Номер 64, страница 32 - гдз по алгебре 10-11 класс учебник Алимов, Колягин

Алгебра, 10-11 класс Учебник, авторы: Алимов Шавкат Арифджанович, Колягин Юрий Михайлович, Ткачева Мария Владимировна, Федорова Надежда Евгеньевна, Шабунин Михаил Иванович, издательство Просвещение, Москва, 2014

Авторы: Алимов Ш. А., Колягин Ю. М., Ткачева М. В., Федорова Н. Е., Шабунин М. И.

Тип: Учебник

Издательство: Просвещение

Год издания: 2014 - 2025

Уровень обучения: базовый и углублённый

Цвет обложки: синий, фиолетовый

ISBN: 978-5-09-112136-0

Допущено Министерством просвещения Российской Федерации

Математика: алгебра и начала математического анализа, геометрия

Популярные ГДЗ в 10 классе

Глава 1. Действительные числа. Параграф 5. Степень с рациональным и действительным показателями - номер 64, страница 32.

№64 (с. 32)
Условие. №64 (с. 32)
скриншот условия
Алгебра, 10-11 класс Учебник, авторы: Алимов Шавкат Арифджанович, Колягин Юрий Михайлович, Ткачева Мария Владимировна, Федорова Надежда Евгеньевна, Шабунин Михаил Иванович, издательство Просвещение, Москва, 2014, страница 32, номер 64, Условие

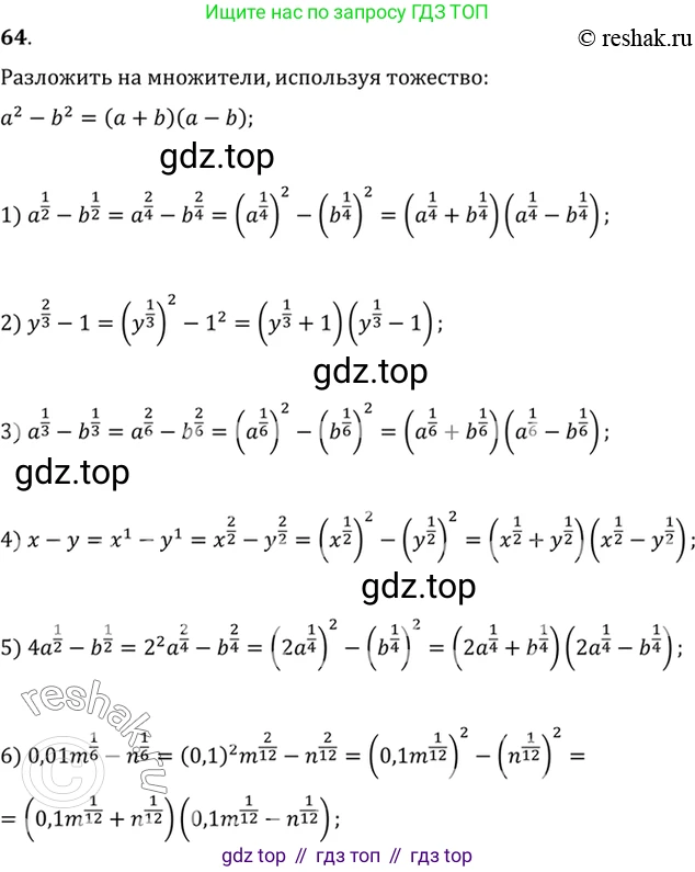
64 Пользуясь тождеством $a^2 - b^2 = (a + b) (a - b)$, разложить на множители:

1) $a^{\frac{1}{2}} - b^{\frac{1}{2}};$

2) $y^{\frac{2}{3}} - 1;$

3) $a^{\frac{1}{3}} - b^{\frac{1}{3}};$

4) $x - y;$

5) $4a^{\frac{1}{2}} - b^{\frac{1}{2}};$

6) $0,01m^{\frac{1}{6}} - n^{\frac{1}{6}}.$

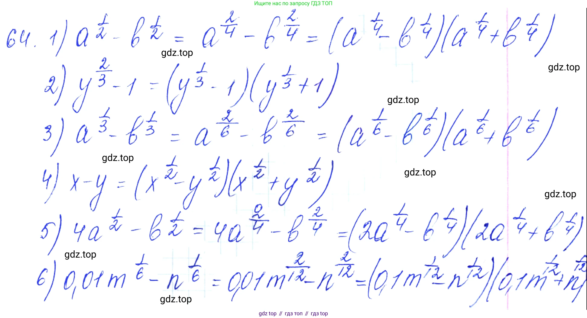
Решение 1. №64 (с. 32)
Алгебра, 10-11 класс Учебник, авторы: Алимов Шавкат Арифджанович, Колягин Юрий Михайлович, Ткачева Мария Владимировна, Федорова Надежда Евгеньевна, Шабунин Михаил Иванович, издательство Просвещение, Москва, 2014, страница 32, номер 64, Решение 1
Алгебра, 10-11 класс Учебник, авторы: Алимов Шавкат Арифджанович, Колягин Юрий Михайлович, Ткачева Мария Владимировна, Федорова Надежда Евгеньевна, Шабунин Михаил Иванович, издательство Просвещение, Москва, 2014, страница 32, номер 64, Решение 1 (продолжение 2)
Алгебра, 10-11 класс Учебник, авторы: Алимов Шавкат Арифджанович, Колягин Юрий Михайлович, Ткачева Мария Владимировна, Федорова Надежда Евгеньевна, Шабунин Михаил Иванович, издательство Просвещение, Москва, 2014, страница 32, номер 64, Решение 1 (продолжение 3)
Алгебра, 10-11 класс Учебник, авторы: Алимов Шавкат Арифджанович, Колягин Юрий Михайлович, Ткачева Мария Владимировна, Федорова Надежда Евгеньевна, Шабунин Михаил Иванович, издательство Просвещение, Москва, 2014, страница 32, номер 64, Решение 1 (продолжение 4)
Алгебра, 10-11 класс Учебник, авторы: Алимов Шавкат Арифджанович, Колягин Юрий Михайлович, Ткачева Мария Владимировна, Федорова Надежда Евгеньевна, Шабунин Михаил Иванович, издательство Просвещение, Москва, 2014, страница 32, номер 64, Решение 1 (продолжение 5) Алгебра, 10-11 класс Учебник, авторы: Алимов Шавкат Арифджанович, Колягин Юрий Михайлович, Ткачева Мария Владимировна, Федорова Надежда Евгеньевна, Шабунин Михаил Иванович, издательство Просвещение, Москва, 2014, страница 32, номер 64, Решение 1 (продолжение 6)
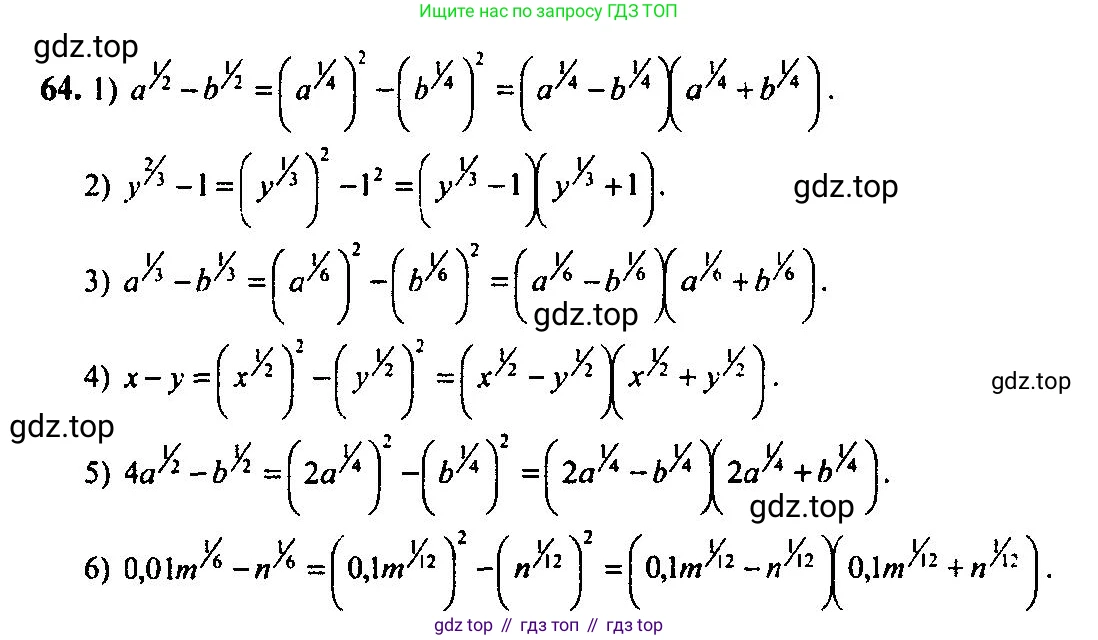
Решение 2. №64 (с. 32)
Алгебра, 10-11 класс Учебник, авторы: Алимов Шавкат Арифджанович, Колягин Юрий Михайлович, Ткачева Мария Владимировна, Федорова Надежда Евгеньевна, Шабунин Михаил Иванович, издательство Просвещение, Москва, 2014, страница 32, номер 64, Решение 2
Алгебра, 10-11 класс Учебник, авторы: Алимов Шавкат Арифджанович, Колягин Юрий Михайлович, Ткачева Мария Владимировна, Федорова Надежда Евгеньевна, Шабунин Михаил Иванович, издательство Просвещение, Москва, 2014, страница 32, номер 64, Решение 2 (продолжение 2)
Решение 4. №64 (с. 32)
Алгебра, 10-11 класс Учебник, авторы: Алимов Шавкат Арифджанович, Колягин Юрий Михайлович, Ткачева Мария Владимировна, Федорова Надежда Евгеньевна, Шабунин Михаил Иванович, издательство Просвещение, Москва, 2014, страница 32, номер 64, Решение 4
Решение 5. №64 (с. 32)
Алгебра, 10-11 класс Учебник, авторы: Алимов Шавкат Арифджанович, Колягин Юрий Михайлович, Ткачева Мария Владимировна, Федорова Надежда Евгеньевна, Шабунин Михаил Иванович, издательство Просвещение, Москва, 2014, страница 32, номер 64, Решение 5
Решение 6. №64 (с. 32)
Алгебра, 10-11 класс Учебник, авторы: Алимов Шавкат Арифджанович, Колягин Юрий Михайлович, Ткачева Мария Владимировна, Федорова Надежда Евгеньевна, Шабунин Михаил Иванович, издательство Просвещение, Москва, 2014, страница 32, номер 64, Решение 6
Решение 7. №64 (с. 32)
Алгебра, 10-11 класс Учебник, авторы: Алимов Шавкат Арифджанович, Колягин Юрий Михайлович, Ткачева Мария Владимировна, Федорова Надежда Евгеньевна, Шабунин Михаил Иванович, издательство Просвещение, Москва, 2014, страница 32, номер 64, Решение 7
Решение 8. №64 (с. 32)

Для разложения на множители данных выражений воспользуемся тождеством разности квадратов $A^2 - B^2 = (A - B)(A + B)$. Основная идея заключается в том, чтобы представить каждый член исходного выражения в виде квадрата, используя свойство степеней $(x^m)^n = x^{m \cdot n}$.

1) $a^{\frac{1}{2}} - b^{\frac{1}{2}}$

Представим каждый член выражения в виде квадрата. Для этого заметим, что показатель степени $\frac{1}{2}$ можно записать как $2 \cdot \frac{1}{4}$.

$a^{\frac{1}{2}} = a^{2 \cdot \frac{1}{4}} = (a^{\frac{1}{4}})^2$

$b^{\frac{1}{2}} = b^{2 \cdot \frac{1}{4}} = (b^{\frac{1}{4}})^2$

Таким образом, исходное выражение можно переписать в следующем виде:

$a^{\frac{1}{2}} - b^{\frac{1}{2}} = (a^{\frac{1}{4}})^2 - (b^{\frac{1}{4}})^2$

Теперь применим формулу разности квадратов, где в роли $A$ выступает $a^{\frac{1}{4}}$, а в роли $B$ — $b^{\frac{1}{4}}$:

$(a^{\frac{1}{4}} - b^{\frac{1}{4}})(a^{\frac{1}{4}} + b^{\frac{1}{4}})$

Ответ: $(a^{\frac{1}{4}} - b^{\frac{1}{4}})(a^{\frac{1}{4}} + b^{\frac{1}{4}})$.

2) $y^{\frac{2}{3}} - 1$

Представим каждый член в виде квадрата. Используем то, что $\frac{2}{3} = 2 \cdot \frac{1}{3}$ и $1 = 1^2$.

$y^{\frac{2}{3}} = (y^{\frac{1}{3}})^2$

Тогда выражение принимает вид:

$y^{\frac{2}{3}} - 1 = (y^{\frac{1}{3}})^2 - 1^2$

Применяя формулу разности квадратов при $A = y^{\frac{1}{3}}$ и $B = 1$, получаем:

$(y^{\frac{1}{3}} - 1)(y^{\frac{1}{3}} + 1)$

Ответ: $(y^{\frac{1}{3}} - 1)(y^{\frac{1}{3}} + 1)$.

3) $a^{\frac{1}{3}} - b^{\frac{1}{3}}$

Представим каждый член в виде квадрата, записав показатель $\frac{1}{3}$ как $2 \cdot \frac{1}{6}$.

$a^{\frac{1}{3}} = a^{2 \cdot \frac{1}{6}} = (a^{\frac{1}{6}})^2$

$b^{\frac{1}{3}} = b^{2 \cdot \frac{1}{6}} = (b^{\frac{1}{6}})^2$

Подставляем в исходное выражение:

$a^{\frac{1}{3}} - b^{\frac{1}{3}} = (a^{\frac{1}{6}})^2 - (b^{\frac{1}{6}})^2$

Применяем формулу разности квадратов для $A = a^{\frac{1}{6}}$ и $B = b^{\frac{1}{6}}$:

$(a^{\frac{1}{6}} - b^{\frac{1}{6}})(a^{\frac{1}{6}} + b^{\frac{1}{6}})$

Ответ: $(a^{\frac{1}{6}} - b^{\frac{1}{6}})(a^{\frac{1}{6}} + b^{\frac{1}{6}})$.

4) $x - y$

Предполагая, что $x \ge 0$ и $y \ge 0$, представим каждое слагаемое в виде квадрата.

$x = (\sqrt{x})^2 = (x^{\frac{1}{2}})^2$

$y = (\sqrt{y})^2 = (y^{\frac{1}{2}})^2$

Исходное выражение можно записать как:

$x - y = (x^{\frac{1}{2}})^2 - (y^{\frac{1}{2}})^2$

Применяя формулу разности квадратов, где $A = x^{\frac{1}{2}}$ и $B = y^{\frac{1}{2}}$, получаем:

$(x^{\frac{1}{2}} - y^{\frac{1}{2}})(x^{\frac{1}{2}} + y^{\frac{1}{2}})$

Ответ: $(x^{\frac{1}{2}} - y^{\frac{1}{2}})(x^{\frac{1}{2}} + y^{\frac{1}{2}})$.

5) $4a^{\frac{1}{2}} - b^{\frac{1}{2}}$

Представим каждый член выражения в виде квадрата. Учтем, что $4=2^2$ и $\frac{1}{2} = 2 \cdot \frac{1}{4}$.

$4a^{\frac{1}{2}} = 2^2 \cdot a^{2 \cdot \frac{1}{4}} = 2^2 \cdot (a^{\frac{1}{4}})^2 = (2a^{\frac{1}{4}})^2$

$b^{\frac{1}{2}} = (b^{\frac{1}{4}})^2$

Выражение принимает вид:

$4a^{\frac{1}{2}} - b^{\frac{1}{2}} = (2a^{\frac{1}{4}})^2 - (b^{\frac{1}{4}})^2$

Применяя формулу разности квадратов, где $A = 2a^{\frac{1}{4}}$ и $B = b^{\frac{1}{4}}$, получаем:

$(2a^{\frac{1}{4}} - b^{\frac{1}{4}})(2a^{\frac{1}{4}} + b^{\frac{1}{4}})$

Ответ: $(2a^{\frac{1}{4}} - b^{\frac{1}{4}})(2a^{\frac{1}{4}} + b^{\frac{1}{4}})$.

6) $0.01m^{\frac{1}{6}} - n^{\frac{1}{6}}$

Представим каждый член в виде квадрата. Учтем, что $0.01 = 0.1^2$ и $\frac{1}{6} = 2 \cdot \frac{1}{12}$.

$0.01m^{\frac{1}{6}} = (0.1)^2 \cdot m^{2 \cdot \frac{1}{12}} = (0.1)^2 \cdot (m^{\frac{1}{12}})^2 = (0.1m^{\frac{1}{12}})^2$

$n^{\frac{1}{6}} = n^{2 \cdot \frac{1}{12}} = (n^{\frac{1}{12}})^2$

Подставляем в исходное выражение:

$0.01m^{\frac{1}{6}} - n^{\frac{1}{6}} = (0.1m^{\frac{1}{12}})^2 - (n^{\frac{1}{12}})^2$

Применяя формулу разности квадратов, где $A = 0.1m^{\frac{1}{12}}$ и $B = n^{\frac{1}{12}}$, получаем:

$(0.1m^{\frac{1}{12}} - n^{\frac{1}{12}})(0.1m^{\frac{1}{12}} + n^{\frac{1}{12}})$

Ответ: $(0.1m^{\frac{1}{12}} - n^{\frac{1}{12}})(0.1m^{\frac{1}{12}} + n^{\frac{1}{12}})$.

Помогло решение? Оставьте отзыв в комментариях ниже.

Присоединяйтесь к Телеграм-группе @top_gdz

Присоединиться

Мы подготовили для вас ответ c подробным объяснением домашего задания по алгебре за 10-11 класс, для упражнения номер 64 расположенного на странице 32 к учебнику 2014 года издания для учащихся школ и гимназий.

Теперь на нашем сайте ГДЗ.ТОП вы всегда легко и бесплатно найдёте условие с правильным ответом на вопрос «Как решить ДЗ» и «Как сделать» задание по алгебре к упражнению №64 (с. 32), авторов: Алимов (Шавкат Арифджанович), Колягин (Юрий Михайлович), Ткачева (Мария Владимировна), Федорова (Надежда Евгеньевна), Шабунин (Михаил Иванович), ФГОС (старый) базовый и углублённый уровень обучения учебного пособия издательства Просвещение.