Номер 638, страница 193 - гдз по алгебре 10-11 класс учебник Алимов, Колягин

Алгебра, 10-11 класс Учебник, авторы: Алимов Шавкат Арифджанович, Колягин Юрий Михайлович, Ткачева Мария Владимировна, Федорова Надежда Евгеньевна, Шабунин Михаил Иванович, издательство Просвещение, Москва, 2014

Авторы: Алимов Ш. А., Колягин Ю. М., Ткачева М. В., Федорова Н. Е., Шабунин М. И.

Тип: Учебник

Издательство: Просвещение

Год издания: 2014 - 2026

Уровень обучения: базовый и углублённый

Цвет обложки: синий, фиолетовый

ISBN: 978-5-09-112136-0

Допущено Министерством просвещения Российской Федерации

Математика: алгебра и начала математического анализа, геометрия

Глава 6. Тригонометрические уравнения. Параграф 36. Решение тригонометрических уравнений - номер 638, страница 193.

№638 (с. 193)
Условие. №638 (с. 193)
скриншот условия
Алгебра, 10-11 класс Учебник, авторы: Алимов Шавкат Арифджанович, Колягин Юрий Михайлович, Ткачева Мария Владимировна, Федорова Надежда Евгеньевна, Шабунин Михаил Иванович, издательство Просвещение, Москва, 2014, страница 193, номер 638, Условие

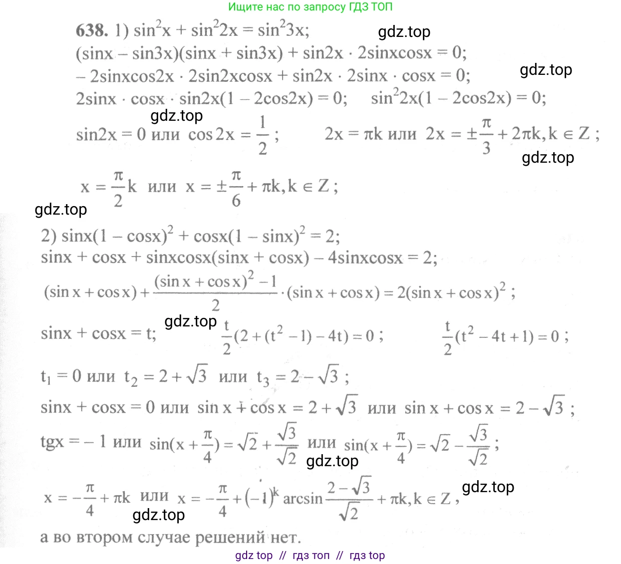
638 1) $\sin^2 x + \sin^2 2x = \sin^2 3x;$

2) $\sin x (1 - \cos x)^2 + \cos x (1 - \sin x)^2 = 2.$

Решение 1. №638 (с. 193)
Алгебра, 10-11 класс Учебник, авторы: Алимов Шавкат Арифджанович, Колягин Юрий Михайлович, Ткачева Мария Владимировна, Федорова Надежда Евгеньевна, Шабунин Михаил Иванович, издательство Просвещение, Москва, 2014, страница 193, номер 638, Решение 1
Алгебра, 10-11 класс Учебник, авторы: Алимов Шавкат Арифджанович, Колягин Юрий Михайлович, Ткачева Мария Владимировна, Федорова Надежда Евгеньевна, Шабунин Михаил Иванович, издательство Просвещение, Москва, 2014, страница 193, номер 638, Решение 1 (продолжение 2)
Решение 2. №638 (с. 193)
Алгебра, 10-11 класс Учебник, авторы: Алимов Шавкат Арифджанович, Колягин Юрий Михайлович, Ткачева Мария Владимировна, Федорова Надежда Евгеньевна, Шабунин Михаил Иванович, издательство Просвещение, Москва, 2014, страница 193, номер 638, Решение 2
Алгебра, 10-11 класс Учебник, авторы: Алимов Шавкат Арифджанович, Колягин Юрий Михайлович, Ткачева Мария Владимировна, Федорова Надежда Евгеньевна, Шабунин Михаил Иванович, издательство Просвещение, Москва, 2014, страница 193, номер 638, Решение 2 (продолжение 2)
Решение 3. №638 (с. 193)
Алгебра, 10-11 класс Учебник, авторы: Алимов Шавкат Арифджанович, Колягин Юрий Михайлович, Ткачева Мария Владимировна, Федорова Надежда Евгеньевна, Шабунин Михаил Иванович, издательство Просвещение, Москва, 2014, страница 193, номер 638, Решение 3
Решение 5. №638 (с. 193)
Алгебра, 10-11 класс Учебник, авторы: Алимов Шавкат Арифджанович, Колягин Юрий Михайлович, Ткачева Мария Владимировна, Федорова Надежда Евгеньевна, Шабунин Михаил Иванович, издательство Просвещение, Москва, 2014, страница 193, номер 638, Решение 5
Решение 7. №638 (с. 193)
Алгебра, 10-11 класс Учебник, авторы: Алимов Шавкат Арифджанович, Колягин Юрий Михайлович, Ткачева Мария Владимировна, Федорова Надежда Евгеньевна, Шабунин Михаил Иванович, издательство Просвещение, Москва, 2014, страница 193, номер 638, Решение 7 Алгебра, 10-11 класс Учебник, авторы: Алимов Шавкат Арифджанович, Колягин Юрий Михайлович, Ткачева Мария Владимировна, Федорова Надежда Евгеньевна, Шабунин Михаил Иванович, издательство Просвещение, Москва, 2014, страница 193, номер 638, Решение 7 (продолжение 2)
Решение 8. №638 (с. 193)

1)

Исходное уравнение: $\sin^2 x + \sin^2 2x = \sin^2 3x$.

Перенесем $\sin^2 x$ в правую часть:

$\sin^2 2x = \sin^2 3x - \sin^2 x$

Применим формулу разности квадратов $a^2 - b^2 = (a-b)(a+b)$:

$\sin^2 2x = (\sin 3x - \sin x)(\sin 3x + \sin x)$

Теперь используем формулы преобразования суммы и разности синусов в произведение:

$\sin A - \sin B = 2 \sin\left(\frac{A-B}{2}\right) \cos\left(\frac{A+B}{2}\right)$

$\sin A + \sin B = 2 \sin\left(\frac{A+B}{2}\right) \cos\left(\frac{A-B}{2}\right)$

Подставим $A=3x$ и $B=x$:

$\sin 3x - \sin x = 2 \sin\left(\frac{3x-x}{2}\right) \cos\left(\frac{3x+x}{2}\right) = 2 \sin x \cos 2x$

$\sin 3x + \sin x = 2 \sin\left(\frac{3x+x}{2}\right) \cos\left(\frac{3x-x}{2}\right) = 2 \sin 2x \cos x$

Подставим эти выражения обратно в уравнение:

$\sin^2 2x = (2 \sin x \cos 2x)(2 \sin 2x \cos x)$

$\sin^2 2x = 4 \sin x \cos x \sin 2x \cos 2x$

Используя формулу синуса двойного угла $\sin 2x = 2 \sin x \cos x$, получим:

$\sin^2 2x = (2 \sin 2x)(\sin 2x \cos 2x)$

$\sin^2 2x = 2 \sin^2 2x \cos 2x$

Перенесем все в одну сторону и вынесем общий множитель:

$\sin^2 2x - 2 \sin^2 2x \cos 2x = 0$

$\sin^2 2x (1 - 2 \cos 2x) = 0$

Это уравнение распадается на два:

1. $\sin^2 2x = 0 \implies \sin 2x = 0$

$2x = \pi k$, где $k \in \mathbb{Z}$

$x = \frac{\pi k}{2}$, где $k \in \mathbb{Z}$

2. $1 - 2 \cos 2x = 0 \implies \cos 2x = \frac{1}{2}$

$2x = \pm \frac{\pi}{3} + 2\pi n$, где $n \in \mathbb{Z}$

$x = \pm \frac{\pi}{6} + \pi n$, где $n \in \mathbb{Z}$

Ответ: $x = \frac{\pi k}{2}$, $x = \pm \frac{\pi}{6} + \pi n$, где $k, n \in \mathbb{Z}$.

2)

Исходное уравнение: $\sin x (1 - \cos x)^2 + \cos x (1 - \sin x)^2 = 2$.

Раскроем скобки:

$\sin x (1 - 2\cos x + \cos^2 x) + \cos x (1 - 2\sin x + \sin^2 x) = 2$

$\sin x - 2\sin x \cos x + \sin x \cos^2 x + \cos x - 2\sin x \cos x + \cos x \sin^2 x = 2$

Сгруппируем слагаемые:

$(\sin x + \cos x) - 4\sin x \cos x + (\sin x \cos^2 x + \cos x \sin^2 x) = 2$

$(\sin x + \cos x) - 4\sin x \cos x + \sin x \cos x (\sin x + \cos x) = 2$

Введем замену. Пусть $t = \sin x + \cos x$.

Тогда $t^2 = (\sin x + \cos x)^2 = \sin^2 x + 2\sin x \cos x + \cos^2 x = 1 + 2\sin x \cos x$.

Отсюда выразим $\sin x \cos x = \frac{t^2 - 1}{2}$.

Подставим в уравнение:

$t - 4\left(\frac{t^2 - 1}{2}\right) + \left(\frac{t^2 - 1}{2}\right)t = 2$

$t - 2(t^2 - 1) + \frac{t^3 - t}{2} = 2$

$t - 2t^2 + 2 + \frac{t^3 - t}{2} = 2$

$t - 2t^2 + \frac{t^3 - t}{2} = 0$

Умножим обе части на 2:

$2t - 4t^2 + t^3 - t = 0$

$t^3 - 4t^2 + t = 0$

$t(t^2 - 4t + 1) = 0$

Получаем два случая:

1. $t = 0$.

2. $t^2 - 4t + 1 = 0$. Решаем квадратное уравнение: $t = \frac{4 \pm \sqrt{16-4}}{2} = \frac{4 \pm \sqrt{12}}{2} = 2 \pm \sqrt{3}$.

Проверим, какие значения $t$ возможны. Мы знаем, что $t = \sin x + \cos x = \sqrt{2}\sin(x+\frac{\pi}{4})$. Следовательно, область значений для $t$ есть отрезок $[-\sqrt{2}, \sqrt{2}]$.

Сравним полученные корни с этой областью ($\sqrt{2} \approx 1.414$, $\sqrt{3} \approx 1.732$):

- $t = 0$: подходит, так как $-\sqrt{2} \le 0 \le \sqrt{2}$.

- $t = 2 + \sqrt{3} \approx 3.732$: не подходит, так как $3.732 > \sqrt{2}$.

- $t = 2 - \sqrt{3} \approx 0.268$: подходит, так как $-\sqrt{2} \le 0.268 \le \sqrt{2}$.

Теперь решим уравнения для $x$ для подходящих значений $t$:

a) $\sin x + \cos x = 0$.

Делим на $\cos x \ne 0$: $\tan x = -1$.

$x = -\frac{\pi}{4} + \pi k$, где $k \in \mathbb{Z}$.

b) $\sin x + \cos x = 2 - \sqrt{3}$.

$\sqrt{2}\sin\left(x+\frac{\pi}{4}\right) = 2 - \sqrt{3}$

$\sin\left(x+\frac{\pi}{4}\right) = \frac{2 - \sqrt{3}}{\sqrt{2}}$

Решение этого уравнения в общем виде:

$x+\frac{\pi}{4} = (-1)^n \arcsin\left(\frac{2-\sqrt{3}}{\sqrt{2}}\right) + \pi n$, где $n \in \mathbb{Z}$.

$x = -\frac{\pi}{4} + (-1)^n \arcsin\left(\frac{2-\sqrt{3}}{\sqrt{2}}\right) + \pi n$, где $n \in \mathbb{Z}$.

Ответ: $x = -\frac{\pi}{4} + \pi k$; $x = -\frac{\pi}{4} + (-1)^n \arcsin\left(\frac{2-\sqrt{3}}{\sqrt{2}}\right) + \pi n$, где $k, n \in \mathbb{Z}$.

Помогло решение? Оставьте отзыв в комментариях ниже.

Присоединяйтесь к Телеграм-группе @top_gdz

Присоединиться

Мы подготовили для вас ответ c подробным объяснением домашего задания по алгебре за 10-11 класс, для упражнения номер 638 расположенного на странице 193 к учебнику 2014 года издания для учащихся школ и гимназий.

Теперь на нашем сайте ГДЗ.ТОП вы всегда легко и бесплатно найдёте условие с правильным ответом на вопрос «Как решить ДЗ» и «Как сделать» задание по алгебре к упражнению №638 (с. 193), авторов: Алимов (Шавкат Арифджанович), Колягин (Юрий Михайлович), Ткачева (Мария Владимировна), Федорова (Надежда Евгеньевна), Шабунин (Михаил Иванович), ФГОС (старый) базовый и углублённый уровень обучения учебного пособия издательства Просвещение.