Номер 631, страница 192 - гдз по алгебре 10-11 класс учебник Алимов, Колягин

Алгебра, 10-11 класс Учебник, авторы: Алимов Шавкат Арифджанович, Колягин Юрий Михайлович, Ткачева Мария Владимировна, Федорова Надежда Евгеньевна, Шабунин Михаил Иванович, издательство Просвещение, Москва, 2014

Авторы: Алимов Ш. А., Колягин Ю. М., Ткачева М. В., Федорова Н. Е., Шабунин М. И.

Тип: Учебник

Издательство: Просвещение

Год издания: 2014 - 2025

Уровень обучения: базовый и углублённый

Цвет обложки: синий, фиолетовый

ISBN: 978-5-09-112136-0

Допущено Министерством просвещения Российской Федерации

Математика: алгебра и начала математического анализа, геометрия

Популярные ГДЗ в 10 классе

Глава 6. Тригонометрические уравнения. Параграф 36. Решение тригонометрических уравнений - номер 631, страница 192.

№631 (с. 192)
Условие. №631 (с. 192)
скриншот условия
Алгебра, 10-11 класс Учебник, авторы: Алимов Шавкат Арифджанович, Колягин Юрий Михайлович, Ткачева Мария Владимировна, Федорова Надежда Евгеньевна, Шабунин Михаил Иванович, издательство Просвещение, Москва, 2014, страница 192, номер 631, Условие

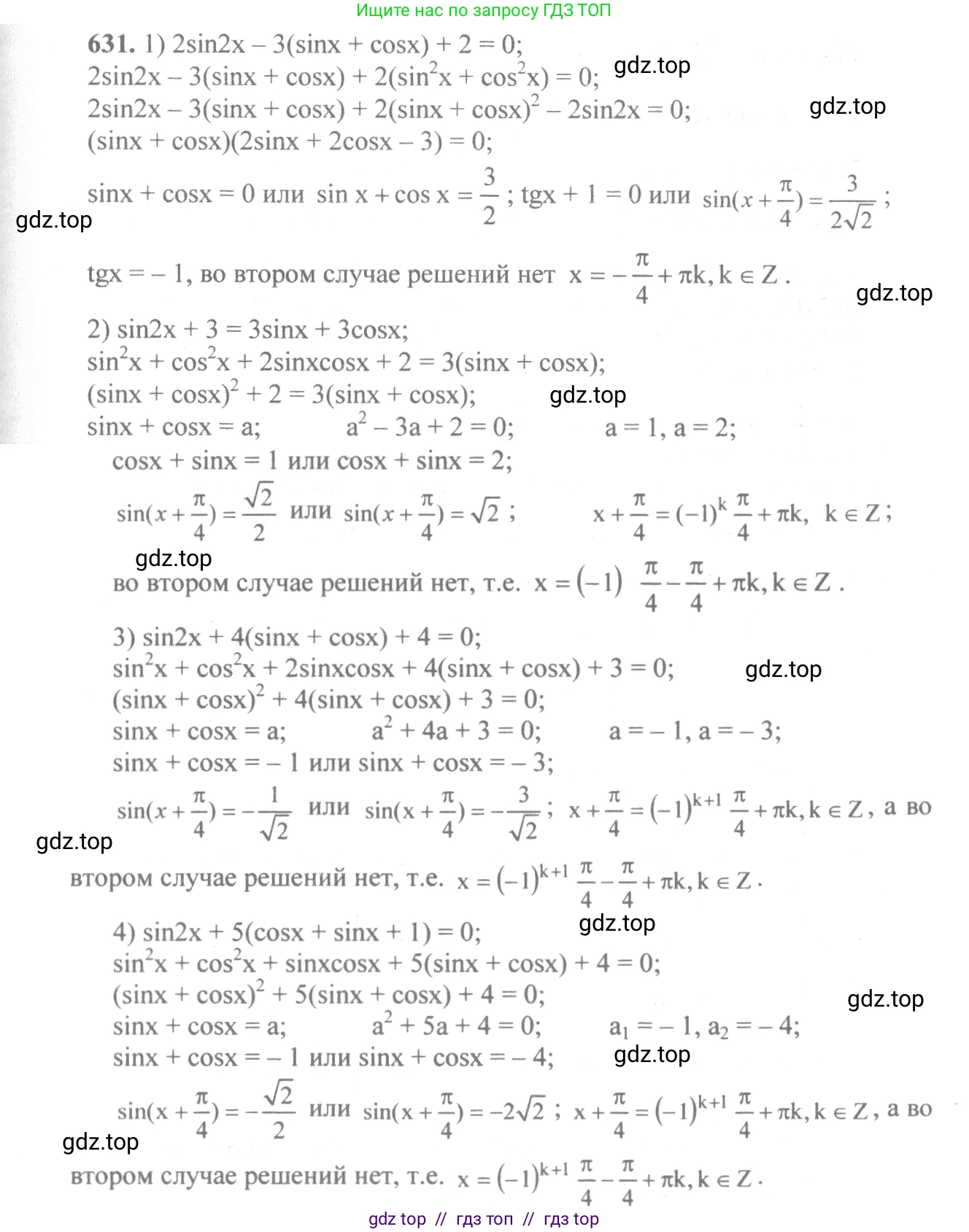
631 1) $2 \sin 2x - 3 (\sin x + \cos x) + 2 = 0;$

2) $\sin 2x + 3 = 3 \sin x + 3 \cos x;$

3) $\sin 2x + 4 (\sin x + \cos x) + 4 = 0;$

4) $\sin 2x + 5 (\cos x + \sin x + 1) = 0.$

Решение 1. №631 (с. 192)
Алгебра, 10-11 класс Учебник, авторы: Алимов Шавкат Арифджанович, Колягин Юрий Михайлович, Ткачева Мария Владимировна, Федорова Надежда Евгеньевна, Шабунин Михаил Иванович, издательство Просвещение, Москва, 2014, страница 192, номер 631, Решение 1
Алгебра, 10-11 класс Учебник, авторы: Алимов Шавкат Арифджанович, Колягин Юрий Михайлович, Ткачева Мария Владимировна, Федорова Надежда Евгеньевна, Шабунин Михаил Иванович, издательство Просвещение, Москва, 2014, страница 192, номер 631, Решение 1 (продолжение 2)
Алгебра, 10-11 класс Учебник, авторы: Алимов Шавкат Арифджанович, Колягин Юрий Михайлович, Ткачева Мария Владимировна, Федорова Надежда Евгеньевна, Шабунин Михаил Иванович, издательство Просвещение, Москва, 2014, страница 192, номер 631, Решение 1 (продолжение 3)
Алгебра, 10-11 класс Учебник, авторы: Алимов Шавкат Арифджанович, Колягин Юрий Михайлович, Ткачева Мария Владимировна, Федорова Надежда Евгеньевна, Шабунин Михаил Иванович, издательство Просвещение, Москва, 2014, страница 192, номер 631, Решение 1 (продолжение 4)
Решение 2. №631 (с. 192)
Алгебра, 10-11 класс Учебник, авторы: Алимов Шавкат Арифджанович, Колягин Юрий Михайлович, Ткачева Мария Владимировна, Федорова Надежда Евгеньевна, Шабунин Михаил Иванович, издательство Просвещение, Москва, 2014, страница 192, номер 631, Решение 2
Алгебра, 10-11 класс Учебник, авторы: Алимов Шавкат Арифджанович, Колягин Юрий Михайлович, Ткачева Мария Владимировна, Федорова Надежда Евгеньевна, Шабунин Михаил Иванович, издательство Просвещение, Москва, 2014, страница 192, номер 631, Решение 2 (продолжение 2)
Решение 4. №631 (с. 192)
Алгебра, 10-11 класс Учебник, авторы: Алимов Шавкат Арифджанович, Колягин Юрий Михайлович, Ткачева Мария Владимировна, Федорова Надежда Евгеньевна, Шабунин Михаил Иванович, издательство Просвещение, Москва, 2014, страница 192, номер 631, Решение 4
Алгебра, 10-11 класс Учебник, авторы: Алимов Шавкат Арифджанович, Колягин Юрий Михайлович, Ткачева Мария Владимировна, Федорова Надежда Евгеньевна, Шабунин Михаил Иванович, издательство Просвещение, Москва, 2014, страница 192, номер 631, Решение 4 (продолжение 2)
Решение 5. №631 (с. 192)
Алгебра, 10-11 класс Учебник, авторы: Алимов Шавкат Арифджанович, Колягин Юрий Михайлович, Ткачева Мария Владимировна, Федорова Надежда Евгеньевна, Шабунин Михаил Иванович, издательство Просвещение, Москва, 2014, страница 192, номер 631, Решение 5
Алгебра, 10-11 класс Учебник, авторы: Алимов Шавкат Арифджанович, Колягин Юрий Михайлович, Ткачева Мария Владимировна, Федорова Надежда Евгеньевна, Шабунин Михаил Иванович, издательство Просвещение, Москва, 2014, страница 192, номер 631, Решение 5 (продолжение 2)
Решение 7. №631 (с. 192)
Алгебра, 10-11 класс Учебник, авторы: Алимов Шавкат Арифджанович, Колягин Юрий Михайлович, Ткачева Мария Владимировна, Федорова Надежда Евгеньевна, Шабунин Михаил Иванович, издательство Просвещение, Москва, 2014, страница 192, номер 631, Решение 7 Алгебра, 10-11 класс Учебник, авторы: Алимов Шавкат Арифджанович, Колягин Юрий Михайлович, Ткачева Мария Владимировна, Федорова Надежда Евгеньевна, Шабунин Михаил Иванович, издательство Просвещение, Москва, 2014, страница 192, номер 631, Решение 7 (продолжение 2) Алгебра, 10-11 класс Учебник, авторы: Алимов Шавкат Арифджанович, Колягин Юрий Михайлович, Ткачева Мария Владимировна, Федорова Надежда Евгеньевна, Шабунин Михаил Иванович, издательство Просвещение, Москва, 2014, страница 192, номер 631, Решение 7 (продолжение 3) Алгебра, 10-11 класс Учебник, авторы: Алимов Шавкат Арифджанович, Колягин Юрий Михайлович, Ткачева Мария Владимировна, Федорова Надежда Евгеньевна, Шабунин Михаил Иванович, издательство Просвещение, Москва, 2014, страница 192, номер 631, Решение 7 (продолжение 4)
Решение 8. №631 (с. 192)
1)

Решим уравнение $2 \sin 2x - 3 (\sin x + \cos x) + 2 = 0$.

Данный тип уравнений решается с помощью замены. Пусть $t = \sin x + \cos x$.

Чтобы выразить $\sin 2x$ через $t$, возведем замену в квадрат:

$t^2 = (\sin x + \cos x)^2 = \sin^2 x + 2\sin x \cos x + \cos^2 x$.

Так как $\sin^2 x + \cos^2 x = 1$ и $2\sin x \cos x = \sin 2x$, получаем:

$t^2 = 1 + \sin 2x \implies \sin 2x = t^2 - 1$.

Заметим, что выражение $t = \sin x + \cos x$ можно представить как $t = \sqrt{2}(\frac{1}{\sqrt{2}}\sin x + \frac{1}{\sqrt{2}}\cos x) = \sqrt{2}\sin(x + \frac{\pi}{4})$. Поскольку область значений синуса $[-1, 1]$, то область значений для $t$ есть отрезок $[-\sqrt{2}, \sqrt{2}]$.

Подставим $t$ и $t^2 - 1$ в исходное уравнение:

$2(t^2 - 1) - 3t + 2 = 0$

$2t^2 - 2 - 3t + 2 = 0$

$2t^2 - 3t = 0$

$t(2t - 3) = 0$

Это дает два корня: $t_1 = 0$ и $t_2 = \frac{3}{2}$.

1. Проверим $t_1 = 0$. Это значение входит в область допустимых значений $[-\sqrt{2}, \sqrt{2}]$.

$\sin x + \cos x = 0$.

Поделим на $\cos x \ne 0$ (случай $\cos x = 0$ не является решением, так как тогда $\sin x = \pm 1$ и сумма не равна нулю).

$\tan x + 1 = 0 \implies \tan x = -1$.

$x = -\frac{\pi}{4} + \pi n, \text{ где } n \in \mathbb{Z}$.

2. Проверим $t_2 = \frac{3}{2} = 1.5$.

Поскольку $\sqrt{2} \approx 1.414$, то $1.5 > \sqrt{2}$. Это значение не входит в область допустимых значений для $t$. Следовательно, уравнение $\sin x + \cos x = \frac{3}{2}$ не имеет решений.

Ответ: $x = -\frac{\pi}{4} + \pi n, n \in \mathbb{Z}$.

2)

Решим уравнение $\sin 2x + 3 = 3 \sin x + 3 \cos x$.

Перенесем все члены в одну сторону:

$\sin 2x - 3(\sin x + \cos x) + 3 = 0$.

Используем ту же замену, что и в предыдущем задании: $t = \sin x + \cos x$, откуда $\sin 2x = t^2 - 1$. Область значений для $t$: $[-\sqrt{2}, \sqrt{2}]$.

Подставляем в уравнение:

$(t^2 - 1) - 3t + 3 = 0$

$t^2 - 3t + 2 = 0$

Решим квадратное уравнение. По теореме Виета, корни $t_1 = 1$ и $t_2 = 2$.

1. Рассмотрим $t_1 = 1$. Это значение входит в область $[-\sqrt{2}, \sqrt{2}]$.

$\sin x + \cos x = 1$.

Преобразуем левую часть: $\sqrt{2}\sin(x + \frac{\pi}{4}) = 1$.

$\sin(x + \frac{\pi}{4}) = \frac{1}{\sqrt{2}}$.

Это дает две серии решений:

а) $x + \frac{\pi}{4} = \frac{\pi}{4} + 2\pi k \implies x = 2\pi k, \text{ где } k \in \mathbb{Z}$.

б) $x + \frac{\pi}{4} = \frac{3\pi}{4} + 2\pi k \implies x = \frac{\pi}{2} + 2\pi k, \text{ где } k \in \mathbb{Z}$.

2. Рассмотрим $t_2 = 2$.

Поскольку $2 > \sqrt{2}$, это значение не входит в область значений $t$, и уравнение $\sin x + \cos x = 2$ не имеет решений.

Ответ: $x = 2\pi k, x = \frac{\pi}{2} + 2\pi k, k \in \mathbb{Z}$.

3)

Решим уравнение $\sin 2x + 4 (\sin x + \cos x) + 4 = 0$.

Вводим замену $t = \sin x + \cos x$, тогда $\sin 2x = t^2 - 1$. ОДЗ для $t$: $t \in [-\sqrt{2}, \sqrt{2}]$.

Подставляем в уравнение:

$(t^2 - 1) + 4t + 4 = 0$

$t^2 + 4t + 3 = 0$

По теореме Виета, корни $t_1 = -1$ и $t_2 = -3$.

1. Рассмотрим $t_1 = -1$. Это значение входит в область $[-\sqrt{2}, \sqrt{2}]$.

$\sin x + \cos x = -1$.

$\sqrt{2}\sin(x + \frac{\pi}{4}) = -1$.

$\sin(x + \frac{\pi}{4}) = -\frac{1}{\sqrt{2}}$.

Это дает две серии решений:

а) $x + \frac{\pi}{4} = -\frac{\pi}{4} + 2\pi k \implies x = -\frac{\pi}{2} + 2\pi k, \text{ где } k \in \mathbb{Z}$.

б) $x + \frac{\pi}{4} = \frac{5\pi}{4} + 2\pi k \implies x = \pi + 2\pi k, \text{ где } k \in \mathbb{Z}$.

2. Рассмотрим $t_2 = -3$.

Поскольку $-3 < -\sqrt{2}$, это значение не входит в область значений $t$. Уравнение $\sin x + \cos x = -3$ решений не имеет.

Ответ: $x = -\frac{\pi}{2} + 2\pi k, x = \pi + 2\pi k, k \in \mathbb{Z}$.

4)

Решим уравнение $\sin 2x + 5 (\cos x + \sin x + 1) = 0$.

Раскроем скобки и перегруппируем:

$\sin 2x + 5(\sin x + \cos x) + 5 = 0$.

Вводим замену $t = \sin x + \cos x$, тогда $\sin 2x = t^2 - 1$. ОДЗ для $t$: $t \in [-\sqrt{2}, \sqrt{2}]$.

Подставляем в уравнение:

$(t^2 - 1) + 5t + 5 = 0$

$t^2 + 5t + 4 = 0$

По теореме Виета, корни $t_1 = -1$ и $t_2 = -4$.

1. Рассмотрим $t_1 = -1$. Это значение входит в область $[-\sqrt{2}, \sqrt{2}]$.

$\sin x + \cos x = -1$.

Это уравнение уже было решено в пункте 3). Его решения:

$x = -\frac{\pi}{2} + 2\pi k, \text{ где } k \in \mathbb{Z}$.

$x = \pi + 2\pi k, \text{ где } k \in \mathbb{Z}$.

2. Рассмотрим $t_2 = -4$.

Поскольку $-4 < -\sqrt{2}$, это значение не входит в область значений $t$. Уравнение $\sin x + \cos x = -4$ решений не имеет.

Ответ: $x = -\frac{\pi}{2} + 2\pi k, x = \pi + 2\pi k, k \in \mathbb{Z}$.

Помогло решение? Оставьте отзыв в комментариях ниже.

Присоединяйтесь к Телеграм-группе @top_gdz

Присоединиться

Мы подготовили для вас ответ c подробным объяснением домашего задания по алгебре за 10-11 класс, для упражнения номер 631 расположенного на странице 192 к учебнику 2014 года издания для учащихся школ и гимназий.

Теперь на нашем сайте ГДЗ.ТОП вы всегда легко и бесплатно найдёте условие с правильным ответом на вопрос «Как решить ДЗ» и «Как сделать» задание по алгебре к упражнению №631 (с. 192), авторов: Алимов (Шавкат Арифджанович), Колягин (Юрий Михайлович), Ткачева (Мария Владимировна), Федорова (Надежда Евгеньевна), Шабунин (Михаил Иванович), ФГОС (старый) базовый и углублённый уровень обучения учебного пособия издательства Просвещение.