Номер 612, страница 183 - гдз по алгебре 10-11 класс учебник Алимов, Колягин

Алгебра, 10-11 класс Учебник, авторы: Алимов Шавкат Арифджанович, Колягин Юрий Михайлович, Ткачева Мария Владимировна, Федорова Надежда Евгеньевна, Шабунин Михаил Иванович, издательство Просвещение, Москва, 2014

Авторы: Алимов Ш. А., Колягин Ю. М., Ткачева М. В., Федорова Н. Е., Шабунин М. И.

Тип: Учебник

Издательство: Просвещение

Год издания: 2014 - 2025

Уровень обучения: базовый и углублённый

Цвет обложки: синий, фиолетовый

ISBN: 978-5-09-112136-0

Допущено Министерством просвещения Российской Федерации

Математика: алгебра и начала математического анализа, геометрия

Популярные ГДЗ в 10 классе

Глава 6. Тригонометрические уравнения. Параграф 35. Уравнение tgx=a - номер 612, страница 183.

№612 (с. 183)
Условие. №612 (с. 183)
скриншот условия
Алгебра, 10-11 класс Учебник, авторы: Алимов Шавкат Арифджанович, Колягин Юрий Михайлович, Ткачева Мария Владимировна, Федорова Надежда Евгеньевна, Шабунин Михаил Иванович, издательство Просвещение, Москва, 2014, страница 183, номер 612, Условие

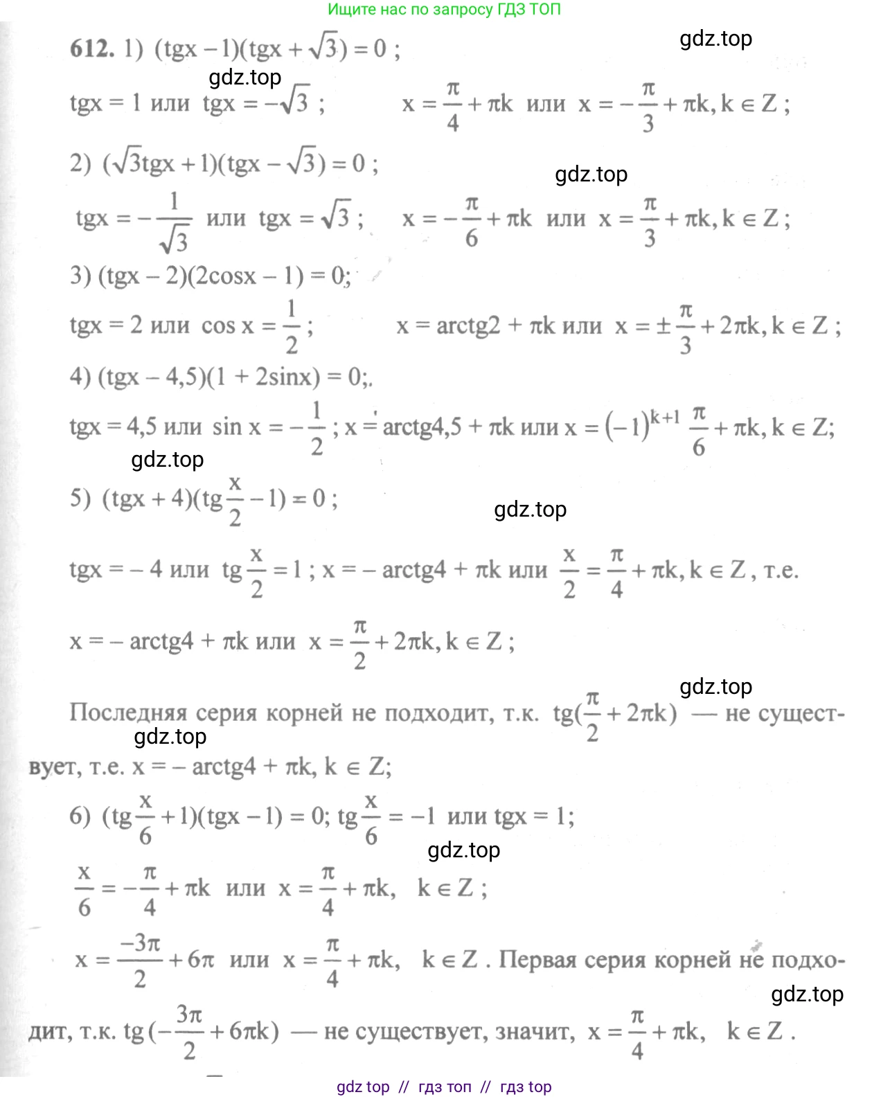
612 1) $\left( \text{tg} x - 1 \right) \left( \text{tg} x + \sqrt{3} \right) = 0;$

2) $\left( \sqrt{3} \text{tg} x + 1 \right) \left( \text{tg} x - \sqrt{3} \right) = 0;$

3) $\left( \text{tg} x - 2 \right) \left( 2 \cos x - 1 \right) = 0;$

4) $\left( \text{tg} x - 4,5 \right) \left( 1 + 2 \sin x \right) = 0;$

5) $\left( \text{tg} x + 4 \right) \left( \text{tg} \frac{x}{2} - 1 \right) = 0;$

6) $\left( \text{tg} \frac{x}{6} + 1 \right) \left( \text{tg} x - 1 \right) = 0.$

Решение 1. №612 (с. 183)
Алгебра, 10-11 класс Учебник, авторы: Алимов Шавкат Арифджанович, Колягин Юрий Михайлович, Ткачева Мария Владимировна, Федорова Надежда Евгеньевна, Шабунин Михаил Иванович, издательство Просвещение, Москва, 2014, страница 183, номер 612, Решение 1
Алгебра, 10-11 класс Учебник, авторы: Алимов Шавкат Арифджанович, Колягин Юрий Михайлович, Ткачева Мария Владимировна, Федорова Надежда Евгеньевна, Шабунин Михаил Иванович, издательство Просвещение, Москва, 2014, страница 183, номер 612, Решение 1 (продолжение 2)
Алгебра, 10-11 класс Учебник, авторы: Алимов Шавкат Арифджанович, Колягин Юрий Михайлович, Ткачева Мария Владимировна, Федорова Надежда Евгеньевна, Шабунин Михаил Иванович, издательство Просвещение, Москва, 2014, страница 183, номер 612, Решение 1 (продолжение 3)
Алгебра, 10-11 класс Учебник, авторы: Алимов Шавкат Арифджанович, Колягин Юрий Михайлович, Ткачева Мария Владимировна, Федорова Надежда Евгеньевна, Шабунин Михаил Иванович, издательство Просвещение, Москва, 2014, страница 183, номер 612, Решение 1 (продолжение 4)
Алгебра, 10-11 класс Учебник, авторы: Алимов Шавкат Арифджанович, Колягин Юрий Михайлович, Ткачева Мария Владимировна, Федорова Надежда Евгеньевна, Шабунин Михаил Иванович, издательство Просвещение, Москва, 2014, страница 183, номер 612, Решение 1 (продолжение 5) Алгебра, 10-11 класс Учебник, авторы: Алимов Шавкат Арифджанович, Колягин Юрий Михайлович, Ткачева Мария Владимировна, Федорова Надежда Евгеньевна, Шабунин Михаил Иванович, издательство Просвещение, Москва, 2014, страница 183, номер 612, Решение 1 (продолжение 6)
Решение 2. №612 (с. 183)
Алгебра, 10-11 класс Учебник, авторы: Алимов Шавкат Арифджанович, Колягин Юрий Михайлович, Ткачева Мария Владимировна, Федорова Надежда Евгеньевна, Шабунин Михаил Иванович, издательство Просвещение, Москва, 2014, страница 183, номер 612, Решение 2
Алгебра, 10-11 класс Учебник, авторы: Алимов Шавкат Арифджанович, Колягин Юрий Михайлович, Ткачева Мария Владимировна, Федорова Надежда Евгеньевна, Шабунин Михаил Иванович, издательство Просвещение, Москва, 2014, страница 183, номер 612, Решение 2 (продолжение 2)
Решение 5. №612 (с. 183)
Алгебра, 10-11 класс Учебник, авторы: Алимов Шавкат Арифджанович, Колягин Юрий Михайлович, Ткачева Мария Владимировна, Федорова Надежда Евгеньевна, Шабунин Михаил Иванович, издательство Просвещение, Москва, 2014, страница 183, номер 612, Решение 5
Алгебра, 10-11 класс Учебник, авторы: Алимов Шавкат Арифджанович, Колягин Юрий Михайлович, Ткачева Мария Владимировна, Федорова Надежда Евгеньевна, Шабунин Михаил Иванович, издательство Просвещение, Москва, 2014, страница 183, номер 612, Решение 5 (продолжение 2)
Решение 7. №612 (с. 183)
Алгебра, 10-11 класс Учебник, авторы: Алимов Шавкат Арифджанович, Колягин Юрий Михайлович, Ткачева Мария Владимировна, Федорова Надежда Евгеньевна, Шабунин Михаил Иванович, издательство Просвещение, Москва, 2014, страница 183, номер 612, Решение 7
Алгебра, 10-11 класс Учебник, авторы: Алимов Шавкат Арифджанович, Колягин Юрий Михайлович, Ткачева Мария Владимировна, Федорова Надежда Евгеньевна, Шабунин Михаил Иванович, издательство Просвещение, Москва, 2014, страница 183, номер 612, Решение 7 (продолжение 2) Алгебра, 10-11 класс Учебник, авторы: Алимов Шавкат Арифджанович, Колягин Юрий Михайлович, Ткачева Мария Владимировна, Федорова Надежда Евгеньевна, Шабунин Михаил Иванович, издательство Просвещение, Москва, 2014, страница 183, номер 612, Решение 7 (продолжение 3)
Решение 8. №612 (с. 183)

1) $(\tg x - 1)(\tg x + \sqrt{3}) = 0$

Произведение равно нулю, когда хотя бы один из множителей равен нулю, а другие при этом имеют смысл. Область допустимых значений (ОДЗ) для данного уравнения определяется условием существования тангенса: $\cos x \ne 0$, то есть $x \ne \frac{\pi}{2} + \pi k$, где $k \in \mathbb{Z}$.

Рассмотрим два случая:

а) $\tg x - 1 = 0$
$\tg x = 1$
$x = \arctan(1) + \pi n$
$x = \frac{\pi}{4} + \pi n$, $n \in \mathbb{Z}$.
Эти значения удовлетворяют ОДЗ.

б) $\tg x + \sqrt{3} = 0$
$\tg x = -\sqrt{3}$
$x = \arctan(-\sqrt{3}) + \pi m$
$x = -\frac{\pi}{3} + \pi m$, $m \in \mathbb{Z}$.
Эти значения также удовлетворяют ОДЗ.

Объединяя решения, получаем два семейства корней.

Ответ: $x = \frac{\pi}{4} + \pi n$, $x = -\frac{\pi}{3} + \pi m$, где $n, m \in \mathbb{Z}$.

2) $(\sqrt{3} \tg x + 1)(\tg x - \sqrt{3}) = 0$

ОДЗ: $\cos x \ne 0$, то есть $x \ne \frac{\pi}{2} + \pi k$, $k \in \mathbb{Z}$.

Уравнение распадается на два:

а) $\sqrt{3} \tg x + 1 = 0$
$\tg x = -\frac{1}{\sqrt{3}}$
$x = \arctan(-\frac{1}{\sqrt{3}}) + \pi n$
$x = -\frac{\pi}{6} + \pi n$, $n \in \mathbb{Z}$.
Решение удовлетворяет ОДЗ.

б) $\tg x - \sqrt{3} = 0$
$\tg x = \sqrt{3}$
$x = \arctan(\sqrt{3}) + \pi m$
$x = \frac{\pi}{3} + \pi m$, $m \in \mathbb{Z}$.
Решение удовлетворяет ОДЗ.

Ответ: $x = -\frac{\pi}{6} + \pi n$, $x = \frac{\pi}{3} + \pi m$, где $n, m \in \mathbb{Z}$.

3) $(\tg x - 2)(2 \cos x - 1) = 0$

ОДЗ: $\cos x \ne 0$, то есть $x \ne \frac{\pi}{2} + \pi k$, $k \in \mathbb{Z}$.

Рассмотрим два случая:

а) $\tg x - 2 = 0$
$\tg x = 2$
$x = \arctan(2) + \pi n$, $n \in \mathbb{Z}$.
При этих значениях $x$, $\cos x \ne 0$, так как тангенс определен. Следовательно, решение входит в ОДЗ.

б) $2 \cos x - 1 = 0$
$\cos x = \frac{1}{2}$
$x = \pm\arccos(\frac{1}{2}) + 2\pi m$
$x = \pm\frac{\pi}{3} + 2\pi m$, $m \in \mathbb{Z}$.
При этих значениях $x$, $\cos x = \frac{1}{2} \ne 0$, так что $\tg x$ существует. Следовательно, эти корни также подходят.

Ответ: $x = \arctan(2) + \pi n$, $x = \pm\frac{\pi}{3} + 2\pi m$, где $n, m \in \mathbb{Z}$.

4) $(\tg x - 4,5)(1 + 2 \sin x) = 0$

ОДЗ: $\cos x \ne 0$, то есть $x \ne \frac{\pi}{2} + \pi k$, $k \in \mathbb{Z}$.

Уравнение эквивалентно совокупности двух уравнений:

а) $\tg x - 4,5 = 0$
$\tg x = 4,5$
$x = \arctan(4,5) + \pi n$, $n \in \mathbb{Z}$.
Это решение удовлетворяет ОДЗ.

б) $1 + 2 \sin x = 0$
$\sin x = -\frac{1}{2}$
$x = (-1)^{m+1} \arcsin(\frac{1}{2}) + \pi m$
$x = (-1)^{m+1} \frac{\pi}{6} + \pi m$, $m \in \mathbb{Z}$.
Проверим, входят ли эти корни в ОДЗ. Если $\sin x = -\frac{1}{2}$, то $\cos^2 x = 1 - \sin^2 x = 1 - (-\frac{1}{2})^2 = 1 - \frac{1}{4} = \frac{3}{4}$. Отсюда $\cos x = \pm\frac{\sqrt{3}}{2}$, что не равно нулю. Значит, эти корни удовлетворяют ОДЗ.

Ответ: $x = \arctan(4,5) + \pi n$, $x = (-1)^{m+1} \frac{\pi}{6} + \pi m$, где $n, m \in \mathbb{Z}$.

5) $(\tg x + 4)(\tg \frac{x}{2} - 1) = 0$

ОДЗ определяется условиями существования обоих тангенсов:
1. $\cos x \ne 0 \implies x \ne \frac{\pi}{2} + \pi k$, $k \in \mathbb{Z}$.
2. $\cos \frac{x}{2} \ne 0 \implies \frac{x}{2} \ne \frac{\pi}{2} + \pi m \implies x \ne \pi + 2\pi m$, $m \in \mathbb{Z}$.

Рассмотрим два случая:

а) $\tg x + 4 = 0$
$\tg x = -4$
$x = \arctan(-4) + \pi n = -\arctan(4) + \pi n$, $n \in \mathbb{Z}$.
Проверим это решение на соответствие ОДЗ. Условие $\cos x \ne 0$ выполняется по определению арктангенса. Проверим второе условие: $x \ne \pi + 2\pi m$. Если бы $x = \pi + 2\pi m$ для некоторого $m$, то $\tg x = \tg(\pi + 2\pi m) = \tg(\pi) = 0$. Но у нас $\tg x = -4 \ne 0$. Значит, эти корни удовлетворяют ОДЗ.

б) $\tg \frac{x}{2} - 1 = 0$
$\tg \frac{x}{2} = 1$
$\frac{x}{2} = \frac{\pi}{4} + \pi m$
$x = \frac{\pi}{2} + 2\pi m$, $m \in \mathbb{Z}$.
Проверим эти корни на соответствие ОДЗ. Для этих значений $x$, $\cos x = \cos(\frac{\pi}{2} + 2\pi m) = \cos(\frac{\pi}{2}) = 0$. Это противоречит первому условию ОДЗ ($\cos x \ne 0$). Следовательно, эта серия корней является посторонней.

Таким образом, единственным решением является первая серия корней.

Ответ: $x = -\arctan(4) + \pi n$, $n \in \mathbb{Z}$.

6) $(\tg \frac{x}{6} + 1)(\tg x - 1) = 0$

ОДЗ определяется условиями существования обоих тангенсов:
1. $\cos \frac{x}{6} \ne 0 \implies \frac{x}{6} \ne \frac{\pi}{2} + \pi k \implies x \ne 3\pi + 6\pi k$, $k \in \mathbb{Z}$.
2. $\cos x \ne 0 \implies x \ne \frac{\pi}{2} + \pi m$, $m \in \mathbb{Z}$.

Рассмотрим два случая:

а) $\tg \frac{x}{6} + 1 = 0$
$\tg \frac{x}{6} = -1$
$\frac{x}{6} = -\frac{\pi}{4} + \pi n$
$x = -\frac{3\pi}{2} + 6\pi n$, $n \in \mathbb{Z}$.
Проверим эти корни на соответствие ОДЗ. Для этих значений $x$, $\cos x = \cos(-\frac{3\pi}{2} + 6\pi n) = \cos(-\frac{3\pi}{2}) = 0$. Это противоречит второму условию ОДЗ ($\cos x \ne 0$). Следовательно, эта серия корней является посторонней.

б) $\tg x - 1 = 0$
$\tg x = 1$
$x = \frac{\pi}{4} + \pi m$, $m \in \mathbb{Z}$.
Проверим это решение на соответствие ОДЗ. Условие $\cos x \ne 0$ выполняется. Проверим первое условие: $x \ne 3\pi + 6\pi k$. Если бы $\frac{\pi}{4} + \pi m = 3\pi + 6\pi k$, то $\frac{1}{4} + m = 3 + 6k$, что невозможно, так как слева дробное число, а справа целое. Значит, эти корни удовлетворяют ОДЗ.

Таким образом, единственным решением является вторая серия корней.

Ответ: $x = \frac{\pi}{4} + \pi m$, $m \in \mathbb{Z}$.

Помогло решение? Оставьте отзыв в комментариях ниже.

Присоединяйтесь к Телеграм-группе @top_gdz

Присоединиться

Мы подготовили для вас ответ c подробным объяснением домашего задания по алгебре за 10-11 класс, для упражнения номер 612 расположенного на странице 183 к учебнику 2014 года издания для учащихся школ и гимназий.

Теперь на нашем сайте ГДЗ.ТОП вы всегда легко и бесплатно найдёте условие с правильным ответом на вопрос «Как решить ДЗ» и «Как сделать» задание по алгебре к упражнению №612 (с. 183), авторов: Алимов (Шавкат Арифджанович), Колягин (Юрий Михайлович), Ткачева (Мария Владимировна), Федорова (Надежда Евгеньевна), Шабунин (Михаил Иванович), ФГОС (старый) базовый и углублённый уровень обучения учебного пособия издательства Просвещение.