Номер 644, страница 193 - гдз по алгебре 10-11 класс учебник Алимов, Колягин

Авторы: Алимов Ш. А., Колягин Ю. М., Ткачева М. В., Федорова Н. Е., Шабунин М. И.
Тип: Учебник
Издательство: Просвещение
Год издания: 2014 - 2025
Уровень обучения: базовый и углублённый
Цвет обложки: синий, фиолетовый
ISBN: 978-5-09-112136-0
Допущено Министерством просвещения Российской Федерации
Математика: алгебра и начала математического анализа, геометрия
Популярные ГДЗ в 10 классе
§ 36. Решение тригонометрических уравнений. Глава 6. Тригонометрические уравнения - номер 644, страница 193.
№644 (с. 193)
Условие. №644 (с. 193)
скриншот условия

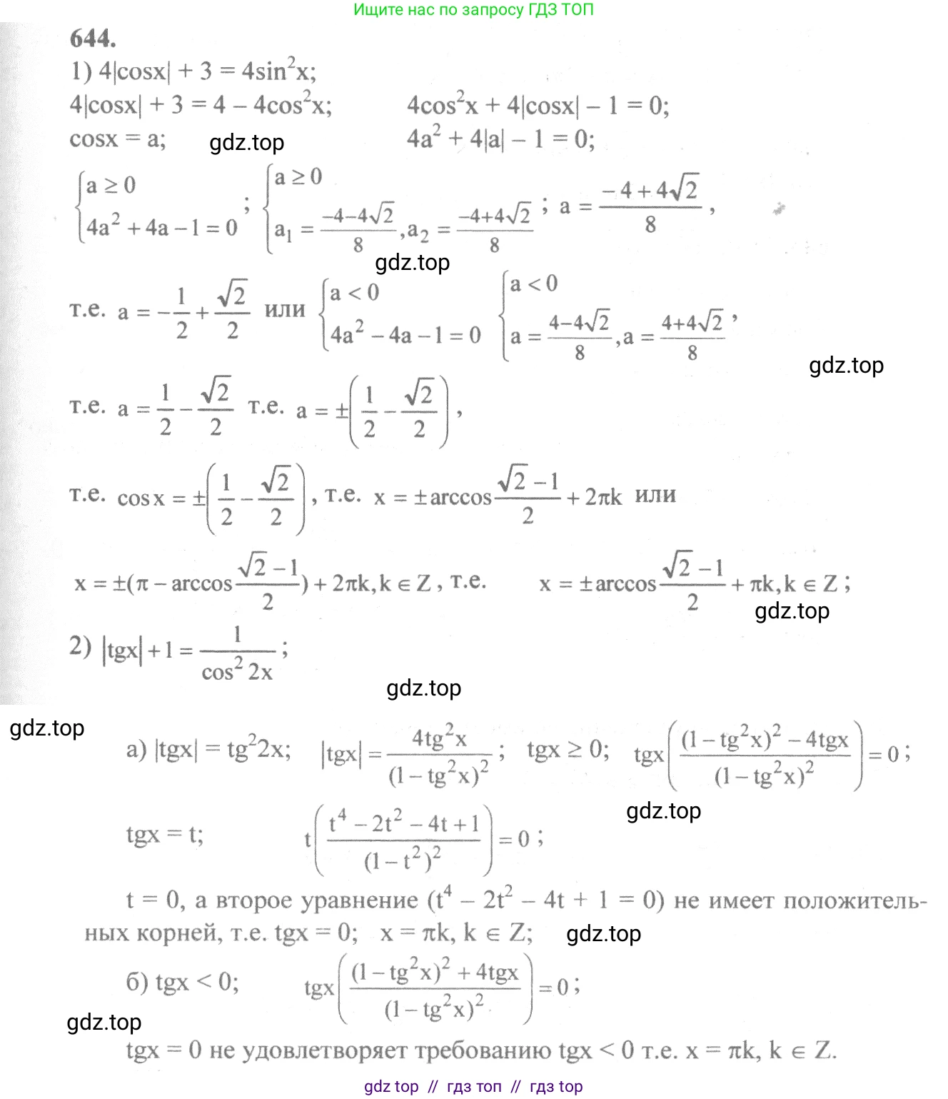
644 1) $4 |\cos x| + 3 = 4 \sin^2 x$
2) $|\operatorname{tg} x| + 1 = \frac{1}{\cos^2 x}$
Решение 1. №644 (с. 193)


Решение 2. №644 (с. 193)


Решение 5. №644 (с. 193)

Решение 7. №644 (с. 193)


Решение 8. №644 (с. 193)
1) $4|\cos x| + 3 = 4\sin^2 x$
Используем основное тригонометрическое тождество $\sin^2 x + \cos^2 x = 1$, из которого следует, что $\sin^2 x = 1 - \cos^2 x$. Подставим это выражение в исходное уравнение:
$4|\cos x| + 3 = 4(1 - \cos^2 x)$
Воспользуемся тем, что $\cos^2 x = |\cos x|^2$. Уравнение примет вид:
$4|\cos x| + 3 = 4 - 4|\cos x|^2$
Произведем замену переменной. Пусть $t = |\cos x|$. Поскольку $|\cos x|$ может принимать значения от 0 до 1, то $0 \le t \le 1$.
Получаем квадратное уравнение относительно $t$:
$4t + 3 = 4 - 4t^2$
$4t^2 + 4t - 1 = 0$
Решим это уравнение с помощью дискриминанта:
$D = b^2 - 4ac = 4^2 - 4 \cdot 4 \cdot (-1) = 16 + 16 = 32$
$\sqrt{D} = \sqrt{32} = 4\sqrt{2}$
Корни уравнения:
$t_{1,2} = \frac{-b \pm \sqrt{D}}{2a} = \frac{-4 \pm 4\sqrt{2}}{2 \cdot 4} = \frac{-1 \pm \sqrt{2}}{2}$
Получаем два корня:
$t_1 = \frac{-1 + \sqrt{2}}{2}$
$t_2 = \frac{-1 - \sqrt{2}}{2}$
Теперь проверим, удовлетворяют ли корни условию $0 \le t \le 1$.
Корень $t_1 = \frac{\sqrt{2} - 1}{2}$. Так как $1 < \sqrt{2} < 2$, то $0 < \sqrt{2}-1 < 1$, и $0 < \frac{\sqrt{2}-1}{2} < \frac{1}{2}$. Этот корень удовлетворяет условию $0 \le t \le 1$.
Корень $t_2 = \frac{-1 - \sqrt{2}}{2} < 0$. Этот корень не удовлетворяет условию $0 \le t \le 1$.
Возвращаемся к исходной переменной:
$|\cos x| = \frac{\sqrt{2} - 1}{2}$
Это уравнение равносильно двум уравнениям:
$\cos x = \frac{\sqrt{2} - 1}{2}$ или $\cos x = -\frac{\sqrt{2} - 1}{2}$
Решения для первого уравнения: $x = \pm \arccos\left(\frac{\sqrt{2} - 1}{2}\right) + 2\pi k, k \in \mathbb{Z}$.
Решения для второго уравнения: $x = \pm \arccos\left(-\frac{\sqrt{2} - 1}{2}\right) + 2\pi n, n \in \mathbb{Z}$.
Эти две серии решений можно объединить в одну. Если $|\cos x| = a$, то решениями являются все углы, косинус которых равен $a$ или $-a$. На единичной окружности это четыре точки, симметричные относительно осей координат. Общая формула для таких решений: $x = \pm \arccos(a) + \pi m, m \in \mathbb{Z}$.
Следовательно, общее решение нашего уравнения:
$x = \pm \arccos\left(\frac{\sqrt{2} - 1}{2}\right) + \pi m, m \in \mathbb{Z}$
Ответ: $x = \pm \arccos\left(\frac{\sqrt{2} - 1}{2}\right) + \pi m, m \in \mathbb{Z}$.
2) $|\text{tg}\,x| + 1 = \frac{1}{\cos^2 x}$
Область допустимых значений уравнения определяется условием $\cos x \ne 0$, что означает $x \ne \frac{\pi}{2} + \pi k, k \in \mathbb{Z}$.
Используем тригонометрическое тождество $1 + \text{tg}^2 x = \frac{1}{\cos^2 x}$. Подставим его в правую часть уравнения:
$|\text{tg}\,x| + 1 = 1 + \text{tg}^2 x$
Вычтем 1 из обеих частей:
$|\text{tg}\,x| = \text{tg}^2 x$
Так как $\text{tg}^2 x = |\text{tg}\,x|^2$, уравнение можно переписать в виде:
$|\text{tg}\,x| = |\text{tg}\,x|^2$
Произведем замену переменной. Пусть $y = |\text{tg}\,x|$. Так как модуль — неотрицательная величина, то $y \ge 0$.
Получаем уравнение:
$y = y^2$
$y^2 - y = 0$
$y(y-1) = 0$
Отсюда получаем два возможных значения для $y$:
$y_1 = 0$
$y_2 = 1$
Оба значения неотрицательны и являются решениями.
Возвращаемся к исходной переменной.
Случай 1: $|\text{tg}\,x| = 0$
$\text{tg}\,x = 0$
$x = \pi k, k \in \mathbb{Z}$
Случай 2: $|\text{tg}\,x| = 1$
Это уравнение распадается на два:
$\text{tg}\,x = 1 \implies x = \frac{\pi}{4} + \pi n, n \in \mathbb{Z}$
$\text{tg}\,x = -1 \implies x = -\frac{\pi}{4} + \pi m, m \in \mathbb{Z}$
Две последние серии решений можно объединить в одну: $x = \frac{\pi}{4} + \frac{\pi j}{2}, j \in \mathbb{Z}$.
Все найденные решения удовлетворяют ОДЗ ($x \ne \frac{\pi}{2} + \pi k, k \in \mathbb{Z}$).
Ответ: $x = \pi k, k \in \mathbb{Z}; \quad x = \frac{\pi}{4} + \frac{\pi n}{2}, n \in \mathbb{Z}$.
Другие задания:
Помогло решение? Оставьте отзыв в комментариях ниже.
Мы подготовили для вас ответ c подробным объяснением домашего задания по алгебре за 10-11 класс, для упражнения номер 644 расположенного на странице 193 к учебнику 2014 года издания для учащихся школ и гимназий.
Теперь на нашем сайте ГДЗ.ТОП вы всегда легко и бесплатно найдёте условие с правильным ответом на вопрос «Как решить ДЗ» и «Как сделать» задание по алгебре к упражнению №644 (с. 193), авторов: Алимов (Шавкат Арифджанович), Колягин (Юрий Михайлович), Ткачева (Мария Владимировна), Федорова (Надежда Евгеньевна), Шабунин (Михаил Иванович), ФГОС (старый) базовый и углублённый уровень обучения учебного пособия издательства Просвещение.