos^2\alpha = 1 - \sin^2\alpha$ в знаменателе:

$\frac{\sin\alpha - 1}{\cos^2\alpha} = \frac{\sin\alpha - 1}{1 - \sin^2\alpha}$.

Знаменатель $1 - \sin^2\alpha$ можно разложить на множители по формуле разности квадратов:

$\frac{\sin\alpha - 1}{(1 - \sin\alpha)(1 + \sin\alpha)}$.

В числителе вынесем минус за скобки: $\sin\alpha - 1 = -(1 - \sin\alpha)$.

$\frac{-(1 - \sin\alpha)}{(1 - \sin\alpha)(1 + \sin\alpha)}$.

Сократим дробь на $(1 - \sin\alpha)$ при условии, что $\sin\alpha \neq 1$:

$\frac{-1}{1 + \sin\alpha} = -\frac{1}{1 + \sin\alpha}$.

Левая часть равна правой. Тождество доказано.

Ответ: Тождество доказано.

3) $\cos^4 \alpha - \sin^4 \alpha = \cos^2 \alpha - \sin^2 \alpha;$

Преобразуем левую часть, рассматривая её как разность квадратов $(\cos^2\alpha)^2 - (\sin^2\alpha)^2$.

$\cos^4 \alpha - \sin^4 \alpha = (\cos^2\alpha - \sin^2\alpha)(\cos^2\alpha + \sin^2\alpha)$.

Согласно основному тригонометрическому тождеству, $\cos^2\alpha + \sin^2\alpha = 1$. Подставим это значение в выражение:

$(\cos^2\alpha - \sin^2\alpha) \cdot 1 = \cos^2\alpha - \sin^2\alpha$.

Левая часть равна правой. Тождество доказано.

Ответ: Тождество доказано.

4) $(\sin^2 \alpha - \cos^2 \alpha)^2 + 2\cos^2 \alpha \sin^2 \alpha = \sin^4 \alpha + \cos^4 \alpha;$

Раскроем скобки в левой части, используя формулу квадрата разности $(a-b)^2 = a^2 - 2ab + b^2$:

$(\sin^2 \alpha - \cos^2 \alpha)^2 = (\sin^2\alpha)^2 - 2\sin^2\alpha\cos^2\alpha + (\cos^2\alpha)^2 = \sin^4\alpha - 2\sin^2\alpha\cos^2\alpha + \cos^4\alpha$.

Подставим полученное выражение обратно в левую часть исходного равенства:

$(\sin^4\alpha - 2\sin^2\alpha\cos^2\alpha + \cos^4\alpha) + 2\cos^2 \alpha \sin^2 \alpha$.

Приведем подобные слагаемые:

$\sin^4\alpha + \cos^4\alpha - 2\sin^2\alpha\cos^2\alpha + 2\sin^2\alpha\cos^2\alpha = \sin^4\alpha + \cos^4\alpha$.

Левая часть равна правой. Тождество доказано.

Ответ: Тождество доказано.

5) $\frac{\sin\alpha}{1 + \cos\alpha} + \frac{1 + \cos\alpha}{\sin\alpha} = \frac{2}{\sin\alpha};$

Приведем дроби в левой части к общему знаменателю $\sin\alpha(1 + \cos\alpha)$:

$\frac{\sin\alpha \cdot \sin\alpha}{\sin\alpha(1 + \cos\alpha)} + \frac{(1 + \cos\alpha)(1 + \cos\alpha)}{\sin\alpha(1 + \cos\alpha)} = \frac{\sin^2\alpha + (1 + \cos\alpha)^2}{\sin\alpha(1 + \cos\alpha)}$.

Раскроем квадрат в числителе:

$\frac{\sin^2\alpha + 1 + 2\cos\alpha + \cos^2\alpha}{\sin\alpha(1 + \cos\alpha)}$.

Сгруппируем слагаемые в числителе и применим основное тригонометрическое тождество $\sin^2\alpha + \cos^2\alpha = 1$:

$\frac{(\sin^2\alpha + \cos^2\alpha) + 1 + 2\cos\alpha}{\sin\alpha(1 + \cos\alpha)} = \frac{1 + 1 + 2\cos\alpha}{\sin\alpha(1 + \cos\alpha)} = \frac{2 + 2\cos\alpha}{\sin\alpha(1 + \cos\alpha)}$.

Вынесем 2 за скобки в числителе и сократим дробь:

$\frac{2(1 + \cos\alpha)}{\sin\alpha(1 + \cos\alpha)} = \frac{2}{\sin\alpha}$.

Левая часть равна правой. Тождество доказано.

Ответ: Тождество доказано.

6) $\frac{\sin\alpha}{1 - \cos\alpha} = \frac{1 + \cos\alpha}{\sin\alpha};$

Для доказательства умножим числитель и знаменатель левой части на выражение, сопряженное знаменателю, то есть на $(1 + \cos\alpha)$:

$\frac{\sin\alpha}{1 - \cos\alpha} = \frac{\sin\alpha(1 + \cos\alpha)}{(1 - \cos\alpha)(1 + \cos\alpha)}$.

В знаменателе получилась разность квадратов:

$\frac{\sin\alpha(1 + \cos\alpha)}{1 - \cos^2\alpha}$.

Используя основное тождество $1 - \cos^2\alpha = \sin^2\alpha$, получим:

$\frac{\sin\alpha(1 + \cos\alpha)}{\sin^2\alpha}$.

Сократим дробь на $\sin\alpha$ (при условии $\sin\alpha \neq 0$):

$\frac{1 + \cos\alpha}{\sin\alpha}$.

Левая часть равна правой. Тождество доказано.

Ответ: Тождество доказано.

7) $\frac{1}{1 + \tg^2\alpha} + \frac{1}{1 + \ctg^2\alpha} = 1;$

Используем известные тригонометрические тождества: $1 + \tg^2\alpha = \frac{1}{\cos^2\alpha}$ и $1 + \ctg^2\alpha = \frac{1}{\sin^2\alpha}$.

Подставим эти выражения в левую часть равенства:

$\frac{1}{\frac{1}{\cos^2\alpha}} + \frac{1}{\frac{1}{\sin^2\alpha}} = \cos^2\alpha + \sin^2\alpha$.

Согласно основному тригонометрическому тождеству, $\cos^2\alpha + \sin^2\alpha = 1$.

Таким образом, левая часть равна 1, что совпадает с правой частью. Тождество доказано.

Ответ: Тождество доказано.

8) $\tg^2\alpha - \sin^2\alpha = \tg^2\alpha \sin^2\alpha.$

Преобразуем левую часть. Выразим тангенс через синус и косинус: $\tg^2\alpha = \frac{\sin^2\alpha}{\cos^2\alpha}$.

$\frac{\sin^2\alpha}{\cos^2\alpha} - \sin^2\alpha$.

Вынесем общий множитель $\sin^2\alpha$ за скобки:

$\sin^2\alpha \left( \frac{1}{\cos^2\alpha} - 1 \right)$.

Приведем выражение в скобках к общему знаменателю:

$\sin^2\alpha \left( \frac{1 - \cos^2\alpha}{\cos^2\alpha} \right)$.

Используя основное тождество $1 - \cos^2\alpha = \sin^2\alpha$, заменим числитель в скобках:

$\sin^2\alpha \left( \frac{\sin^2\alpha}{\cos^2\alpha} \right)$.

Поскольку $\frac{\sin^2\alpha}{\cos^2\alpha} = \tg^2\alpha$, получаем:

$\sin^2\alpha \cdot \tg^2\alpha$.

Переставив множители, получим $\tg^2\alpha \sin^2\alpha$, что равно правой части. Тождество доказано.

Ответ: Тождество доказано.

Помогло решение? Оставьте отзыв в комментариях ниже.

Присоединяйтесь к Телеграм-группе @top_gdz

Присоединиться

Мы подготовили для вас ответ c подробным объяснением домашего задания по алгебре за 10-11 класс, для упражнения номер 470 расположенного на странице 141 к учебнику 2014 года издания для учащихся школ и гимназий.

Теперь на нашем сайте ГДЗ.ТОП вы всегда легко и бесплатно найдёте условие с правильным ответом на вопрос «Как решить ДЗ» и «Как сделать» задание по алгебре к упражнению №470 (с. 141), авторов: Алимов (Шавкат Арифджанович), Колягин (Юрий Михайлович), Ткачева (Мария Владимировна), Федорова (Надежда Евгеньевна), Шабунин (Михаил Иванович), ФГОС (старый) базовый и углублённый уровень обучения учебного пособия издательства Просвещение.