Номер 626, страница 192 - гдз по алгебре 10-11 класс учебник Алимов, Колягин

Авторы: Алимов Ш. А., Колягин Ю. М., Ткачева М. В., Федорова Н. Е., Шабунин М. И.
Тип: Учебник
Издательство: Просвещение
Год издания: 2014 - 2025
Уровень обучения: базовый и углублённый
Цвет обложки: синий, фиолетовый
ISBN: 978-5-09-112136-0
Допущено Министерством просвещения Российской Федерации
Математика: алгебра и начала математического анализа, геометрия
Популярные ГДЗ в 10 классе
§ 36. Решение тригонометрических уравнений. Глава 6. Тригонометрические уравнения - номер 626, страница 192.
№626 (с. 192)
Условие. №626 (с. 192)
скриншот условия

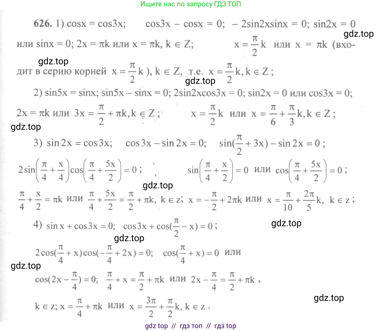
626 1) $ \cos x = \cos 3x; $
2) $ \sin 5x = \sin x; $
3) $ \sin 2x = \cos 3x; $
4) $ \sin x + \cos 3x = 0. $
Решение 1. №626 (с. 192)




Решение 2. №626 (с. 192)


Решение 5. №626 (с. 192)

Решение 7. №626 (с. 192)



Решение 8. №626 (с. 192)
Перенесем все члены уравнения в одну сторону: $ \cos x - \cos 3x = 0 $.
Воспользуемся формулой разности косинусов: $ \cos \alpha - \cos \beta = -2 \sin\frac{\alpha+\beta}{2} \sin\frac{\alpha-\beta}{2} $.
Применив ее, получаем:
$ -2 \sin\frac{x+3x}{2} \sin\frac{x-3x}{2} = 0 $
$ -2 \sin(2x) \sin(-x) = 0 $
Так как $ \sin(-x) = -\sin x $, уравнение принимает вид:
$ 2 \sin(2x) \sin x = 0 $
Произведение равно нулю, когда хотя бы один из множителей равен нулю. Таким образом, получаем совокупность двух уравнений:
1. $ \sin x = 0 $. Решением этого уравнения является $ x = \pi n $, где $ n \in \mathbb{Z} $.
2. $ \sin(2x) = 0 $. Решением этого уравнения является $ 2x = \pi k $, то есть $ x = \frac{\pi k}{2} $, где $ k \in \mathbb{Z} $.
Заметим, что первая серия решений $ x = \pi n $ является подмножеством второй серии $ x = \frac{\pi k}{2} $ (когда $ k $ — четное число, т.е. $ k=2n $). Следовательно, общее решение — это вторая, более общая серия.
Ответ: $ x = \frac{\pi n}{2}, n \in \mathbb{Z} $.
Перенесем все члены уравнения в одну сторону: $ \sin 5x - \sin x = 0 $.
Воспользуемся формулой разности синусов: $ \sin \alpha - \sin \beta = 2 \sin\frac{\alpha-\beta}{2} \cos\frac{\alpha+\beta}{2} $.
Применив ее, получаем:
$ 2 \sin\frac{5x-x}{2} \cos\frac{5x+x}{2} = 0 $
$ 2 \sin(2x) \cos(3x) = 0 $
Произведение равно нулю, когда хотя бы один из множителей равен нулю. Получаем совокупность двух уравнений:
1. $ \sin(2x) = 0 $. Решением является $ 2x = \pi n $, откуда $ x = \frac{\pi n}{2} $, где $ n \in \mathbb{Z} $.
2. $ \cos(3x) = 0 $. Решением является $ 3x = \frac{\pi}{2} + \pi k $, откуда $ x = \frac{\pi}{6} + \frac{\pi k}{3} $, где $ k \in \mathbb{Z} $.
Эти две серии решений являются независимыми.
Ответ: $ x = \frac{\pi n}{2}; x = \frac{\pi}{6} + \frac{\pi k}{3}, n, k \in \mathbb{Z} $.
Исходное уравнение: $ \sin 2x = \cos 3x $.
Используем формулу приведения $ \cos \alpha = \sin(\frac{\pi}{2} - \alpha) $, чтобы привести уравнение к одному наименованию функции:
$ \sin 2x = \sin(\frac{\pi}{2} - 3x) $
Это уравнение вида $ \sin a = \sin b $, общее решение которого записывается в виде совокупности двух серий:
$ a = b + 2\pi n $ или $ a = \pi - b + 2\pi n $, где $ n \in \mathbb{Z} $.
Рассмотрим оба случая:
1. $ 2x = \frac{\pi}{2} - 3x + 2\pi n $
$ 5x = \frac{\pi}{2} + 2\pi n $
$ x = \frac{\pi}{10} + \frac{2\pi n}{5} $
2. $ 2x = \pi - (\frac{\pi}{2} - 3x) + 2\pi k $
$ 2x = \pi - \frac{\pi}{2} + 3x + 2\pi k $
$ 2x = \frac{\pi}{2} + 3x + 2\pi k $
$ -x = \frac{\pi}{2} + 2\pi k $
$ x = -\frac{\pi}{2} - 2\pi k $. Так как $ k $ - любое целое, можно заменить $ -k $ на $ m \in \mathbb{Z} $, тогда $ x = -\frac{\pi}{2} + 2\pi m $.
Ответ: $ x = \frac{\pi}{10} + \frac{2\pi n}{5}; x = -\frac{\pi}{2} + 2\pi m, n, m \in \mathbb{Z} $.
Исходное уравнение: $ \sin x + \cos 3x = 0 $.
Перенесем синус в правую часть: $ \cos 3x = -\sin x $.
Используем формулу приведения $ -\sin x = \cos(\frac{\pi}{2} + x) $. Уравнение принимает вид:
$ \cos 3x = \cos(\frac{\pi}{2} + x) $
Это уравнение вида $ \cos a = \cos b $, общее решение которого $ a = \pm b + 2\pi n $, где $ n \in \mathbb{Z} $.
Рассмотрим оба случая:
1. $ 3x = \frac{\pi}{2} + x + 2\pi n $
$ 2x = \frac{\pi}{2} + 2\pi n $
$ x = \frac{\pi}{4} + \pi n $
2. $ 3x = -(\frac{\pi}{2} + x) + 2\pi k $
$ 3x = -\frac{\pi}{2} - x + 2\pi k $
$ 4x = -\frac{\pi}{2} + 2\pi k $
$ x = -\frac{\pi}{8} + \frac{\pi k}{2} $
Ответ: $ x = \frac{\pi}{4} + \pi n; x = -\frac{\pi}{8} + \frac{\pi k}{2}, n, k \in \mathbb{Z} $.
Другие задания:
Помогло решение? Оставьте отзыв в комментариях ниже.
Мы подготовили для вас ответ c подробным объяснением домашего задания по алгебре за 10-11 класс, для упражнения номер 626 расположенного на странице 192 к учебнику 2014 года издания для учащихся школ и гимназий.
Теперь на нашем сайте ГДЗ.ТОП вы всегда легко и бесплатно найдёте условие с правильным ответом на вопрос «Как решить ДЗ» и «Как сделать» задание по алгебре к упражнению №626 (с. 192), авторов: Алимов (Шавкат Арифджанович), Колягин (Юрий Михайлович), Ткачева (Мария Владимировна), Федорова (Надежда Евгеньевна), Шабунин (Михаил Иванович), ФГОС (старый) базовый и углублённый уровень обучения учебного пособия издательства Просвещение.