Номер 630, страница 192 - гдз по алгебре 10-11 класс учебник Алимов, Колягин

Алгебра, 10-11 класс Учебник, авторы: Алимов Шавкат Арифджанович, Колягин Юрий Михайлович, Ткачева Мария Владимировна, Федорова Надежда Евгеньевна, Шабунин Михаил Иванович, издательство Просвещение, Москва, 2014

Авторы: Алимов Ш. А., Колягин Ю. М., Ткачева М. В., Федорова Н. Е., Шабунин М. И.

Тип: Учебник

Издательство: Просвещение

Год издания: 2014 - 2025

Уровень обучения: базовый и углублённый

Цвет обложки: синий, фиолетовый

ISBN: 978-5-09-112136-0

Допущено Министерством просвещения Российской Федерации

Математика: алгебра и начала математического анализа, геометрия

Популярные ГДЗ в 10 классе

Глава 6. Тригонометрические уравнения. Параграф 36. Решение тригонометрических уравнений - номер 630, страница 192.

№630 (с. 192)
Условие. №630 (с. 192)
скриншот условия
Алгебра, 10-11 класс Учебник, авторы: Алимов Шавкат Арифджанович, Колягин Юрий Михайлович, Ткачева Мария Владимировна, Федорова Надежда Евгеньевна, Шабунин Михаил Иванович, издательство Просвещение, Москва, 2014, страница 192, номер 630, Условие

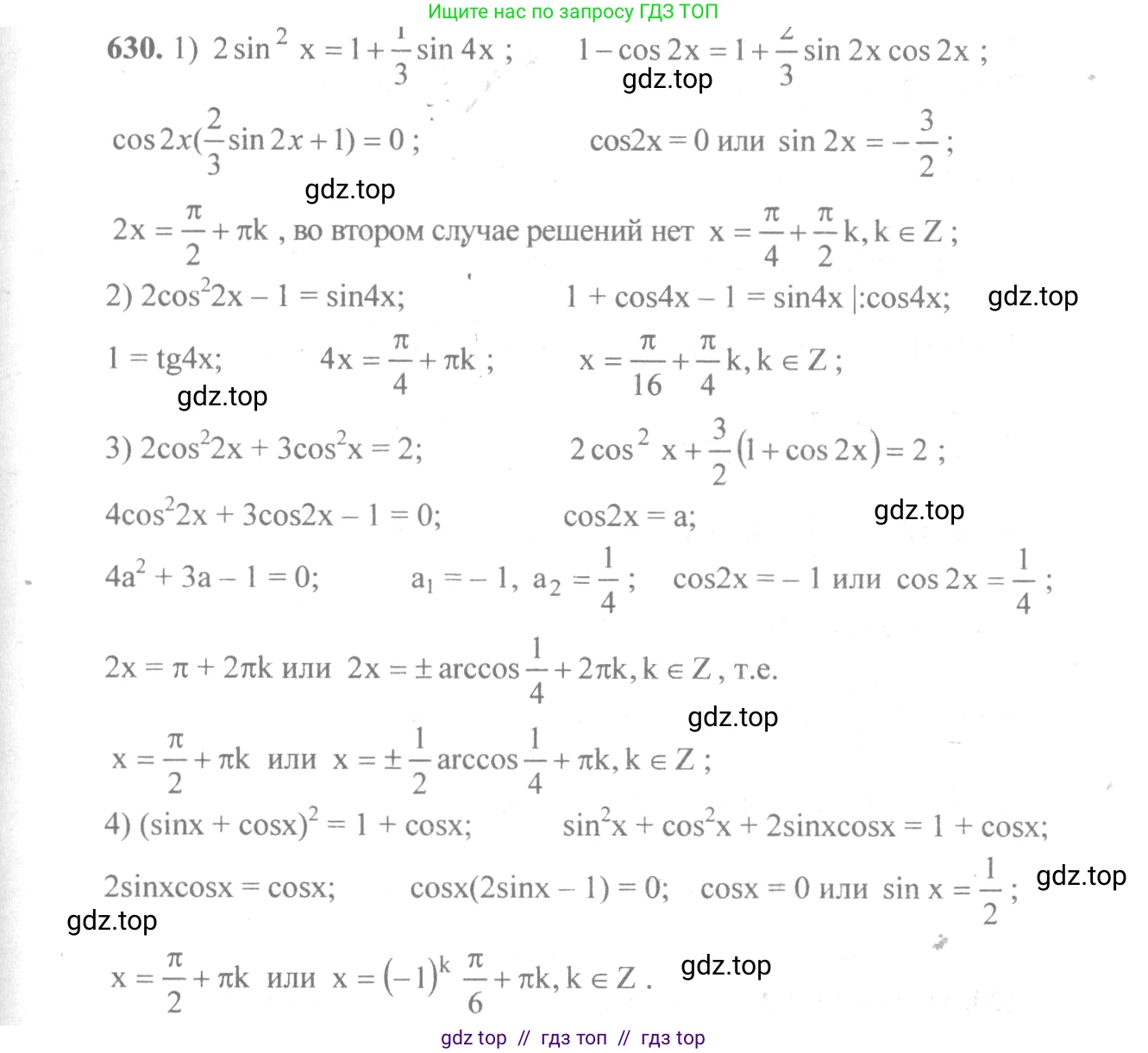
630 1) $2 \sin^2 x = 1 + \frac{1}{3} \sin 4x;$

2) $2 \cos^2 2x - 1 = \sin 4x;$

3) $2 \cos^2 2x + 3 \cos^2 x = 2;$

4) $(\sin x + \cos x)^2 = 1 + \cos x.$

Решение 1. №630 (с. 192)
Алгебра, 10-11 класс Учебник, авторы: Алимов Шавкат Арифджанович, Колягин Юрий Михайлович, Ткачева Мария Владимировна, Федорова Надежда Евгеньевна, Шабунин Михаил Иванович, издательство Просвещение, Москва, 2014, страница 192, номер 630, Решение 1
Алгебра, 10-11 класс Учебник, авторы: Алимов Шавкат Арифджанович, Колягин Юрий Михайлович, Ткачева Мария Владимировна, Федорова Надежда Евгеньевна, Шабунин Михаил Иванович, издательство Просвещение, Москва, 2014, страница 192, номер 630, Решение 1 (продолжение 2)
Алгебра, 10-11 класс Учебник, авторы: Алимов Шавкат Арифджанович, Колягин Юрий Михайлович, Ткачева Мария Владимировна, Федорова Надежда Евгеньевна, Шабунин Михаил Иванович, издательство Просвещение, Москва, 2014, страница 192, номер 630, Решение 1 (продолжение 3)
Алгебра, 10-11 класс Учебник, авторы: Алимов Шавкат Арифджанович, Колягин Юрий Михайлович, Ткачева Мария Владимировна, Федорова Надежда Евгеньевна, Шабунин Михаил Иванович, издательство Просвещение, Москва, 2014, страница 192, номер 630, Решение 1 (продолжение 4)
Решение 2. №630 (с. 192)
Алгебра, 10-11 класс Учебник, авторы: Алимов Шавкат Арифджанович, Колягин Юрий Михайлович, Ткачева Мария Владимировна, Федорова Надежда Евгеньевна, Шабунин Михаил Иванович, издательство Просвещение, Москва, 2014, страница 192, номер 630, Решение 2
Алгебра, 10-11 класс Учебник, авторы: Алимов Шавкат Арифджанович, Колягин Юрий Михайлович, Ткачева Мария Владимировна, Федорова Надежда Евгеньевна, Шабунин Михаил Иванович, издательство Просвещение, Москва, 2014, страница 192, номер 630, Решение 2 (продолжение 2)
Решение 4. №630 (с. 192)
Алгебра, 10-11 класс Учебник, авторы: Алимов Шавкат Арифджанович, Колягин Юрий Михайлович, Ткачева Мария Владимировна, Федорова Надежда Евгеньевна, Шабунин Михаил Иванович, издательство Просвещение, Москва, 2014, страница 192, номер 630, Решение 4
Алгебра, 10-11 класс Учебник, авторы: Алимов Шавкат Арифджанович, Колягин Юрий Михайлович, Ткачева Мария Владимировна, Федорова Надежда Евгеньевна, Шабунин Михаил Иванович, издательство Просвещение, Москва, 2014, страница 192, номер 630, Решение 4 (продолжение 2)
Решение 5. №630 (с. 192)
Алгебра, 10-11 класс Учебник, авторы: Алимов Шавкат Арифджанович, Колягин Юрий Михайлович, Ткачева Мария Владимировна, Федорова Надежда Евгеньевна, Шабунин Михаил Иванович, издательство Просвещение, Москва, 2014, страница 192, номер 630, Решение 5
Решение 7. №630 (с. 192)
Алгебра, 10-11 класс Учебник, авторы: Алимов Шавкат Арифджанович, Колягин Юрий Михайлович, Ткачева Мария Владимировна, Федорова Надежда Евгеньевна, Шабунин Михаил Иванович, издательство Просвещение, Москва, 2014, страница 192, номер 630, Решение 7 Алгебра, 10-11 класс Учебник, авторы: Алимов Шавкат Арифджанович, Колягин Юрий Михайлович, Ткачева Мария Владимировна, Федорова Надежда Евгеньевна, Шабунин Михаил Иванович, издательство Просвещение, Москва, 2014, страница 192, номер 630, Решение 7 (продолжение 2) Алгебра, 10-11 класс Учебник, авторы: Алимов Шавкат Арифджанович, Колягин Юрий Михайлович, Ткачева Мария Владимировна, Федорова Надежда Евгеньевна, Шабунин Михаил Иванович, издательство Просвещение, Москва, 2014, страница 192, номер 630, Решение 7 (продолжение 3)
Решение 8. №630 (с. 192)

1) $2 \sin^2 x = 1 + \frac{1}{3} \sin 4x$

Для решения данного уравнения используем тригонометрические формулы. Формула понижения степени для синуса: $2 \sin^2 x = 1 - \cos 2x$. Формула двойного угла для синуса: $\sin 4x = 2 \sin 2x \cos 2x$.

Подставим эти выражения в исходное уравнение:
$1 - \cos 2x = 1 + \frac{1}{3} (2 \sin 2x \cos 2x)$

Упростим полученное уравнение:
$-\cos 2x = \frac{2}{3} \sin 2x \cos 2x$
$\frac{2}{3} \sin 2x \cos 2x + \cos 2x = 0$

Вынесем $\cos 2x$ за скобки:
$\cos 2x \left( \frac{2}{3} \sin 2x + 1 \right) = 0$

Произведение равно нулю, когда хотя бы один из множителей равен нулю. Рассмотрим два случая:

1. $\cos 2x = 0$
$2x = \frac{\pi}{2} + \pi k$, где $k \in \mathbb{Z}$
$x = \frac{\pi}{4} + \frac{\pi k}{2}$, где $k \in \mathbb{Z}$

2. $\frac{2}{3} \sin 2x + 1 = 0$
$\sin 2x = -\frac{3}{2}$
Это уравнение не имеет решений, так как область значений функции синуса $[-1, 1]$, а $-\frac{3}{2} < -1$.

Таким образом, решением исходного уравнения является только первая серия корней.
Ответ: $x = \frac{\pi}{4} + \frac{\pi k}{2}, k \in \mathbb{Z}$.

2) $2 \cos^2 2x - 1 = \sin 4x$

Воспользуемся формулой двойного угла для косинуса: $\cos 2\alpha = 2 \cos^2 \alpha - 1$. В нашем случае $\alpha = 2x$, поэтому левая часть уравнения равна $\cos(2 \cdot 2x) = \cos 4x$.

Уравнение принимает вид:
$\cos 4x = \sin 4x$

Разделим обе части уравнения на $\cos 4x$. Это можно сделать, так как если $\cos 4x = 0$, то из уравнения следовало бы, что и $\sin 4x = 0$, что невозможно одновременно согласно основному тригонометрическому тождеству $\sin^2 4x + \cos^2 4x = 1$.
$\frac{\sin 4x}{\cos 4x} = 1$
$\tan 4x = 1$

Найдем решение для $x$:
$4x = \arctan(1) + \pi k$, где $k \in \mathbb{Z}$
$4x = \frac{\pi}{4} + \pi k$
$x = \frac{\pi}{16} + \frac{\pi k}{4}$, где $k \in \mathbb{Z}$

Ответ: $x = \frac{\pi}{16} + \frac{\pi k}{4}, k \in \mathbb{Z}$.

3) $2 \cos^2 2x + 3 \cos^2 x = 2$

Приведем все тригонометрические функции к одному аргументу $2x$, используя формулу понижения степени для косинуса: $\cos^2 x = \frac{1 + \cos 2x}{2}$.

Подставим это в уравнение:
$2 \cos^2 2x + 3 \left( \frac{1 + \cos 2x}{2} \right) = 2$

Умножим обе части уравнения на 2, чтобы избавиться от дроби:
$4 \cos^2 2x + 3(1 + \cos 2x) = 4$
$4 \cos^2 2x + 3 + 3 \cos 2x = 4$
$4 \cos^2 2x + 3 \cos 2x - 1 = 0$

Сделаем замену переменной $t = \cos 2x$, где $|t| \le 1$. Получим квадратное уравнение:
$4t^2 + 3t - 1 = 0$

Решим его с помощью дискриминанта:
$D = 3^2 - 4 \cdot 4 \cdot (-1) = 9 + 16 = 25$
$t_{1,2} = \frac{-3 \pm \sqrt{25}}{2 \cdot 4} = \frac{-3 \pm 5}{8}$
$t_1 = \frac{-3 + 5}{8} = \frac{2}{8} = \frac{1}{4}$
$t_2 = \frac{-3 - 5}{8} = \frac{-8}{8} = -1$

Оба корня удовлетворяют условию $|t| \le 1$. Вернемся к замене:

1. $\cos 2x = \frac{1}{4}$
$2x = \pm \arccos\left(\frac{1}{4}\right) + 2\pi k$, где $k \in \mathbb{Z}$
$x = \pm \frac{1}{2} \arccos\left(\frac{1}{4}\right) + \pi k$, где $k \in \mathbb{Z}$

2. $\cos 2x = -1$
$2x = \pi + 2\pi k$, где $k \in \mathbb{Z}$
$x = \frac{\pi}{2} + \pi k$, где $k \in \mathbb{Z}$

Ответ: $x = \pm \frac{1}{2} \arccos\left(\frac{1}{4}\right) + \pi k, k \in \mathbb{Z}$; $x = \frac{\pi}{2} + \pi k, k \in \mathbb{Z}$.

4) $(\sin x + \cos x)^2 = 1 + \cos x$

Раскроем скобки в левой части уравнения, используя формулу квадрата суммы:
$\sin^2 x + 2 \sin x \cos x + \cos^2 x = 1 + \cos x$

Применим основное тригонометрическое тождество $\sin^2 x + \cos^2 x = 1$:
$1 + 2 \sin x \cos x = 1 + \cos x$

Упростим уравнение:
$2 \sin x \cos x - \cos x = 0$

Вынесем $\cos x$ за скобки:
$\cos x (2 \sin x - 1) = 0$

Произведение равно нулю, когда один из множителей равен нулю.

1. $\cos x = 0$
$x = \frac{\pi}{2} + \pi k$, где $k \in \mathbb{Z}$

2. $2 \sin x - 1 = 0$
$\sin x = \frac{1}{2}$
$x = (-1)^k \frac{\pi}{6} + \pi k$, где $k \in \mathbb{Z}$

Ответ: $x = \frac{\pi}{2} + \pi k, k \in \mathbb{Z}$; $x = (-1)^k \frac{\pi}{6} + \pi k, k \in \mathbb{Z}$.

Помогло решение? Оставьте отзыв в комментариях ниже.

Присоединяйтесь к Телеграм-группе @top_gdz

Присоединиться

Мы подготовили для вас ответ c подробным объяснением домашего задания по алгебре за 10-11 класс, для упражнения номер 630 расположенного на странице 192 к учебнику 2014 года издания для учащихся школ и гимназий.

Теперь на нашем сайте ГДЗ.ТОП вы всегда легко и бесплатно найдёте условие с правильным ответом на вопрос «Как решить ДЗ» и «Как сделать» задание по алгебре к упражнению №630 (с. 192), авторов: Алимов (Шавкат Арифджанович), Колягин (Юрий Михайлович), Ткачева (Мария Владимировна), Федорова (Надежда Евгеньевна), Шабунин (Михаил Иванович), ФГОС (старый) базовый и углублённый уровень обучения учебного пособия издательства Просвещение.