Номер 634, страница 193 - гдз по алгебре 10-11 класс учебник Алимов, Колягин

Алгебра, 10-11 класс Учебник, авторы: Алимов Шавкат Арифджанович, Колягин Юрий Михайлович, Ткачева Мария Владимировна, Федорова Надежда Евгеньевна, Шабунин Михаил Иванович, издательство Просвещение, Москва, 2014

Авторы: Алимов Ш. А., Колягин Ю. М., Ткачева М. В., Федорова Н. Е., Шабунин М. И.

Тип: Учебник

Издательство: Просвещение

Год издания: 2014 - 2025

Уровень обучения: базовый и углублённый

Цвет обложки: синий, фиолетовый

ISBN: 978-5-09-112136-0

Допущено Министерством просвещения Российской Федерации

Математика: алгебра и начала математического анализа, геометрия

Популярные ГДЗ в 10 классе

Глава 6. Тригонометрические уравнения. Параграф 36. Решение тригонометрических уравнений - номер 634, страница 193.

№634 (с. 193)
Условие. №634 (с. 193)
скриншот условия
Алгебра, 10-11 класс Учебник, авторы: Алимов Шавкат Арифджанович, Колягин Юрий Михайлович, Ткачева Мария Владимировна, Федорова Надежда Евгеньевна, Шабунин Михаил Иванович, издательство Просвещение, Москва, 2014, страница 193, номер 634, Условие

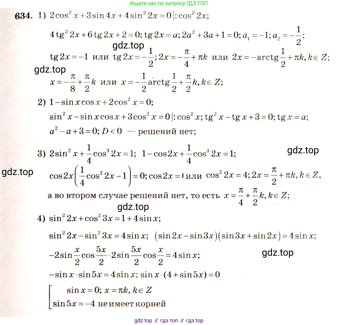
634 1) $2 \cos^2 2x + 3 \sin 4x + 4 \sin^2 2x = 0;$

2) $1 - \sin x \cos x + 2 \cos^2 x = 0;$

3) $2 \sin^2 x + \frac{1}{4} \cos^3 2x = 1;$

4) $\sin^2 2x + \cos^2 3x = 1 + 4 \sin x.$

Решение 1. №634 (с. 193)
Алгебра, 10-11 класс Учебник, авторы: Алимов Шавкат Арифджанович, Колягин Юрий Михайлович, Ткачева Мария Владимировна, Федорова Надежда Евгеньевна, Шабунин Михаил Иванович, издательство Просвещение, Москва, 2014, страница 193, номер 634, Решение 1
Алгебра, 10-11 класс Учебник, авторы: Алимов Шавкат Арифджанович, Колягин Юрий Михайлович, Ткачева Мария Владимировна, Федорова Надежда Евгеньевна, Шабунин Михаил Иванович, издательство Просвещение, Москва, 2014, страница 193, номер 634, Решение 1 (продолжение 2)
Алгебра, 10-11 класс Учебник, авторы: Алимов Шавкат Арифджанович, Колягин Юрий Михайлович, Ткачева Мария Владимировна, Федорова Надежда Евгеньевна, Шабунин Михаил Иванович, издательство Просвещение, Москва, 2014, страница 193, номер 634, Решение 1 (продолжение 3)
Алгебра, 10-11 класс Учебник, авторы: Алимов Шавкат Арифджанович, Колягин Юрий Михайлович, Ткачева Мария Владимировна, Федорова Надежда Евгеньевна, Шабунин Михаил Иванович, издательство Просвещение, Москва, 2014, страница 193, номер 634, Решение 1 (продолжение 4)
Решение 2. №634 (с. 193)
Алгебра, 10-11 класс Учебник, авторы: Алимов Шавкат Арифджанович, Колягин Юрий Михайлович, Ткачева Мария Владимировна, Федорова Надежда Евгеньевна, Шабунин Михаил Иванович, издательство Просвещение, Москва, 2014, страница 193, номер 634, Решение 2
Алгебра, 10-11 класс Учебник, авторы: Алимов Шавкат Арифджанович, Колягин Юрий Михайлович, Ткачева Мария Владимировна, Федорова Надежда Евгеньевна, Шабунин Михаил Иванович, издательство Просвещение, Москва, 2014, страница 193, номер 634, Решение 2 (продолжение 2)
Решение 4. №634 (с. 193)
Алгебра, 10-11 класс Учебник, авторы: Алимов Шавкат Арифджанович, Колягин Юрий Михайлович, Ткачева Мария Владимировна, Федорова Надежда Евгеньевна, Шабунин Михаил Иванович, издательство Просвещение, Москва, 2014, страница 193, номер 634, Решение 4
Решение 5. №634 (с. 193)
Алгебра, 10-11 класс Учебник, авторы: Алимов Шавкат Арифджанович, Колягин Юрий Михайлович, Ткачева Мария Владимировна, Федорова Надежда Евгеньевна, Шабунин Михаил Иванович, издательство Просвещение, Москва, 2014, страница 193, номер 634, Решение 5
Алгебра, 10-11 класс Учебник, авторы: Алимов Шавкат Арифджанович, Колягин Юрий Михайлович, Ткачева Мария Владимировна, Федорова Надежда Евгеньевна, Шабунин Михаил Иванович, издательство Просвещение, Москва, 2014, страница 193, номер 634, Решение 5 (продолжение 2)
Решение 7. №634 (с. 193)
Алгебра, 10-11 класс Учебник, авторы: Алимов Шавкат Арифджанович, Колягин Юрий Михайлович, Ткачева Мария Владимировна, Федорова Надежда Евгеньевна, Шабунин Михаил Иванович, издательство Просвещение, Москва, 2014, страница 193, номер 634, Решение 7 Алгебра, 10-11 класс Учебник, авторы: Алимов Шавкат Арифджанович, Колягин Юрий Михайлович, Ткачева Мария Владимировна, Федорова Надежда Евгеньевна, Шабунин Михаил Иванович, издательство Просвещение, Москва, 2014, страница 193, номер 634, Решение 7 (продолжение 2) Алгебра, 10-11 класс Учебник, авторы: Алимов Шавкат Арифджанович, Колягин Юрий Михайлович, Ткачева Мария Владимировна, Федорова Надежда Евгеньевна, Шабунин Михаил Иванович, издательство Просвещение, Москва, 2014, страница 193, номер 634, Решение 7 (продолжение 3)
Решение 8. №634 (с. 193)

1) $2 \cos^2 2x + 3 \sin 4x + 4 \sin^2 2x = 0$

Применим формулу синуса двойного угла $ \sin 4x = 2 \sin 2x \cos 2x $: $ 2 \cos^2 2x + 3 (2 \sin 2x \cos 2x) + 4 \sin^2 2x = 0 $ $ 2 \cos^2 2x + 6 \sin 2x \cos 2x + 4 \sin^2 2x = 0 $ Разделим все уравнение на 2: $ \cos^2 2x + 3 \sin 2x \cos 2x + 2 \sin^2 2x = 0 $ Это однородное тригонометрическое уравнение второй степени. Проверим, является ли $ \cos 2x = 0 $ решением. Если $ \cos 2x = 0 $, то из уравнения следует, что $ 2 \sin^2 2x = 0 $, то есть $ \sin 2x = 0 $. Это невозможно, так как $ \sin^2 2x + \cos^2 2x = 1 $. Следовательно, $ \cos 2x \neq 0 $, и мы можем разделить уравнение на $ \cos^2 2x $: $ 1 + 3 \frac{\sin 2x}{\cos 2x} + 2 \frac{\sin^2 2x}{\cos^2 2x} = 0 $ $ 2 \tan^2 2x + 3 \tan 2x + 1 = 0 $ Сделаем замену $ t = \tan 2x $. Получаем квадратное уравнение: $ 2t^2 + 3t + 1 = 0 $ Находим корни: $ D = 3^2 - 4 \cdot 2 \cdot 1 = 1 $. $ t_1 = \frac{-3 - 1}{4} = -1 $ $ t_2 = \frac{-3 + 1}{4} = -\frac{1}{2} $ Возвращаемся к замене: 1. $ \tan 2x = -1 \implies 2x = -\frac{\pi}{4} + \pi k \implies x = -\frac{\pi}{8} + \frac{\pi k}{2}, k \in \mathbb{Z} $ 2. $ \tan 2x = -\frac{1}{2} \implies 2x = \arctan(-\frac{1}{2}) + \pi n \implies x = -\frac{1}{2}\arctan\frac{1}{2} + \frac{\pi n}{2}, n \in \mathbb{Z} $

Ответ: $x = -\frac{\pi}{8} + \frac{\pi k}{2}, k \in \mathbb{Z}$; $x = -\frac{1}{2}\arctan\frac{1}{2} + \frac{\pi n}{2}, n \in \mathbb{Z}$.

2) $1 - \sin x \cos x + 2 \cos^2 x = 0$

Используем основное тригонометрическое тождество $ 1 = \sin^2 x + \cos^2 x $: $ (\sin^2 x + \cos^2 x) - \sin x \cos x + 2 \cos^2 x = 0 $ $ \sin^2 x - \sin x \cos x + 3 \cos^2 x = 0 $ Это однородное уравнение. Если $ \cos x = 0 $, то $ \sin^2 x = 0 $, что невозможно. Значит, можно разделить уравнение на $ \cos^2 x $: $ \tan^2 x - \tan x + 3 = 0 $ Пусть $ t = \tan x $, тогда $ t^2 - t + 3 = 0 $. Найдем дискриминант квадратного уравнения: $ D = (-1)^2 - 4 \cdot 1 \cdot 3 = 1 - 12 = -11 $. Поскольку $ D < 0 $, квадратное уравнение не имеет действительных корней. Следовательно, и исходное тригонометрическое уравнение не имеет решений.

Ответ: нет решений.

3) $2 \sin^2 x + \frac{1}{4} \cos^3 2x = 1$

Применим формулу понижения степени $ \sin^2 x = \frac{1 - \cos 2x}{2} $: $ 2 \left( \frac{1 - \cos 2x}{2} \right) + \frac{1}{4} \cos^3 2x = 1 $ $ 1 - \cos 2x + \frac{1}{4} \cos^3 2x = 1 $ $ \frac{1}{4} \cos^3 2x - \cos 2x = 0 $ Вынесем $ \cos 2x $ за скобки: $ \cos 2x \left( \frac{1}{4} \cos^2 2x - 1 \right) = 0 $ Произведение равно нулю, когда один из множителей равен нулю: 1. $ \cos 2x = 0 \implies 2x = \frac{\pi}{2} + \pi k \implies x = \frac{\pi}{4} + \frac{\pi k}{2}, k \in \mathbb{Z} $ 2. $ \frac{1}{4} \cos^2 2x - 1 = 0 \implies \cos^2 2x = 4 \implies \cos 2x = \pm 2 $. Это уравнение не имеет решений, так как область значений косинуса $ [-1, 1] $.

Ответ: $x = \frac{\pi}{4} + \frac{\pi k}{2}, k \in \mathbb{Z}$.

4) $\sin^2 2x + \cos^2 3x = 1 + 4 \sin x$

Перенесем 1 в левую часть и преобразуем уравнение: $ \sin^2 2x - 1 + \cos^2 3x = 4 \sin x $ $ -(1 - \sin^2 2x) + \cos^2 3x = 4 \sin x $ $ -\cos^2 2x + \cos^2 3x = 4 \sin x $ $ \cos^2 3x - \cos^2 2x = 4 \sin x $ Воспользуемся формулой разности квадратов косинусов $ \cos^2 A - \cos^2 B = -\sin(A-B)\sin(A+B) $: $ -\sin(3x-2x)\sin(3x+2x) = 4 \sin x $ $ -\sin x \sin 5x = 4 \sin x $ Перенесем все в одну сторону: $ \sin x \sin 5x + 4 \sin x = 0 $ Вынесем $ \sin x $ за скобки: $ \sin x (\sin 5x + 4) = 0 $ Получаем два случая: 1. $ \sin x = 0 \implies x = \pi k, k \in \mathbb{Z} $ 2. $ \sin 5x + 4 = 0 \implies \sin 5x = -4 $. Это уравнение не имеет решений, так как область значений синуса $ [-1, 1] $.

Ответ: $x = \pi k, k \in \mathbb{Z}$.

Помогло решение? Оставьте отзыв в комментариях ниже.

Присоединяйтесь к Телеграм-группе @top_gdz

Присоединиться

Мы подготовили для вас ответ c подробным объяснением домашего задания по алгебре за 10-11 класс, для упражнения номер 634 расположенного на странице 193 к учебнику 2014 года издания для учащихся школ и гимназий.

Теперь на нашем сайте ГДЗ.ТОП вы всегда легко и бесплатно найдёте условие с правильным ответом на вопрос «Как решить ДЗ» и «Как сделать» задание по алгебре к упражнению №634 (с. 193), авторов: Алимов (Шавкат Арифджанович), Колягин (Юрий Михайлович), Ткачева (Мария Владимировна), Федорова (Надежда Евгеньевна), Шабунин (Михаил Иванович), ФГОС (старый) базовый и углублённый уровень обучения учебного пособия издательства Просвещение.