Номер 629, страница 192 - гдз по алгебре 10-11 класс учебник Алимов, Колягин

Алгебра, 10-11 класс Учебник, авторы: Алимов Шавкат Арифджанович, Колягин Юрий Михайлович, Ткачева Мария Владимировна, Федорова Надежда Евгеньевна, Шабунин Михаил Иванович, издательство Просвещение, Москва, 2014

Авторы: Алимов Ш. А., Колягин Ю. М., Ткачева М. В., Федорова Н. Е., Шабунин М. И.

Тип: Учебник

Издательство: Просвещение

Год издания: 2014 - 2025

Уровень обучения: базовый и углублённый

Цвет обложки: синий, фиолетовый

ISBN: 978-5-09-112136-0

Допущено Министерством просвещения Российской Федерации

Математика: алгебра и начала математического анализа, геометрия

Популярные ГДЗ в 10 классе

Глава 6. Тригонометрические уравнения. Параграф 36. Решение тригонометрических уравнений - номер 629, страница 192.

№629 (с. 192)
Условие. №629 (с. 192)
скриншот условия
Алгебра, 10-11 класс Учебник, авторы: Алимов Шавкат Арифджанович, Колягин Юрий Михайлович, Ткачева Мария Владимировна, Федорова Надежда Евгеньевна, Шабунин Михаил Иванович, издательство Просвещение, Москва, 2014, страница 192, номер 629, Условие

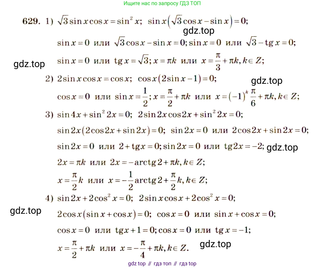
629 1) $\sqrt{3} \sin x \cos x = \sin^2 x;$

2) $2 \sin x \cos x = \cos x;$

3) $\sin 4x + \sin^2 2x = 0;$

4) $\sin 2x + 2 \cos^2 x = 0.$

Решение 1. №629 (с. 192)
Алгебра, 10-11 класс Учебник, авторы: Алимов Шавкат Арифджанович, Колягин Юрий Михайлович, Ткачева Мария Владимировна, Федорова Надежда Евгеньевна, Шабунин Михаил Иванович, издательство Просвещение, Москва, 2014, страница 192, номер 629, Решение 1
Алгебра, 10-11 класс Учебник, авторы: Алимов Шавкат Арифджанович, Колягин Юрий Михайлович, Ткачева Мария Владимировна, Федорова Надежда Евгеньевна, Шабунин Михаил Иванович, издательство Просвещение, Москва, 2014, страница 192, номер 629, Решение 1 (продолжение 2)
Алгебра, 10-11 класс Учебник, авторы: Алимов Шавкат Арифджанович, Колягин Юрий Михайлович, Ткачева Мария Владимировна, Федорова Надежда Евгеньевна, Шабунин Михаил Иванович, издательство Просвещение, Москва, 2014, страница 192, номер 629, Решение 1 (продолжение 3)
Алгебра, 10-11 класс Учебник, авторы: Алимов Шавкат Арифджанович, Колягин Юрий Михайлович, Ткачева Мария Владимировна, Федорова Надежда Евгеньевна, Шабунин Михаил Иванович, издательство Просвещение, Москва, 2014, страница 192, номер 629, Решение 1 (продолжение 4)
Решение 2. №629 (с. 192)
Алгебра, 10-11 класс Учебник, авторы: Алимов Шавкат Арифджанович, Колягин Юрий Михайлович, Ткачева Мария Владимировна, Федорова Надежда Евгеньевна, Шабунин Михаил Иванович, издательство Просвещение, Москва, 2014, страница 192, номер 629, Решение 2
Алгебра, 10-11 класс Учебник, авторы: Алимов Шавкат Арифджанович, Колягин Юрий Михайлович, Ткачева Мария Владимировна, Федорова Надежда Евгеньевна, Шабунин Михаил Иванович, издательство Просвещение, Москва, 2014, страница 192, номер 629, Решение 2 (продолжение 2)
Решение 4. №629 (с. 192)
Алгебра, 10-11 класс Учебник, авторы: Алимов Шавкат Арифджанович, Колягин Юрий Михайлович, Ткачева Мария Владимировна, Федорова Надежда Евгеньевна, Шабунин Михаил Иванович, издательство Просвещение, Москва, 2014, страница 192, номер 629, Решение 4
Решение 5. №629 (с. 192)
Алгебра, 10-11 класс Учебник, авторы: Алимов Шавкат Арифджанович, Колягин Юрий Михайлович, Ткачева Мария Владимировна, Федорова Надежда Евгеньевна, Шабунин Михаил Иванович, издательство Просвещение, Москва, 2014, страница 192, номер 629, Решение 5
Решение 7. №629 (с. 192)
Алгебра, 10-11 класс Учебник, авторы: Алимов Шавкат Арифджанович, Колягин Юрий Михайлович, Ткачева Мария Владимировна, Федорова Надежда Евгеньевна, Шабунин Михаил Иванович, издательство Просвещение, Москва, 2014, страница 192, номер 629, Решение 7 Алгебра, 10-11 класс Учебник, авторы: Алимов Шавкат Арифджанович, Колягин Юрий Михайлович, Ткачева Мария Владимировна, Федорова Надежда Евгеньевна, Шабунин Михаил Иванович, издательство Просвещение, Москва, 2014, страница 192, номер 629, Решение 7 (продолжение 2)
Решение 8. №629 (с. 192)

1) Исходное уравнение: $ \sqrt{3} \sin x \cos x = \sin^2 x $.

Перенесем все члены в одну сторону, чтобы получить уравнение, равное нулю:

$ \sin^2 x - \sqrt{3} \sin x \cos x = 0 $

Вынесем общий множитель $ \sin x $ за скобки:

$ \sin x (\sin x - \sqrt{3} \cos x) = 0 $

Произведение равно нулю тогда и только тогда, когда хотя бы один из множителей равен нулю. Это приводит к двум независимым уравнениям:

а) $ \sin x = 0 $

Решением этого простейшего тригонометрического уравнения является серия корней: $ x = \pi n $, где $ n \in \mathbb{Z} $.

б) $ \sin x - \sqrt{3} \cos x = 0 $

Это однородное тригонометрическое уравнение первой степени. Перепишем его в виде $ \sin x = \sqrt{3} \cos x $. Проверим, не является ли $ \cos x = 0 $ решением. Если $ \cos x = 0 $, то $ \sin x = \pm 1 $. Подстановка в уравнение дает $ \pm 1 = 0 $, что неверно. Значит, $ \cos x \neq 0 $, и мы можем разделить обе части уравнения на $ \cos x $:

$ \frac{\sin x}{\cos x} = \sqrt{3} $

$ \tan x = \sqrt{3} $

Решением этого уравнения является серия корней: $ x = \frac{\pi}{3} + \pi k $, где $ k \in \mathbb{Z} $.

Объединяя решения из обоих случаев, получаем итоговый ответ.

Ответ: $ x = \pi n $, $ x = \frac{\pi}{3} + \pi k $, где $ n, k \in \mathbb{Z} $.

2) Исходное уравнение: $ 2 \sin x \cos x = \cos x $.

Перенесем все члены в одну сторону:

$ 2 \sin x \cos x - \cos x = 0 $

Вынесем общий множитель $ \cos x $ за скобки:

$ \cos x (2 \sin x - 1) = 0 $

Это уравнение распадается на два случая:

а) $ \cos x = 0 $

Решением этого уравнения является серия корней: $ x = \frac{\pi}{2} + \pi n $, где $ n \in \mathbb{Z} $.

б) $ 2 \sin x - 1 = 0 $

$ 2 \sin x = 1 $

$ \sin x = \frac{1}{2} $

Решения этого уравнения можно записать в виде общей формулы: $ x = (-1)^k \frac{\pi}{6} + \pi k $, где $ k \in \mathbb{Z} $.

Объединяя решения из обоих случаев, получаем итоговый ответ.

Ответ: $ x = \frac{\pi}{2} + \pi n $, $ x = (-1)^k \frac{\pi}{6} + \pi k $, где $ n, k \in \mathbb{Z} $.

3) Исходное уравнение: $ \sin 4x + \sin^2 2x = 0 $.

Используем формулу синуса двойного угла для $ \sin 4x $, представив его как $ \sin(2 \cdot 2x) $:

$ \sin 4x = 2 \sin 2x \cos 2x $

Подставим это выражение в исходное уравнение:

$ 2 \sin 2x \cos 2x + \sin^2 2x = 0 $

Вынесем общий множитель $ \sin 2x $ за скобки:

$ \sin 2x (2 \cos 2x + \sin 2x) = 0 $

Это уравнение распадается на два случая:

а) $ \sin 2x = 0 $

$ 2x = \pi n $, где $ n \in \mathbb{Z} $.

$ x = \frac{\pi n}{2} $, где $ n \in \mathbb{Z} $.

б) $ 2 \cos 2x + \sin 2x = 0 $

Это однородное уравнение. Перепишем его как $ \sin 2x = -2 \cos 2x $. Так как значения $x$, при которых $ \cos 2x = 0 $, не являются решениями этого уравнения, мы можем разделить обе части на $ \cos 2x $:

$ \tan 2x = -2 $

$ 2x = \arctan(-2) + \pi k $, где $ k \in \mathbb{Z} $.

Используя свойство арктангенса $ \arctan(-a) = -\arctan(a) $, получаем:

$ 2x = -\arctan(2) + \pi k $

$ x = -\frac{1}{2}\arctan(2) + \frac{\pi k}{2} $, где $ k \in \mathbb{Z} $.

Объединяя решения из обоих случаев, получаем итоговый ответ.

Ответ: $ x = \frac{\pi n}{2} $, $ x = -\frac{1}{2}\arctan(2) + \frac{\pi k}{2} $, где $ n, k \in \mathbb{Z} $.

4) Исходное уравнение: $ \sin 2x + 2 \cos^2 x = 0 $.

Используем формулу синуса двойного угла $ \sin 2x = 2 \sin x \cos x $:

$ 2 \sin x \cos x + 2 \cos^2 x = 0 $

Вынесем общий множитель $ 2 \cos x $ за скобки:

$ 2 \cos x (\sin x + \cos x) = 0 $

Это уравнение распадается на два случая:

а) $ 2 \cos x = 0 \implies \cos x = 0 $

Решением этого уравнения является серия корней: $ x = \frac{\pi}{2} + \pi n $, где $ n \in \mathbb{Z} $.

б) $ \sin x + \cos x = 0 $

Это однородное уравнение. Перепишем его как $ \sin x = -\cos x $. Так как значения $x$, при которых $ \cos x = 0 $, не являются решениями этого уравнения, мы можем разделить обе части на $ \cos x $:

$ \frac{\sin x}{\cos x} = -1 $

$ \tan x = -1 $

Решением этого уравнения является серия корней: $ x = -\frac{\pi}{4} + \pi k $, где $ k \in \mathbb{Z} $.

Объединяя решения из обоих случаев, получаем итоговый ответ.

Ответ: $ x = \frac{\pi}{2} + \pi n $, $ x = -\frac{\pi}{4} + \pi k $, где $ n, k \in \mathbb{Z} $.

Помогло решение? Оставьте отзыв в комментариях ниже.

Присоединяйтесь к Телеграм-группе @top_gdz

Присоединиться

Мы подготовили для вас ответ c подробным объяснением домашего задания по алгебре за 10-11 класс, для упражнения номер 629 расположенного на странице 192 к учебнику 2014 года издания для учащихся школ и гимназий.

Теперь на нашем сайте ГДЗ.ТОП вы всегда легко и бесплатно найдёте условие с правильным ответом на вопрос «Как решить ДЗ» и «Как сделать» задание по алгебре к упражнению №629 (с. 192), авторов: Алимов (Шавкат Арифджанович), Колягин (Юрий Михайлович), Ткачева (Мария Владимировна), Федорова (Надежда Евгеньевна), Шабунин (Михаил Иванович), ФГОС (старый) базовый и углублённый уровень обучения учебного пособия издательства Просвещение.