Номер 610, страница 183 - гдз по алгебре 10-11 класс учебник Алимов, Колягин

Алгебра, 10-11 класс Учебник, авторы: Алимов Шавкат Арифджанович, Колягин Юрий Михайлович, Ткачева Мария Владимировна, Федорова Надежда Евгеньевна, Шабунин Михаил Иванович, издательство Просвещение, Москва, 2014

Авторы: Алимов Ш. А., Колягин Ю. М., Ткачева М. В., Федорова Н. Е., Шабунин М. И.

Тип: Учебник

Издательство: Просвещение

Год издания: 2014 - 2025

Уровень обучения: базовый и углублённый

Цвет обложки: синий, фиолетовый

ISBN: 978-5-09-112136-0

Допущено Министерством просвещения Российской Федерации

Математика: алгебра и начала математического анализа, геометрия

Популярные ГДЗ в 10 классе

Глава 6. Тригонометрические уравнения. Параграф 35. Уравнение tgx=a - номер 610, страница 183.

№610 (с. 183)
Условие. №610 (с. 183)
скриншот условия
Алгебра, 10-11 класс Учебник, авторы: Алимов Шавкат Арифджанович, Колягин Юрий Михайлович, Ткачева Мария Владимировна, Федорова Надежда Евгеньевна, Шабунин Михаил Иванович, издательство Просвещение, Москва, 2014, страница 183, номер 610, Условие

Решить уравнение (610—612).

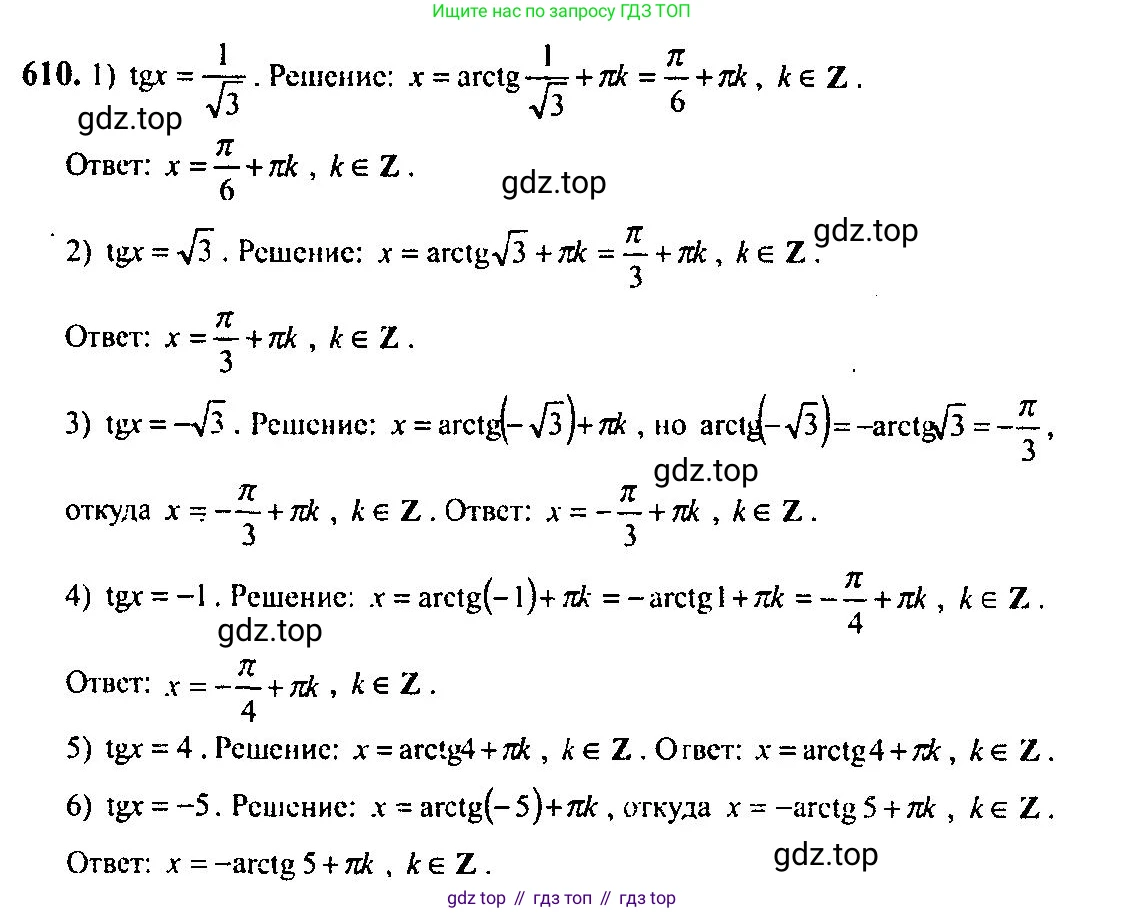
610 1) $tg x = \frac{1}{\sqrt{3}}$; 2) $tg x = \sqrt{3}$; 3) $tg x = -\sqrt{3}$;

4) $tg x = -1$; 5) $tg x = 4$; 6) $tg x = -5$.

Решение 1. №610 (с. 183)
Алгебра, 10-11 класс Учебник, авторы: Алимов Шавкат Арифджанович, Колягин Юрий Михайлович, Ткачева Мария Владимировна, Федорова Надежда Евгеньевна, Шабунин Михаил Иванович, издательство Просвещение, Москва, 2014, страница 183, номер 610, Решение 1
Алгебра, 10-11 класс Учебник, авторы: Алимов Шавкат Арифджанович, Колягин Юрий Михайлович, Ткачева Мария Владимировна, Федорова Надежда Евгеньевна, Шабунин Михаил Иванович, издательство Просвещение, Москва, 2014, страница 183, номер 610, Решение 1 (продолжение 2)
Алгебра, 10-11 класс Учебник, авторы: Алимов Шавкат Арифджанович, Колягин Юрий Михайлович, Ткачева Мария Владимировна, Федорова Надежда Евгеньевна, Шабунин Михаил Иванович, издательство Просвещение, Москва, 2014, страница 183, номер 610, Решение 1 (продолжение 3)
Алгебра, 10-11 класс Учебник, авторы: Алимов Шавкат Арифджанович, Колягин Юрий Михайлович, Ткачева Мария Владимировна, Федорова Надежда Евгеньевна, Шабунин Михаил Иванович, издательство Просвещение, Москва, 2014, страница 183, номер 610, Решение 1 (продолжение 4)
Алгебра, 10-11 класс Учебник, авторы: Алимов Шавкат Арифджанович, Колягин Юрий Михайлович, Ткачева Мария Владимировна, Федорова Надежда Евгеньевна, Шабунин Михаил Иванович, издательство Просвещение, Москва, 2014, страница 183, номер 610, Решение 1 (продолжение 5) Алгебра, 10-11 класс Учебник, авторы: Алимов Шавкат Арифджанович, Колягин Юрий Михайлович, Ткачева Мария Владимировна, Федорова Надежда Евгеньевна, Шабунин Михаил Иванович, издательство Просвещение, Москва, 2014, страница 183, номер 610, Решение 1 (продолжение 6)
Решение 2. №610 (с. 183)
Алгебра, 10-11 класс Учебник, авторы: Алимов Шавкат Арифджанович, Колягин Юрий Михайлович, Ткачева Мария Владимировна, Федорова Надежда Евгеньевна, Шабунин Михаил Иванович, издательство Просвещение, Москва, 2014, страница 183, номер 610, Решение 2
Алгебра, 10-11 класс Учебник, авторы: Алимов Шавкат Арифджанович, Колягин Юрий Михайлович, Ткачева Мария Владимировна, Федорова Надежда Евгеньевна, Шабунин Михаил Иванович, издательство Просвещение, Москва, 2014, страница 183, номер 610, Решение 2 (продолжение 2)
Решение 4. №610 (с. 183)
Алгебра, 10-11 класс Учебник, авторы: Алимов Шавкат Арифджанович, Колягин Юрий Михайлович, Ткачева Мария Владимировна, Федорова Надежда Евгеньевна, Шабунин Михаил Иванович, издательство Просвещение, Москва, 2014, страница 183, номер 610, Решение 4
Алгебра, 10-11 класс Учебник, авторы: Алимов Шавкат Арифджанович, Колягин Юрий Михайлович, Ткачева Мария Владимировна, Федорова Надежда Евгеньевна, Шабунин Михаил Иванович, издательство Просвещение, Москва, 2014, страница 183, номер 610, Решение 4 (продолжение 2)
Решение 5. №610 (с. 183)
Алгебра, 10-11 класс Учебник, авторы: Алимов Шавкат Арифджанович, Колягин Юрий Михайлович, Ткачева Мария Владимировна, Федорова Надежда Евгеньевна, Шабунин Михаил Иванович, издательство Просвещение, Москва, 2014, страница 183, номер 610, Решение 5
Решение 7. №610 (с. 183)
Алгебра, 10-11 класс Учебник, авторы: Алимов Шавкат Арифджанович, Колягин Юрий Михайлович, Ткачева Мария Владимировна, Федорова Надежда Евгеньевна, Шабунин Михаил Иванович, издательство Просвещение, Москва, 2014, страница 183, номер 610, Решение 7
Решение 8. №610 (с. 183)

1) Решим уравнение $\text{tg } x = \frac{1}{\sqrt{3}}$.
Общее решение тригонометрического уравнения вида $\text{tg } x = a$ определяется формулой $x = \text{arctg}(a) + \pi n$, где $n \in \mathbb{Z}$.
В данном случае $a = \frac{1}{\sqrt{3}}$. Значение $\text{arctg}\left(\frac{1}{\sqrt{3}}\right)$ является табличным и равно $\frac{\pi}{6}$.
Подставим это значение в общую формулу:
$x = \frac{\pi}{6} + \pi n, n \in \mathbb{Z}$.

Ответ: $x = \frac{\pi}{6} + \pi n, n \in \mathbb{Z}$.

2) Решим уравнение $\text{tg } x = \sqrt{3}$.
Используем общую формулу для решения уравнений с тангенсом: $x = \text{arctg}(a) + \pi n$, где $n \in \mathbb{Z}$.
Здесь $a = \sqrt{3}$. Табличное значение $\text{arctg}(\sqrt{3})$ равно $\frac{\pi}{3}$.
Следовательно, решение уравнения:
$x = \frac{\pi}{3} + \pi n, n \in \mathbb{Z}$.

Ответ: $x = \frac{\pi}{3} + \pi n, n \in \mathbb{Z}$.

3) Решим уравнение $\text{tg } x = -\sqrt{3}$.
Решение находим по формуле $x = \text{arctg}(a) + \pi n$, где $n \in \mathbb{Z}$.
В этом случае $a = -\sqrt{3}$. Воспользуемся свойством нечетности функции арктангенс: $\text{arctg}(-a) = -\text{arctg}(a)$.
Таким образом, $\text{arctg}(-\sqrt{3}) = -\text{arctg}(\sqrt{3})$.
Так как из предыдущего пункта мы знаем, что $\text{arctg}(\sqrt{3}) = \frac{\pi}{3}$, то $\text{arctg}(-\sqrt{3}) = -\frac{\pi}{3}$.
Подставляя в формулу, получаем:
$x = -\frac{\pi}{3} + \pi n, n \in \mathbb{Z}$.

Ответ: $x = -\frac{\pi}{3} + \pi n, n \in \mathbb{Z}$.

4) Решим уравнение $\text{tg } x = -1$.
Общее решение: $x = \text{arctg}(-1) + \pi n$, где $n \in \mathbb{Z}$.
Используем свойство нечетности арктангенса: $\text{arctg}(-1) = -\text{arctg}(1)$.
Табличное значение $\text{arctg}(1) = \frac{\pi}{4}$.
Значит, $\text{arctg}(-1) = -\frac{\pi}{4}$.
Решение уравнения:
$x = -\frac{\pi}{4} + \pi n, n \in \mathbb{Z}$.

Ответ: $x = -\frac{\pi}{4} + \pi n, n \in \mathbb{Z}$.

5) Решим уравнение $\text{tg } x = 4$.
Применяем общую формулу решения $x = \text{arctg}(a) + \pi n$, где $n \in \mathbb{Z}$.
Здесь $a = 4$. Это значение не является табличным для тангенса, поэтому решение записывается через арктангенс.
$x = \text{arctg}(4) + \pi n, n \in \mathbb{Z}$.

Ответ: $x = \text{arctg}(4) + \pi n, n \in \mathbb{Z}$.

6) Решим уравнение $\text{tg } x = -5$.
Решение находим по формуле $x = \text{arctg}(a) + \pi n$, где $n \in \mathbb{Z}$.
В данном случае $a = -5$. Это нетабличное значение, поэтому решение выражается через арктангенс.
$x = \text{arctg}(-5) + \pi n, n \in \mathbb{Z}$.
Используя свойство нечетности арктангенса, ответ также можно записать в виде $x = -\text{arctg}(5) + \pi n, n \in \mathbb{Z}$. Оба варианта записи являются верными.

Ответ: $x = \text{arctg}(-5) + \pi n, n \in \mathbb{Z}$.

Помогло решение? Оставьте отзыв в комментариях ниже.

Присоединяйтесь к Телеграм-группе @top_gdz

Присоединиться

Мы подготовили для вас ответ c подробным объяснением домашего задания по алгебре за 10-11 класс, для упражнения номер 610 расположенного на странице 183 к учебнику 2014 года издания для учащихся школ и гимназий.

Теперь на нашем сайте ГДЗ.ТОП вы всегда легко и бесплатно найдёте условие с правильным ответом на вопрос «Как решить ДЗ» и «Как сделать» задание по алгебре к упражнению №610 (с. 183), авторов: Алимов (Шавкат Арифджанович), Колягин (Юрий Михайлович), Ткачева (Мария Владимировна), Федорова (Надежда Евгеньевна), Шабунин (Михаил Иванович), ФГОС (старый) базовый и углублённый уровень обучения учебного пособия издательства Просвещение.