Номер 475, страница 143 - гдз по алгебре 10-11 класс учебник Алимов, Колягин

Алгебра, 10-11 класс Учебник, авторы: Алимов Шавкат Арифджанович, Колягин Юрий Михайлович, Ткачева Мария Владимировна, Федорова Надежда Евгеньевна, Шабунин Михаил Иванович, издательство Просвещение, Москва, 2014

Авторы: Алимов Ш. А., Колягин Ю. М., Ткачева М. В., Федорова Н. Е., Шабунин М. И.

Тип: Учебник

Издательство: Просвещение

Год издания: 2014 - 2025

Уровень обучения: базовый и углублённый

Цвет обложки: синий, фиолетовый

ISBN: 978-5-09-112136-0

Допущено Министерством просвещения Российской Федерации

Математика: алгебра и начала математического анализа, геометрия

Популярные ГДЗ в 10 классе

Глава 5. Тригонометрические формулы. Параграф 27. Синус, косинус и тангенс углов α и -α - номер 475, страница 143.

№475 (с. 143)
Условие. №475 (с. 143)
скриншот условия
Алгебра, 10-11 класс Учебник, авторы: Алимов Шавкат Арифджанович, Колягин Юрий Михайлович, Ткачева Мария Владимировна, Федорова Надежда Евгеньевна, Шабунин Михаил Иванович, издательство Просвещение, Москва, 2014, страница 143, номер 475, Условие

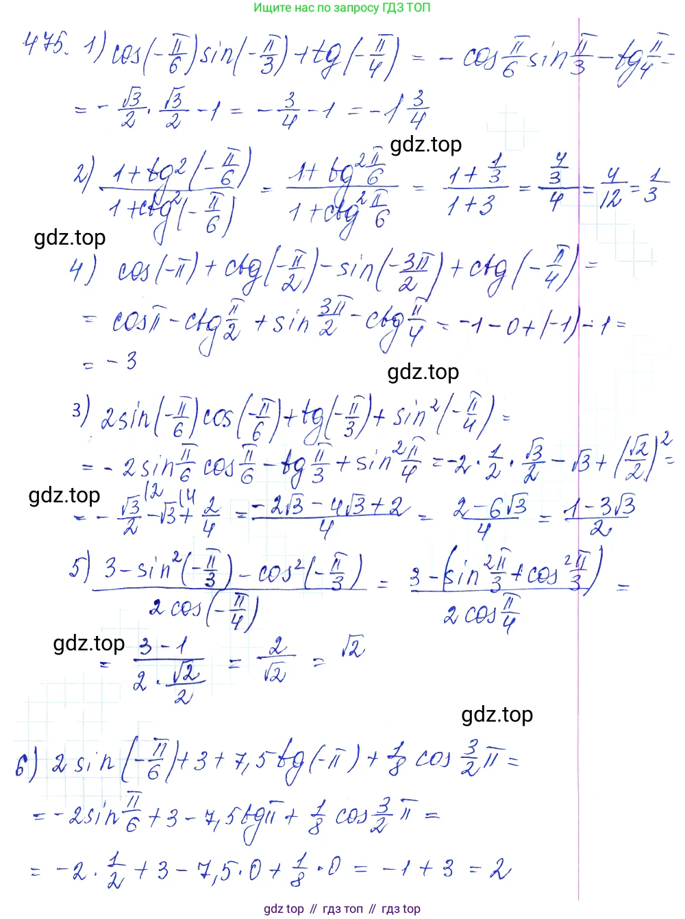
475 Вычислить:

1) $ \cos \left(-\frac{\pi}{6}\right) \sin \left(-\frac{\pi}{3}\right) + \operatorname{tg} \left(-\frac{\pi}{4}\right) $;

2) $ \frac{1 + \operatorname{tg}^2 \left(-\frac{\pi}{6}\right)}{1 + \operatorname{ctg}^2 \left(-\frac{\pi}{6}\right)} $;

3) $ 2 \sin \left(-\frac{\pi}{6}\right) \cos \left(-\frac{\pi}{6}\right) + \operatorname{tg} \left(-\frac{\pi}{3}\right) + \sin^2 \left(-\frac{\pi}{4}\right) $;

4) $ \cos (-\pi) + \operatorname{ctg} \left(-\frac{\pi}{2}\right) - \sin \left(-\frac{3}{2} \pi\right) + \operatorname{ctg} \left(-\frac{\pi}{4}\right) $;

5) $ \frac{3 - \sin^2 \left(-\frac{\pi}{3}\right) - \cos^2 \left(-\frac{\pi}{3}\right)}{2 \cos \left(-\frac{\pi}{4}\right)} $;

6) $ 2 \sin \left(-\frac{\pi}{6}\right) + 3 + 7,5 \operatorname{tg} (-\pi) + \frac{1}{8} \cos \frac{3}{2} \pi $.

Решение 1. №475 (с. 143)
Алгебра, 10-11 класс Учебник, авторы: Алимов Шавкат Арифджанович, Колягин Юрий Михайлович, Ткачева Мария Владимировна, Федорова Надежда Евгеньевна, Шабунин Михаил Иванович, издательство Просвещение, Москва, 2014, страница 143, номер 475, Решение 1
Алгебра, 10-11 класс Учебник, авторы: Алимов Шавкат Арифджанович, Колягин Юрий Михайлович, Ткачева Мария Владимировна, Федорова Надежда Евгеньевна, Шабунин Михаил Иванович, издательство Просвещение, Москва, 2014, страница 143, номер 475, Решение 1 (продолжение 2)
Алгебра, 10-11 класс Учебник, авторы: Алимов Шавкат Арифджанович, Колягин Юрий Михайлович, Ткачева Мария Владимировна, Федорова Надежда Евгеньевна, Шабунин Михаил Иванович, издательство Просвещение, Москва, 2014, страница 143, номер 475, Решение 1 (продолжение 3)
Алгебра, 10-11 класс Учебник, авторы: Алимов Шавкат Арифджанович, Колягин Юрий Михайлович, Ткачева Мария Владимировна, Федорова Надежда Евгеньевна, Шабунин Михаил Иванович, издательство Просвещение, Москва, 2014, страница 143, номер 475, Решение 1 (продолжение 4)
Алгебра, 10-11 класс Учебник, авторы: Алимов Шавкат Арифджанович, Колягин Юрий Михайлович, Ткачева Мария Владимировна, Федорова Надежда Евгеньевна, Шабунин Михаил Иванович, издательство Просвещение, Москва, 2014, страница 143, номер 475, Решение 1 (продолжение 5) Алгебра, 10-11 класс Учебник, авторы: Алимов Шавкат Арифджанович, Колягин Юрий Михайлович, Ткачева Мария Владимировна, Федорова Надежда Евгеньевна, Шабунин Михаил Иванович, издательство Просвещение, Москва, 2014, страница 143, номер 475, Решение 1 (продолжение 6)
Решение 2. №475 (с. 143)
Алгебра, 10-11 класс Учебник, авторы: Алимов Шавкат Арифджанович, Колягин Юрий Михайлович, Ткачева Мария Владимировна, Федорова Надежда Евгеньевна, Шабунин Михаил Иванович, издательство Просвещение, Москва, 2014, страница 143, номер 475, Решение 2
Алгебра, 10-11 класс Учебник, авторы: Алимов Шавкат Арифджанович, Колягин Юрий Михайлович, Ткачева Мария Владимировна, Федорова Надежда Евгеньевна, Шабунин Михаил Иванович, издательство Просвещение, Москва, 2014, страница 143, номер 475, Решение 2 (продолжение 2)
Решение 4. №475 (с. 143)
Алгебра, 10-11 класс Учебник, авторы: Алимов Шавкат Арифджанович, Колягин Юрий Михайлович, Ткачева Мария Владимировна, Федорова Надежда Евгеньевна, Шабунин Михаил Иванович, издательство Просвещение, Москва, 2014, страница 143, номер 475, Решение 4
Решение 5. №475 (с. 143)
Алгебра, 10-11 класс Учебник, авторы: Алимов Шавкат Арифджанович, Колягин Юрий Михайлович, Ткачева Мария Владимировна, Федорова Надежда Евгеньевна, Шабунин Михаил Иванович, издательство Просвещение, Москва, 2014, страница 143, номер 475, Решение 5
Решение 6. №475 (с. 143)
Алгебра, 10-11 класс Учебник, авторы: Алимов Шавкат Арифджанович, Колягин Юрий Михайлович, Ткачева Мария Владимировна, Федорова Надежда Евгеньевна, Шабунин Михаил Иванович, издательство Просвещение, Москва, 2014, страница 143, номер 475, Решение 6
Решение 7. №475 (с. 143)
Алгебра, 10-11 класс Учебник, авторы: Алимов Шавкат Арифджанович, Колягин Юрий Михайлович, Ткачева Мария Владимировна, Федорова Надежда Евгеньевна, Шабунин Михаил Иванович, издательство Просвещение, Москва, 2014, страница 143, номер 475, Решение 7 Алгебра, 10-11 класс Учебник, авторы: Алимов Шавкат Арифджанович, Колягин Юрий Михайлович, Ткачева Мария Владимировна, Федорова Надежда Евгеньевна, Шабунин Михаил Иванович, издательство Просвещение, Москва, 2014, страница 143, номер 475, Решение 7 (продолжение 2)
Решение 8. №475 (с. 143)

1) Для вычисления выражения $\cos(-\frac{\pi}{6})\sin(-\frac{\pi}{3}) + \tg(-\frac{\pi}{4})$ воспользуемся свойствами четности и нечетности тригонометрических функций: $\cos(-x) = \cos(x)$ (четная функция), $\sin(-x) = -\sin(x)$ и $\tg(-x) = -\tg(x)$ (нечетные функции).
Применяя эти свойства, преобразуем выражение:
$\cos(-\frac{\pi}{6})\sin(-\frac{\pi}{3}) + \tg(-\frac{\pi}{4}) = \cos(\frac{\pi}{6}) \cdot (-\sin(\frac{\pi}{3})) - \tg(\frac{\pi}{4})$.
Подставим табличные значения тригонометрических функций для стандартных углов:
$\cos(\frac{\pi}{6}) = \frac{\sqrt{3}}{2}$, $\sin(\frac{\pi}{3}) = \frac{\sqrt{3}}{2}$, $\tg(\frac{\pi}{4}) = 1$.
Выполним вычисления:
$\frac{\sqrt{3}}{2} \cdot (-\frac{\sqrt{3}}{2}) - 1 = -\frac{(\sqrt{3})^2}{4} - 1 = -\frac{3}{4} - 1 = -\frac{3}{4} - \frac{4}{4} = -\frac{7}{4}$.
Ответ: $-\frac{7}{4}$.

2) Рассмотрим выражение $\frac{1 + \tg^2(-\frac{\pi}{6})}{1 + \ctg^2(-\frac{\pi}{6})}$.
Так как тангенс и котангенс возводятся в квадрат, знак аргумента не влияет на результат: $\tg^2(-x) = (\tg(-x))^2 = (-\tg(x))^2 = \tg^2(x)$, и аналогично $\ctg^2(-x) = \ctg^2(x)$.
Выражение принимает вид: $\frac{1 + \tg^2(\frac{\pi}{6})}{1 + \ctg^2(\frac{\pi}{6})}$.
Подставим табличные значения: $\tg(\frac{\pi}{6}) = \frac{1}{\sqrt{3}}$ и $\ctg(\frac{\pi}{6}) = \sqrt{3}$.
$\frac{1 + (\frac{1}{\sqrt{3}})^2}{1 + (\sqrt{3})^2} = \frac{1 + \frac{1}{3}}{1 + 3} = \frac{\frac{4}{3}}{4} = \frac{4}{3 \cdot 4} = \frac{1}{3}$.
Другой способ решения — использовать тождества $1+\tg^2(\alpha) = \frac{1}{\cos^2(\alpha)}$ и $1+\ctg^2(\alpha) = \frac{1}{\sin^2(\alpha)}$.
$\frac{1/\cos^2(-\frac{\pi}{6})}{1/\sin^2(-\frac{\pi}{6})} = \frac{\sin^2(-\frac{\pi}{6})}{\cos^2(-\frac{\pi}{6})} = \tg^2(-\frac{\pi}{6}) = (-\frac{1}{\sqrt{3}})^2 = \frac{1}{3}$.
Ответ: $\frac{1}{3}$.

3) Вычислим $2 \sin(-\frac{\pi}{6}) \cos(-\frac{\pi}{6}) + \tg(-\frac{\pi}{3}) + \sin^2(-\frac{\pi}{4})$.
Используем свойства четности и нечетности: $\sin(-\frac{\pi}{6}) = -\sin(\frac{\pi}{6})$, $\cos(-\frac{\pi}{6}) = \cos(\frac{\pi}{6})$, $\tg(-\frac{\pi}{3}) = -\tg(\frac{\pi}{3})$, $\sin^2(-\frac{\pi}{4}) = \sin^2(\frac{\pi}{4})$.
Выражение преобразуется к виду: $2(-\sin(\frac{\pi}{6}))\cos(\frac{\pi}{6}) - \tg(\frac{\pi}{3}) + \sin^2(\frac{\pi}{4})$.
Воспользуемся формулой синуса двойного угла $2\sin(x)\cos(x) = \sin(2x)$:
$-2\sin(\frac{\pi}{6})\cos(\frac{\pi}{6}) = -\sin(2 \cdot \frac{\pi}{6}) = -\sin(\frac{\pi}{3})$.
Получаем: $-\sin(\frac{\pi}{3}) - \tg(\frac{\pi}{3}) + \sin^2(\frac{\pi}{4})$.
Подставляем табличные значения: $\sin(\frac{\pi}{3}) = \frac{\sqrt{3}}{2}$, $\tg(\frac{\pi}{3}) = \sqrt{3}$, $\sin(\frac{\pi}{4}) = \frac{\sqrt{2}}{2}$.
$-\frac{\sqrt{3}}{2} - \sqrt{3} + (\frac{\sqrt{2}}{2})^2 = -\frac{\sqrt{3}}{2} - \frac{2\sqrt{3}}{2} + \frac{2}{4} = \frac{-3\sqrt{3}}{2} + \frac{1}{2} = \frac{1-3\sqrt{3}}{2}$.
Ответ: $\frac{1-3\sqrt{3}}{2}$.

4) Вычислим $\cos(-\pi) + \ctg(-\frac{\pi}{2}) - \sin(-\frac{3\pi}{2}) + \ctg(-\frac{\pi}{4})$.
Применим свойства четности и нечетности функций:
$\cos(\pi) - \ctg(\frac{\pi}{2}) - (-\sin(\frac{3\pi}{2})) - \ctg(\frac{\pi}{4}) = \cos(\pi) - \ctg(\frac{\pi}{2}) + \sin(\frac{3\pi}{2}) - \ctg(\frac{\pi}{4})$.
Подставим значения функций для данных углов:
$\cos(\pi) = -1$, $\ctg(\frac{\pi}{2}) = 0$, $\sin(\frac{3\pi}{2}) = -1$, $\ctg(\frac{\pi}{4}) = 1$.
Выполним вычисления:
$-1 - 0 + (-1) - 1 = -1 - 1 - 1 = -3$.
Ответ: $-3$.

5) Рассмотрим выражение $\frac{3 - \sin^2(-\frac{\pi}{3}) - \cos^2(-\frac{\pi}{3})}{2 \cos(-\frac{\pi}{4})}$.
Учитывая, что $\sin^2(-x) = \sin^2(x)$ и $\cos^2(-x) = \cos^2(x)$, а также $\cos(-x)=\cos(x)$, преобразуем выражение:
$\frac{3 - \sin^2(\frac{\pi}{3}) - \cos^2(\frac{\pi}{3})}{2 \cos(\frac{\pi}{4})}$.
В числителе вынесем минус за скобки: $3 - (\sin^2(\frac{\pi}{3}) + \cos^2(\frac{\pi}{3}))$.
Используем основное тригонометрическое тождество $\sin^2(\alpha) + \cos^2(\alpha) = 1$:
Числитель равен $3 - 1 = 2$.
Знаменатель равен $2 \cos(\frac{\pi}{4}) = 2 \cdot \frac{\sqrt{2}}{2} = \sqrt{2}$.
Тогда все выражение равно $\frac{2}{\sqrt{2}} = \frac{2\sqrt{2}}{2} = \sqrt{2}$.
Ответ: $\sqrt{2}$.

6) Вычислим $2 \sin(-\frac{\pi}{6}) + 3 + 7.5 \tg(-\pi) + \frac{1}{8} \cos(\frac{3\pi}{2})$.
Используем свойства нечетности синуса и тангенса:
$2(-\sin(\frac{\pi}{6})) + 3 + 7.5(-\tg(\pi)) + \frac{1}{8}\cos(\frac{3\pi}{2}) = -2\sin(\frac{\pi}{6}) + 3 - 7.5\tg(\pi) + \frac{1}{8}\cos(\frac{3\pi}{2})$.
Подставим табличные значения:
$\sin(\frac{\pi}{6}) = \frac{1}{2}$, $\tg(\pi) = 0$, $\cos(\frac{3\pi}{2}) = 0$.
Получаем:
$-2 \cdot \frac{1}{2} + 3 - 7.5 \cdot 0 + \frac{1}{8} \cdot 0 = -1 + 3 - 0 + 0 = 2$.
Ответ: $2$.

Помогло решение? Оставьте отзыв в комментариях ниже.

Присоединяйтесь к Телеграм-группе @top_gdz

Присоединиться

Мы подготовили для вас ответ c подробным объяснением домашего задания по алгебре за 10-11 класс, для упражнения номер 475 расположенного на странице 143 к учебнику 2014 года издания для учащихся школ и гимназий.

Теперь на нашем сайте ГДЗ.ТОП вы всегда легко и бесплатно найдёте условие с правильным ответом на вопрос «Как решить ДЗ» и «Как сделать» задание по алгебре к упражнению №475 (с. 143), авторов: Алимов (Шавкат Арифджанович), Колягин (Юрий Михайлович), Ткачева (Мария Владимировна), Федорова (Надежда Евгеньевна), Шабунин (Михаил Иванович), ФГОС (старый) базовый и углублённый уровень обучения учебного пособия издательства Просвещение.