Номер 490, страница 147 - гдз по алгебре 10-11 класс учебник Алимов, Колягин

Авторы: Алимов Ш. А., Колягин Ю. М., Ткачева М. В., Федорова Н. Е., Шабунин М. И.
Тип: Учебник
Издательство: Просвещение
Год издания: 2014 - 2025
Уровень обучения: базовый и углублённый
Цвет обложки: синий, фиолетовый
ISBN: 978-5-09-112136-0
Допущено Министерством просвещения Российской Федерации
Математика: алгебра и начала математического анализа, геометрия
Популярные ГДЗ в 10 классе
§ 28. Формулы сложения. Глава 5. Тригонометрические формулы - номер 490, страница 147.
№490 (с. 147)
Условие. №490 (с. 147)
скриншот условия

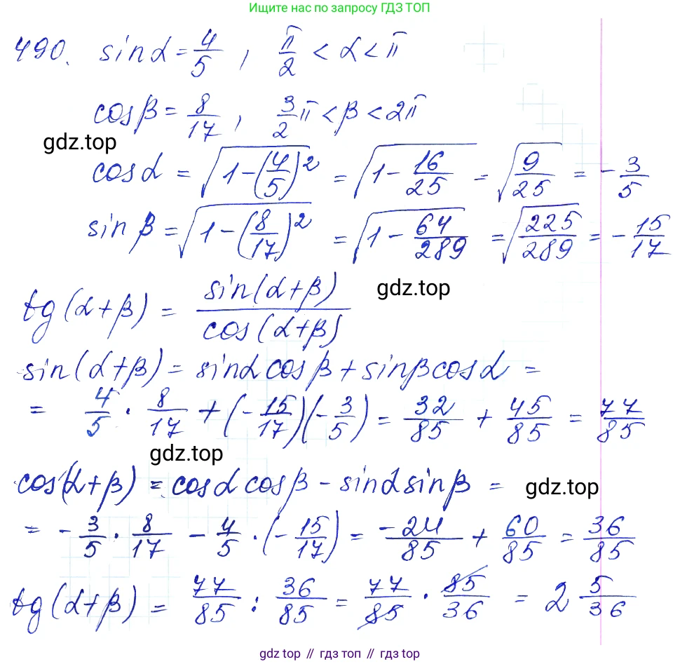
490 Вычислить $tg (\alpha + \beta)$, если $sin \alpha = \frac{4}{5}$, $\frac{\pi}{2} < \alpha < \pi$, и $cos \beta = \frac{8}{17}$,
$\frac{3}{2} \pi < \beta < 2\pi$.
Решение 1. №490 (с. 147)

Решение 2. №490 (с. 147)

Решение 4. №490 (с. 147)

Решение 5. №490 (с. 147)

Решение 6. №490 (с. 147)

Решение 7. №490 (с. 147)

Решение 8. №490 (с. 147)
Для вычисления $tg(\alpha + \beta)$ воспользуемся формулой тангенса суммы:
$tg(\alpha + \beta) = \frac{tg\,\alpha + tg\,\beta}{1 - tg\,\alpha \cdot tg\,\beta}$
Чтобы использовать эту формулу, необходимо сначала найти значения $tg\,\alpha$ и $tg\,\beta$, исходя из данных задачи.
1. Нахождение $tg\,\alpha$
По условию $sin\,\alpha = \frac{4}{5}$ и угол $\alpha$ находится в интервале $\frac{\pi}{2} < \alpha < \pi$, что соответствует II координатной четверти. В этой четверти косинус отрицателен.
Найдем $cos\,\alpha$ с помощью основного тригонометрического тождества $sin^2\alpha + cos^2\alpha = 1$:
$cos^2\alpha = 1 - sin^2\alpha = 1 - (\frac{4}{5})^2 = 1 - \frac{16}{25} = \frac{25 - 16}{25} = \frac{9}{25}$
Так как $cos\,\alpha < 0$, выбираем отрицательное значение корня:
$cos\,\alpha = -\sqrt{\frac{9}{25}} = -\frac{3}{5}$
Теперь можно вычислить $tg\,\alpha$:
$tg\,\alpha = \frac{sin\,\alpha}{cos\,\alpha} = \frac{4/5}{-3/5} = -\frac{4}{3}$
2. Нахождение $tg\,\beta$
По условию $cos\,\beta = \frac{8}{17}$ и угол $\beta$ находится в интервале $\frac{3\pi}{2} < \beta < 2\pi$, что соответствует IV координатной четверти. В этой четверти синус отрицателен.
Найдем $sin\,\beta$ из основного тригонометрического тождества $sin^2\beta + cos^2\beta = 1$:
$sin^2\beta = 1 - cos^2\beta = 1 - (\frac{8}{17})^2 = 1 - \frac{64}{289} = \frac{289 - 64}{289} = \frac{225}{289}$
Так как $sin\,\beta < 0$, выбираем отрицательное значение корня:
$sin\,\beta = -\sqrt{\frac{225}{289}} = -\frac{15}{17}$
Теперь можно вычислить $tg\,\beta$:
$tg\,\beta = \frac{sin\,\beta}{cos\,\beta} = \frac{-15/17}{8/17} = -\frac{15}{8}$
3. Вычисление $tg(\alpha + \beta)$
Подставим найденные значения $tg\,\alpha = -\frac{4}{3}$ и $tg\,\beta = -\frac{15}{8}$ в формулу тангенса суммы:
$tg(\alpha + \beta) = \frac{-\frac{4}{3} + (-\frac{15}{8})}{1 - (-\frac{4}{3}) \cdot (-\frac{15}{8})} = \frac{-\frac{4}{3} - \frac{15}{8}}{1 - \frac{4 \cdot 15}{3 \cdot 8}}$
Вычислим числитель, приведя дроби к общему знаменателю 24:
$-\frac{4}{3} - \frac{15}{8} = -\frac{4 \cdot 8}{24} - \frac{15 \cdot 3}{24} = \frac{-32 - 45}{24} = -\frac{77}{24}$
Вычислим знаменатель:
$1 - \frac{60}{24} = 1 - \frac{5}{2} = \frac{2}{2} - \frac{5}{2} = -\frac{3}{2}$
Теперь разделим числитель на знаменатель:
$tg(\alpha + \beta) = \frac{-77/24}{-3/2} = \frac{77}{24} \cdot \frac{2}{3} = \frac{77 \cdot 2}{24 \cdot 3} = \frac{77}{12 \cdot 3} = \frac{77}{36}$
Ответ: $\frac{77}{36}$
Другие задания:
Помогло решение? Оставьте отзыв в комментариях ниже.
Мы подготовили для вас ответ c подробным объяснением домашего задания по алгебре за 10-11 класс, для упражнения номер 490 расположенного на странице 147 к учебнику 2014 года издания для учащихся школ и гимназий.
Теперь на нашем сайте ГДЗ.ТОП вы всегда легко и бесплатно найдёте условие с правильным ответом на вопрос «Как решить ДЗ» и «Как сделать» задание по алгебре к упражнению №490 (с. 147), авторов: Алимов (Шавкат Арифджанович), Колягин (Юрий Михайлович), Ткачева (Мария Владимировна), Федорова (Надежда Евгеньевна), Шабунин (Михаил Иванович), ФГОС (старый) базовый и углублённый уровень обучения учебного пособия издательства Просвещение.