Номер 484, страница 146 - гдз по алгебре 10-11 класс учебник Алимов, Колягин

Алгебра, 10-11 класс Учебник, авторы: Алимов Шавкат Арифджанович, Колягин Юрий Михайлович, Ткачева Мария Владимировна, Федорова Надежда Евгеньевна, Шабунин Михаил Иванович, издательство Просвещение, Москва, 2014

Авторы: Алимов Ш. А., Колягин Ю. М., Ткачева М. В., Федорова Н. Е., Шабунин М. И.

Тип: Учебник

Издательство: Просвещение

Год издания: 2014 - 2025

Уровень обучения: базовый и углублённый

Цвет обложки: синий, фиолетовый

ISBN: 978-5-09-112136-0

Допущено Министерством просвещения Российской Федерации

Математика: алгебра и начала математического анализа, геометрия

Популярные ГДЗ в 10 классе

Глава 5. Тригонометрические формулы. Параграф 28. Формулы сложения - номер 484, страница 146.

№484 (с. 146)
Условие. №484 (с. 146)
скриншот условия
Алгебра, 10-11 класс Учебник, авторы: Алимов Шавкат Арифджанович, Колягин Юрий Михайлович, Ткачева Мария Владимировна, Федорова Надежда Евгеньевна, Шабунин Михаил Иванович, издательство Просвещение, Москва, 2014, страница 146, номер 484, Условие
Алгебра, 10-11 класс Учебник, авторы: Алимов Шавкат Арифджанович, Колягин Юрий Михайлович, Ткачева Мария Владимировна, Федорова Надежда Евгеньевна, Шабунин Михаил Иванович, издательство Просвещение, Москва, 2014, страница 146, номер 484, Условие (продолжение 2)

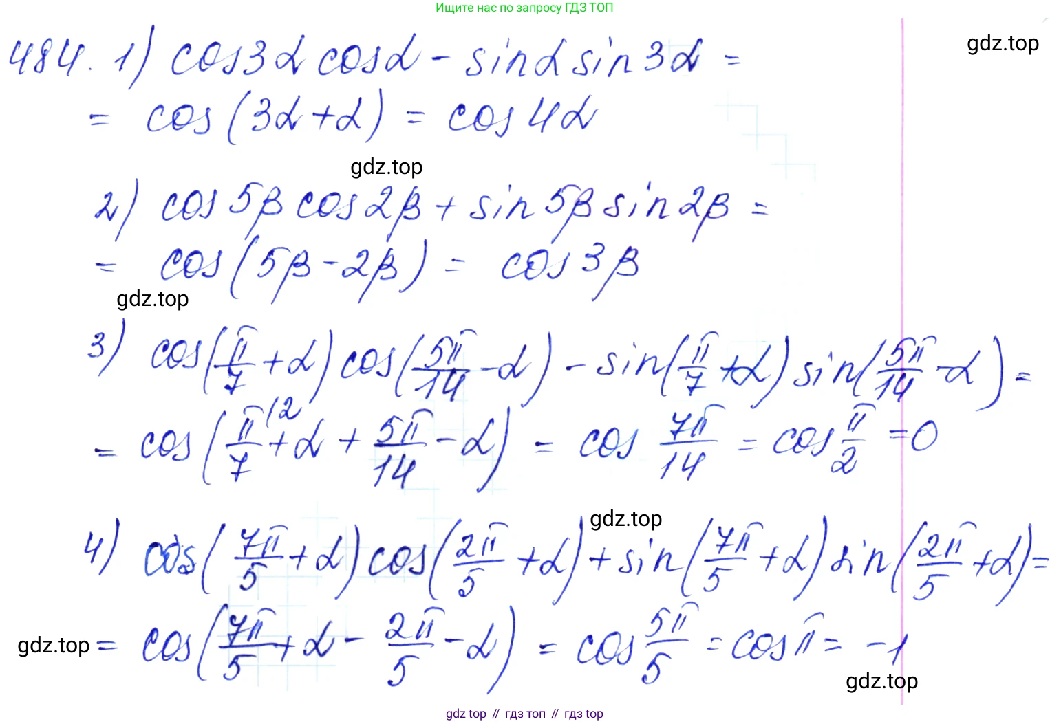
484 Упростить выражение:

1) $ \cos 3\alpha \cos \alpha - \sin \alpha \sin 3\alpha $;

2) $ \cos 5\beta \cos 2\beta + \sin 5\beta \sin 2\beta $;

3) $ \cos \left(\frac{\pi}{7} + \alpha\right) \cos \left(\frac{5\pi}{14} - \alpha\right) - \sin \left(\frac{\pi}{7} + \alpha\right) \sin \left(\frac{5\pi}{14} - \alpha\right) $;

4) $ \cos \left(\frac{7\pi}{5} + \alpha\right) \cos \left(\frac{2\pi}{5} + \alpha\right) + \sin \left(\frac{7\pi}{5} + \alpha\right) \sin \left(\frac{2\pi}{5} + \alpha\right) $.

Решение 1. №484 (с. 146)
Алгебра, 10-11 класс Учебник, авторы: Алимов Шавкат Арифджанович, Колягин Юрий Михайлович, Ткачева Мария Владимировна, Федорова Надежда Евгеньевна, Шабунин Михаил Иванович, издательство Просвещение, Москва, 2014, страница 146, номер 484, Решение 1
Алгебра, 10-11 класс Учебник, авторы: Алимов Шавкат Арифджанович, Колягин Юрий Михайлович, Ткачева Мария Владимировна, Федорова Надежда Евгеньевна, Шабунин Михаил Иванович, издательство Просвещение, Москва, 2014, страница 146, номер 484, Решение 1 (продолжение 2)
Алгебра, 10-11 класс Учебник, авторы: Алимов Шавкат Арифджанович, Колягин Юрий Михайлович, Ткачева Мария Владимировна, Федорова Надежда Евгеньевна, Шабунин Михаил Иванович, издательство Просвещение, Москва, 2014, страница 146, номер 484, Решение 1 (продолжение 3)
Алгебра, 10-11 класс Учебник, авторы: Алимов Шавкат Арифджанович, Колягин Юрий Михайлович, Ткачева Мария Владимировна, Федорова Надежда Евгеньевна, Шабунин Михаил Иванович, издательство Просвещение, Москва, 2014, страница 146, номер 484, Решение 1 (продолжение 4)
Решение 2. №484 (с. 146)
Алгебра, 10-11 класс Учебник, авторы: Алимов Шавкат Арифджанович, Колягин Юрий Михайлович, Ткачева Мария Владимировна, Федорова Надежда Евгеньевна, Шабунин Михаил Иванович, издательство Просвещение, Москва, 2014, страница 146, номер 484, Решение 2
Решение 4. №484 (с. 146)
Алгебра, 10-11 класс Учебник, авторы: Алимов Шавкат Арифджанович, Колягин Юрий Михайлович, Ткачева Мария Владимировна, Федорова Надежда Евгеньевна, Шабунин Михаил Иванович, издательство Просвещение, Москва, 2014, страница 146, номер 484, Решение 4
Алгебра, 10-11 класс Учебник, авторы: Алимов Шавкат Арифджанович, Колягин Юрий Михайлович, Ткачева Мария Владимировна, Федорова Надежда Евгеньевна, Шабунин Михаил Иванович, издательство Просвещение, Москва, 2014, страница 146, номер 484, Решение 4 (продолжение 2)
Решение 5. №484 (с. 146)
Алгебра, 10-11 класс Учебник, авторы: Алимов Шавкат Арифджанович, Колягин Юрий Михайлович, Ткачева Мария Владимировна, Федорова Надежда Евгеньевна, Шабунин Михаил Иванович, издательство Просвещение, Москва, 2014, страница 146, номер 484, Решение 5
Алгебра, 10-11 класс Учебник, авторы: Алимов Шавкат Арифджанович, Колягин Юрий Михайлович, Ткачева Мария Владимировна, Федорова Надежда Евгеньевна, Шабунин Михаил Иванович, издательство Просвещение, Москва, 2014, страница 146, номер 484, Решение 5 (продолжение 2)
Решение 6. №484 (с. 146)
Алгебра, 10-11 класс Учебник, авторы: Алимов Шавкат Арифджанович, Колягин Юрий Михайлович, Ткачева Мария Владимировна, Федорова Надежда Евгеньевна, Шабунин Михаил Иванович, издательство Просвещение, Москва, 2014, страница 146, номер 484, Решение 6
Решение 7. №484 (с. 146)
Алгебра, 10-11 класс Учебник, авторы: Алимов Шавкат Арифджанович, Колягин Юрий Михайлович, Ткачева Мария Владимировна, Федорова Надежда Евгеньевна, Шабунин Михаил Иванович, издательство Просвещение, Москва, 2014, страница 146, номер 484, Решение 7
Решение 8. №484 (с. 146)

1) Исходное выражение $\cos 3\alpha \cos \alpha - \sin \alpha \sin 3\alpha$ представляет собой правую часть формулы косинуса суммы двух углов: $\cos(x+y) = \cos x \cos y - \sin x \sin y$.
В данном случае $x = 3\alpha$ и $y = \alpha$.
Применяя формулу, получаем: $\cos 3\alpha \cos \alpha - \sin 3\alpha \sin \alpha = \cos(3\alpha + \alpha) = \cos(4\alpha)$.
Ответ: $\cos(4\alpha)$.

2) Исходное выражение $\cos 5\beta \cos 2\beta + \sin 5\beta \sin 2\beta$ представляет собой правую часть формулы косинуса разности двух углов: $\cos(x-y) = \cos x \cos y + \sin x \sin y$.
В данном случае $x = 5\beta$ и $y = 2\beta$.
Применяя формулу, получаем: $\cos 5\beta \cos 2\beta + \sin 5\beta \sin 2\beta = \cos(5\beta - 2\beta) = \cos(3\beta)$.
Ответ: $\cos(3\beta)$.

3) Выражение $\cos\left(\frac{\pi}{7} + \alpha\right) \cos\left(\frac{5\pi}{14} - \alpha\right) - \sin\left(\frac{\pi}{7} + \alpha\right) \sin\left(\frac{5\pi}{14} - \alpha\right)$ соответствует формуле косинуса суммы $\cos(x+y) = \cos x \cos y - \sin x \sin y$.
Здесь $x = \frac{\pi}{7} + \alpha$ и $y = \frac{5\pi}{14} - \alpha$.
Подставим эти значения в формулу, чтобы найти сумму аргументов: $x+y = \left(\frac{\pi}{7} + \alpha\right) + \left(\frac{5\pi}{14} - \alpha\right) = \frac{\pi}{7} + \frac{5\pi}{14} + \alpha - \alpha$.
Приведем дроби к общему знаменателю 14: $\frac{2\pi}{14} + \frac{5\pi}{14} = \frac{7\pi}{14} = \frac{\pi}{2}$.
Таким образом, исходное выражение равно $\cos\left(\frac{\pi}{2}\right) = 0$.
Ответ: $0$.

4) Выражение $\cos\left(\frac{7\pi}{5} + \alpha\right) \cos\left(\frac{2\pi}{5} + \alpha\right) + \sin\left(\frac{7\pi}{5} + \alpha\right) \sin\left(\frac{2\pi}{5} + \alpha\right)$ соответствует формуле косинуса разности $\cos(x-y) = \cos x \cos y + \sin x \sin y$.
Здесь $x = \frac{7\pi}{5} + \alpha$ и $y = \frac{2\pi}{5} + \alpha$.
Подставим эти значения в формулу, чтобы найти разность аргументов: $x-y = \left(\frac{7\pi}{5} + \alpha\right) - \left(\frac{2\pi}{5} + \alpha\right) = \frac{7\pi}{5} + \alpha - \frac{2\pi}{5} - \alpha$.
Упростим выражение: $\frac{7\pi}{5} - \frac{2\pi}{5} = \frac{5\pi}{5} = \pi$.
Таким образом, исходное выражение равно $\cos(\pi) = -1$.
Ответ: $-1$.

Помогло решение? Оставьте отзыв в комментариях ниже.

Присоединяйтесь к Телеграм-группе @top_gdz

Присоединиться

Мы подготовили для вас ответ c подробным объяснением домашего задания по алгебре за 10-11 класс, для упражнения номер 484 расположенного на странице 146 к учебнику 2014 года издания для учащихся школ и гимназий.

Теперь на нашем сайте ГДЗ.ТОП вы всегда легко и бесплатно найдёте условие с правильным ответом на вопрос «Как решить ДЗ» и «Как сделать» задание по алгебре к упражнению №484 (с. 146), авторов: Алимов (Шавкат Арифджанович), Колягин (Юрий Михайлович), Ткачева (Мария Владимировна), Федорова (Надежда Евгеньевна), Шабунин (Михаил Иванович), ФГОС (старый) базовый и углублённый уровень обучения учебного пособия издательства Просвещение.