Номер 498, страница 150 - гдз по алгебре 10-11 класс учебник Алимов, Колягин

Алгебра, 10-11 класс Учебник, авторы: Алимов Шавкат Арифджанович, Колягин Юрий Михайлович, Ткачева Мария Владимировна, Федорова Надежда Евгеньевна, Шабунин Михаил Иванович, издательство Просвещение, Москва, 2014

Авторы: Алимов Ш. А., Колягин Ю. М., Ткачева М. В., Федорова Н. Е., Шабунин М. И.

Тип: Учебник

Издательство: Просвещение

Год издания: 2014 - 2025

Уровень обучения: базовый и углублённый

Цвет обложки: синий, фиолетовый

ISBN: 978-5-09-112136-0

Допущено Министерством просвещения Российской Федерации

Математика: алгебра и начала математического анализа, геометрия

Популярные ГДЗ в 10 классе

Глава 5. Тригонометрические формулы. Параграф 29. Синус, косинус и тангенс двойного угла - номер 498, страница 150.

№498 (с. 150)
Условие. №498 (с. 150)
скриншот условия
Алгебра, 10-11 класс Учебник, авторы: Алимов Шавкат Арифджанович, Колягин Юрий Михайлович, Ткачева Мария Владимировна, Федорова Надежда Евгеньевна, Шабунин Михаил Иванович, издательство Просвещение, Москва, 2014, страница 150, номер 498, Условие

Выразить синус, косинус или тангенс, используя формулы двойного угла (498—499).

498 1) $\sin 48^\circ$; 2) $\cos 164^\circ$; 3) $\operatorname{tg} 92^\circ$; 4) $\sin \frac{4\pi}{3}$; 5) $\cos \frac{5\pi}{3}$.

Решение 1. №498 (с. 150)
Алгебра, 10-11 класс Учебник, авторы: Алимов Шавкат Арифджанович, Колягин Юрий Михайлович, Ткачева Мария Владимировна, Федорова Надежда Евгеньевна, Шабунин Михаил Иванович, издательство Просвещение, Москва, 2014, страница 150, номер 498, Решение 1
Алгебра, 10-11 класс Учебник, авторы: Алимов Шавкат Арифджанович, Колягин Юрий Михайлович, Ткачева Мария Владимировна, Федорова Надежда Евгеньевна, Шабунин Михаил Иванович, издательство Просвещение, Москва, 2014, страница 150, номер 498, Решение 1 (продолжение 2)
Алгебра, 10-11 класс Учебник, авторы: Алимов Шавкат Арифджанович, Колягин Юрий Михайлович, Ткачева Мария Владимировна, Федорова Надежда Евгеньевна, Шабунин Михаил Иванович, издательство Просвещение, Москва, 2014, страница 150, номер 498, Решение 1 (продолжение 3)
Алгебра, 10-11 класс Учебник, авторы: Алимов Шавкат Арифджанович, Колягин Юрий Михайлович, Ткачева Мария Владимировна, Федорова Надежда Евгеньевна, Шабунин Михаил Иванович, издательство Просвещение, Москва, 2014, страница 150, номер 498, Решение 1 (продолжение 4)
Алгебра, 10-11 класс Учебник, авторы: Алимов Шавкат Арифджанович, Колягин Юрий Михайлович, Ткачева Мария Владимировна, Федорова Надежда Евгеньевна, Шабунин Михаил Иванович, издательство Просвещение, Москва, 2014, страница 150, номер 498, Решение 1 (продолжение 5)
Решение 2. №498 (с. 150)
Алгебра, 10-11 класс Учебник, авторы: Алимов Шавкат Арифджанович, Колягин Юрий Михайлович, Ткачева Мария Владимировна, Федорова Надежда Евгеньевна, Шабунин Михаил Иванович, издательство Просвещение, Москва, 2014, страница 150, номер 498, Решение 2
Алгебра, 10-11 класс Учебник, авторы: Алимов Шавкат Арифджанович, Колягин Юрий Михайлович, Ткачева Мария Владимировна, Федорова Надежда Евгеньевна, Шабунин Михаил Иванович, издательство Просвещение, Москва, 2014, страница 150, номер 498, Решение 2 (продолжение 2)
Решение 4. №498 (с. 150)
Алгебра, 10-11 класс Учебник, авторы: Алимов Шавкат Арифджанович, Колягин Юрий Михайлович, Ткачева Мария Владимировна, Федорова Надежда Евгеньевна, Шабунин Михаил Иванович, издательство Просвещение, Москва, 2014, страница 150, номер 498, Решение 4
Решение 5. №498 (с. 150)
Алгебра, 10-11 класс Учебник, авторы: Алимов Шавкат Арифджанович, Колягин Юрий Михайлович, Ткачева Мария Владимировна, Федорова Надежда Евгеньевна, Шабунин Михаил Иванович, издательство Просвещение, Москва, 2014, страница 150, номер 498, Решение 5
Решение 6. №498 (с. 150)
Алгебра, 10-11 класс Учебник, авторы: Алимов Шавкат Арифджанович, Колягин Юрий Михайлович, Ткачева Мария Владимировна, Федорова Надежда Евгеньевна, Шабунин Михаил Иванович, издательство Просвещение, Москва, 2014, страница 150, номер 498, Решение 6
Решение 7. №498 (с. 150)
Алгебра, 10-11 класс Учебник, авторы: Алимов Шавкат Арифджанович, Колягин Юрий Михайлович, Ткачева Мария Владимировна, Федорова Надежда Евгеньевна, Шабунин Михаил Иванович, издательство Просвещение, Москва, 2014, страница 150, номер 498, Решение 7
Решение 8. №498 (с. 150)

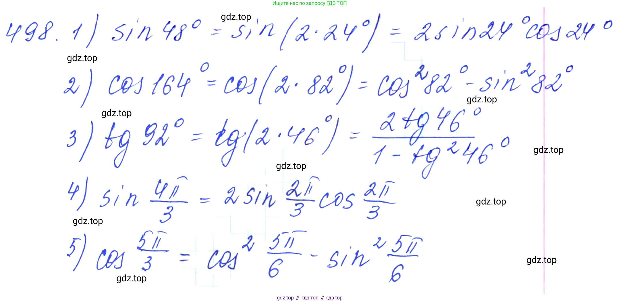
1) Представим угол $48^\circ$ в виде двойного угла: $48^\circ = 2 \cdot 24^\circ$. Применим формулу синуса двойного угла $\sin(2\alpha) = 2\sin\alpha\cos\alpha$. Для $\alpha = 24^\circ$ получаем:
$\sin 48^\circ = \sin(2 \cdot 24^\circ) = 2\sin 24^\circ \cos 24^\circ$.
Ответ: $2\sin 24^\circ \cos 24^\circ$.

2) Представим угол $164^\circ$ в виде двойного угла: $164^\circ = 2 \cdot 82^\circ$. Применим формулу косинуса двойного угла. Эта формула имеет три эквивалентных вида:
$\cos(2\alpha) = \cos^2\alpha - \sin^2\alpha$
$\cos(2\alpha) = 2\cos^2\alpha - 1$
$\cos(2\alpha) = 1 - 2\sin^2\alpha$
Для $\alpha = 82^\circ$ получаем: $\cos 164^\circ = \cos^2 82^\circ - \sin^2 82^\circ$, или $\cos 164^\circ = 2\cos^2 82^\circ - 1$, или $\cos 164^\circ = 1 - 2\sin^2 82^\circ$. Любое из этих выражений является верным решением.
Ответ: $\cos^2 82^\circ - \sin^2 82^\circ$ (или $2\cos^2 82^\circ - 1$, или $1 - 2\sin^2 82^\circ$).

3) Представим угол $92^\circ$ в виде двойного угла: $92^\circ = 2 \cdot 46^\circ$. Применим формулу тангенса двойного угла $\tan(2\alpha) = \frac{2\tan\alpha}{1 - \tan^2\alpha}$. Для $\alpha = 46^\circ$ получаем:
$\tan 92^\circ = \tan(2 \cdot 46^\circ) = \frac{2\tan 46^\circ}{1 - \tan^2 46^\circ}$.
Ответ: $\frac{2\tan 46^\circ}{1 - \tan^2 46^\circ}$.

4) Представим угол $\frac{4\pi}{3}$ в виде двойного угла: $\frac{4\pi}{3} = 2 \cdot \frac{2\pi}{3}$. Применим формулу синуса двойного угла $\sin(2\alpha) = 2\sin\alpha\cos\alpha$. Для $\alpha = \frac{2\pi}{3}$ получаем:
$\sin\frac{4\pi}{3} = \sin(2 \cdot \frac{2\pi}{3}) = 2\sin\frac{2\pi}{3}\cos\frac{2\pi}{3}$.
Ответ: $2\sin\frac{2\pi}{3}\cos\frac{2\pi}{3}$.

5) Представим угол $\frac{5\pi}{3}$ в виде двойного угла: $\frac{5\pi}{3} = 2 \cdot \frac{5\pi}{6}$. Применим одну из формул косинуса двойного угла. Для $\alpha = \frac{5\pi}{6}$ можно использовать любую из трех форм:
$\cos\frac{5\pi}{3} = \cos^2\frac{5\pi}{6} - \sin^2\frac{5\pi}{6}$
$\cos\frac{5\pi}{3} = 2\cos^2\frac{5\pi}{6} - 1$
$\cos\frac{5\pi}{3} = 1 - 2\sin^2\frac{5\pi}{6}$
Все три выражения являются верным решением.
Ответ: $\cos^2\frac{5\pi}{6} - \sin^2\frac{5\pi}{6}$ (или $2\cos^2\frac{5\pi}{6} - 1$, или $1 - 2\sin^2\frac{5\pi}{6}$).

Помогло решение? Оставьте отзыв в комментариях ниже.

Присоединяйтесь к Телеграм-группе @top_gdz

Присоединиться

Мы подготовили для вас ответ c подробным объяснением домашего задания по алгебре за 10-11 класс, для упражнения номер 498 расположенного на странице 150 к учебнику 2014 года издания для учащихся школ и гимназий.

Теперь на нашем сайте ГДЗ.ТОП вы всегда легко и бесплатно найдёте условие с правильным ответом на вопрос «Как решить ДЗ» и «Как сделать» задание по алгебре к упражнению №498 (с. 150), авторов: Алимов (Шавкат Арифджанович), Колягин (Юрий Михайлович), Ткачева (Мария Владимировна), Федорова (Надежда Евгеньевна), Шабунин (Михаил Иванович), ФГОС (старый) базовый и углублённый уровень обучения учебного пособия издательства Просвещение.