Номер 673, страница 198 - гдз по алгебре 10-11 класс учебник Алимов, Колягин

Алгебра, 10-11 класс Учебник, авторы: Алимов Шавкат Арифджанович, Колягин Юрий Михайлович, Ткачева Мария Владимировна, Федорова Надежда Евгеньевна, Шабунин Михаил Иванович, издательство Просвещение, Москва, 2014

Авторы: Алимов Ш. А., Колягин Ю. М., Ткачева М. В., Федорова Н. Е., Шабунин М. И.

Тип: Учебник

Издательство: Просвещение

Год издания: 2014 - 2025

Уровень обучения: базовый и углублённый

Цвет обложки: синий, фиолетовый

ISBN: 978-5-09-112136-0

Допущено Министерством просвещения Российской Федерации

Математика: алгебра и начала математического анализа, геометрия

Популярные ГДЗ в 10 классе

Глава 6. Тригонометрические уравнения. Упражнения к главе 6 - номер 673, страница 198.

№673 (с. 198)
Условие. №673 (с. 198)
скриншот условия
Алгебра, 10-11 класс Учебник, авторы: Алимов Шавкат Арифджанович, Колягин Юрий Михайлович, Ткачева Мария Владимировна, Федорова Надежда Евгеньевна, Шабунин Михаил Иванович, издательство Просвещение, Москва, 2014, страница 198, номер 673, Условие

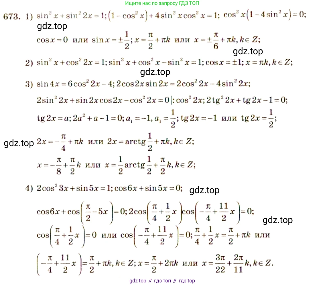
673 1) sin2x+sin22x=1; \sin^2 x + \sin^2 2x = 1;

2) sin2x+cos22x=1; \sin^2 x + \cos^2 2x = 1;

3) sin4x=6cos22x4; \sin 4x = 6 \cos^2 2x - 4;

4) 2cos23x+sin5x=1. 2 \cos^2 3x + \sin 5x = 1.

Решение 1. №673 (с. 198)
Алгебра, 10-11 класс Учебник, авторы: Алимов Шавкат Арифджанович, Колягин Юрий Михайлович, Ткачева Мария Владимировна, Федорова Надежда Евгеньевна, Шабунин Михаил Иванович, издательство Просвещение, Москва, 2014, страница 198, номер 673, Решение 1
Алгебра, 10-11 класс Учебник, авторы: Алимов Шавкат Арифджанович, Колягин Юрий Михайлович, Ткачева Мария Владимировна, Федорова Надежда Евгеньевна, Шабунин Михаил Иванович, издательство Просвещение, Москва, 2014, страница 198, номер 673, Решение 1 (продолжение 2)
Алгебра, 10-11 класс Учебник, авторы: Алимов Шавкат Арифджанович, Колягин Юрий Михайлович, Ткачева Мария Владимировна, Федорова Надежда Евгеньевна, Шабунин Михаил Иванович, издательство Просвещение, Москва, 2014, страница 198, номер 673, Решение 1 (продолжение 3)
Алгебра, 10-11 класс Учебник, авторы: Алимов Шавкат Арифджанович, Колягин Юрий Михайлович, Ткачева Мария Владимировна, Федорова Надежда Евгеньевна, Шабунин Михаил Иванович, издательство Просвещение, Москва, 2014, страница 198, номер 673, Решение 1 (продолжение 4)
Решение 2. №673 (с. 198)
Алгебра, 10-11 класс Учебник, авторы: Алимов Шавкат Арифджанович, Колягин Юрий Михайлович, Ткачева Мария Владимировна, Федорова Надежда Евгеньевна, Шабунин Михаил Иванович, издательство Просвещение, Москва, 2014, страница 198, номер 673, Решение 2
Алгебра, 10-11 класс Учебник, авторы: Алимов Шавкат Арифджанович, Колягин Юрий Михайлович, Ткачева Мария Владимировна, Федорова Надежда Евгеньевна, Шабунин Михаил Иванович, издательство Просвещение, Москва, 2014, страница 198, номер 673, Решение 2 (продолжение 2)
Алгебра, 10-11 класс Учебник, авторы: Алимов Шавкат Арифджанович, Колягин Юрий Михайлович, Ткачева Мария Владимировна, Федорова Надежда Евгеньевна, Шабунин Михаил Иванович, издательство Просвещение, Москва, 2014, страница 198, номер 673, Решение 2 (продолжение 3)
Решение 4. №673 (с. 198)
Алгебра, 10-11 класс Учебник, авторы: Алимов Шавкат Арифджанович, Колягин Юрий Михайлович, Ткачева Мария Владимировна, Федорова Надежда Евгеньевна, Шабунин Михаил Иванович, издательство Просвещение, Москва, 2014, страница 198, номер 673, Решение 4
Решение 5. №673 (с. 198)
Алгебра, 10-11 класс Учебник, авторы: Алимов Шавкат Арифджанович, Колягин Юрий Михайлович, Ткачева Мария Владимировна, Федорова Надежда Евгеньевна, Шабунин Михаил Иванович, издательство Просвещение, Москва, 2014, страница 198, номер 673, Решение 5
Решение 7. №673 (с. 198)
Алгебра, 10-11 класс Учебник, авторы: Алимов Шавкат Арифджанович, Колягин Юрий Михайлович, Ткачева Мария Владимировна, Федорова Надежда Евгеньевна, Шабунин Михаил Иванович, издательство Просвещение, Москва, 2014, страница 198, номер 673, Решение 7 Алгебра, 10-11 класс Учебник, авторы: Алимов Шавкат Арифджанович, Колягин Юрий Михайлович, Ткачева Мария Владимировна, Федорова Надежда Евгеньевна, Шабунин Михаил Иванович, издательство Просвещение, Москва, 2014, страница 198, номер 673, Решение 7 (продолжение 2) Алгебра, 10-11 класс Учебник, авторы: Алимов Шавкат Арифджанович, Колягин Юрий Михайлович, Ткачева Мария Владимировна, Федорова Надежда Евгеньевна, Шабунин Михаил Иванович, издательство Просвещение, Москва, 2014, страница 198, номер 673, Решение 7 (продолжение 3) Алгебра, 10-11 класс Учебник, авторы: Алимов Шавкат Арифджанович, Колягин Юрий Михайлович, Ткачева Мария Владимировна, Федорова Надежда Евгеньевна, Шабунин Михаил Иванович, издательство Просвещение, Москва, 2014, страница 198, номер 673, Решение 7 (продолжение 4)
Решение 8. №673 (с. 198)

1) Решим уравнение sin2x+sin22x=1sin^2 x + sin^2 2x = 1.

Используем основное тригонометрическое тождество sin2α+cos2α=1sin^2 \alpha + cos^2 \alpha = 1, чтобы выразить 1sin2x1 - sin^2 x как cos2xcos^2 x.

sin22x=1sin2xsin^2 2x = 1 - sin^2 x

sin22x=cos2xsin^2 2x = cos^2 x

Перенесем все члены в левую часть:

sin22xcos2x=0sin^2 2x - cos^2 x = 0

Применим формулу синуса двойного угла sin2x=2sinxcosxsin 2x = 2 sin x cos x:

(2sinxcosx)2cos2x=0(2 sin x cos x)^2 - cos^2 x = 0

4sin2xcos2xcos2x=04 sin^2 x cos^2 x - cos^2 x = 0

Вынесем общий множитель cos2xcos^2 x за скобки:

cos2x(4sin2x1)=0cos^2 x (4 sin^2 x - 1) = 0

Произведение равно нулю, когда хотя бы один из множителей равен нулю. Это приводит к двум уравнениям:

а) cos2x=0    cosx=0cos^2 x = 0 \implies cos x = 0

Отсюда находим первую серию решений: x=π2+πnx = \frac{\pi}{2} + \pi n, где nZn \in \mathbb{Z}.

б) 4sin2x1=0    sin2x=14    sinx=±124 sin^2 x - 1 = 0 \implies sin^2 x = \frac{1}{4} \implies sin x = \pm \frac{1}{2}

Отсюда находим вторую серию решений: x=±π6+πkx = \pm \frac{\pi}{6} + \pi k, где kZk \in \mathbb{Z}.

Ответ: x=π2+πn,nZ;x=±π6+πk,kZx = \frac{\pi}{2} + \pi n, n \in \mathbb{Z}; \quad x = \pm \frac{\pi}{6} + \pi k, k \in \mathbb{Z}.

2) Решим уравнение sin2x+cos22x=1sin^2 x + cos^2 2x = 1.

Используя основное тригонометрическое тождество, заменим 1sin2x1 - sin^2 x на cos2xcos^2 x.

cos22x=1sin2xcos^2 2x = 1 - sin^2 x

cos22x=cos2xcos^2 2x = cos^2 x

Применим формулу понижения степени cos2α=1+cos(2α)2cos^2 \alpha = \frac{1 + cos(2\alpha)}{2} к обеим частям уравнения:

1+cos(4x)2=1+cos(2x)2\frac{1 + cos(4x)}{2} = \frac{1 + cos(2x)}{2}

Умножим обе части на 2 и упростим:

1+cos(4x)=1+cos(2x)1 + cos(4x) = 1 + cos(2x)

cos(4x)cos(2x)=0cos(4x) - cos(2x) = 0

Воспользуемся формулой разности косинусов cosαcosβ=2sin(α+β2)sin(αβ2)cos \alpha - cos \beta = -2 sin(\frac{\alpha+\beta}{2}) sin(\frac{\alpha-\beta}{2}):

2sin(4x+2x2)sin(4x2x2)=0-2 sin(\frac{4x+2x}{2}) sin(\frac{4x-2x}{2}) = 0

2sin(3x)sin(x)=0-2 sin(3x) sin(x) = 0

Это уравнение распадается на два:

а) sin(x)=0    x=πksin(x) = 0 \implies x = \pi k, где kZk \in \mathbb{Z}.

б) sin(3x)=0    3x=πn    x=πn3sin(3x) = 0 \implies 3x = \pi n \implies x = \frac{\pi n}{3}, где nZn \in \mathbb{Z}.

Заметим, что первая серия решений (x=πkx = \pi k) является подмножеством второй серии (x=πn3x = \frac{\pi n}{3}, когда nn кратно 3). Следовательно, все решения можно описать одной формулой.

Ответ: x=πn3,nZx = \frac{\pi n}{3}, n \in \mathbb{Z}.

3) Решим уравнение sin4x=6cos22x4sin 4x = 6 cos^2 2x - 4.

Применим формулу синуса двойного угла sin4x=2sin(2x)cos(2x)sin 4x = 2 sin(2x) cos(2x).

2sin(2x)cos(2x)=6cos2(2x)42 sin(2x) cos(2x) = 6 cos^2(2x) - 4

Заменим 4 на 4(sin2(2x)+cos2(2x))4(sin^2(2x) + cos^2(2x)) с помощью основного тригонометрического тождества:

2sin(2x)cos(2x)=6cos2(2x)4(sin2(2x)+cos2(2x))2 sin(2x) cos(2x) = 6 cos^2(2x) - 4(sin^2(2x) + cos^2(2x))

2sin(2x)cos(2x)=6cos2(2x)4sin2(2x)4cos2(2x)2 sin(2x) cos(2x) = 6 cos^2(2x) - 4 sin^2(2x) - 4 cos^2(2x)

2sin(2x)cos(2x)=2cos2(2x)4sin2(2x)2 sin(2x) cos(2x) = 2 cos^2(2x) - 4 sin^2(2x)

Перенесем все члены в одну сторону и разделим на 2:

2sin2(2x)+sin(2x)cos(2x)cos2(2x)=02 sin^2(2x) + sin(2x) cos(2x) - cos^2(2x) = 0

Это однородное тригонометрическое уравнение второй степени. Проверим случай, когда cos(2x)=0cos(2x) = 0. Если cos(2x)=0cos(2x) = 0, то sin2(2x)=1sin^2(2x) = 1, и уравнение принимает вид 21+00=202 \cdot 1 + 0 - 0 = 2 \neq 0. Значит, cos(2x)0cos(2x) \neq 0.

Разделим уравнение на cos2(2x)cos^2(2x):

2sin2(2x)cos2(2x)+sin(2x)cos(2x)cos2(2x)cos2(2x)cos2(2x)=02 \frac{sin^2(2x)}{cos^2(2x)} + \frac{sin(2x)cos(2x)}{cos^2(2x)} - \frac{cos^2(2x)}{cos^2(2x)} = 0

2tan2(2x)+tan(2x)1=02 tan^2(2x) + tan(2x) - 1 = 0

Сделаем замену t=tan(2x)t = tan(2x). Получим квадратное уравнение 2t2+t1=02t^2 + t - 1 = 0.

Найдем корни по формуле: t=1±124(2)(1)2(2)=1±94=1±34t = \frac{-1 \pm \sqrt{1^2 - 4(2)(-1)}}{2(2)} = \frac{-1 \pm \sqrt{9}}{4} = \frac{-1 \pm 3}{4}.

Получаем два значения для tt:

t1=1+34=12t_1 = \frac{-1+3}{4} = \frac{1}{2} и t2=134=1t_2 = \frac{-1-3}{4} = -1.

Возвращаемся к переменной xx:

а) tan(2x)=1    2x=π4+πk    x=π8+πk2tan(2x) = -1 \implies 2x = -\frac{\pi}{4} + \pi k \implies x = -\frac{\pi}{8} + \frac{\pi k}{2}, где kZk \in \mathbb{Z}.

б) tan(2x)=12    2x=arctan(12)+πn    x=12arctan(12)+πn2tan(2x) = \frac{1}{2} \implies 2x = arctan(\frac{1}{2}) + \pi n \implies x = \frac{1}{2} arctan(\frac{1}{2}) + \frac{\pi n}{2}, где nZn \in \mathbb{Z}.

Ответ: x=π8+πk2,kZ;x=12arctan(12)+πn2,nZx = -\frac{\pi}{8} + \frac{\pi k}{2}, k \in \mathbb{Z}; \quad x = \frac{1}{2}arctan(\frac{1}{2}) + \frac{\pi n}{2}, n \in \mathbb{Z}.

4) Решим уравнение 2cos23x+sin5x=12 cos^2 3x + sin 5x = 1.

Используем формулу понижения степени 2cos2α=1+cos(2α)2 cos^2 \alpha = 1 + cos(2\alpha):

1+cos(23x)+sin5x=11 + cos(2 \cdot 3x) + sin 5x = 1

cos(6x)+sin5x=0cos(6x) + sin 5x = 0

cos(6x)=sin(5x)cos(6x) = -sin(5x)

Воспользуемся формулой приведения sinα=cos(π2α)sin \alpha = cos(\frac{\pi}{2} - \alpha). Сначала используем нечетность синуса: sin(5x)=sin(5x)-sin(5x) = sin(-5x).

cos(6x)=sin(5x)cos(6x) = sin(-5x)

cos(6x)=cos(π2(5x))cos(6x) = cos(\frac{\pi}{2} - (-5x))

cos(6x)=cos(π2+5x)cos(6x) = cos(\frac{\pi}{2} + 5x)

Равенство косинусов cosA=cosBcos A = cos B выполняется, если A=±B+2πnA = \pm B + 2\pi n.

6x=±(π2+5x)+2πn6x = \pm(\frac{\pi}{2} + 5x) + 2\pi n, где nZn \in \mathbb{Z}.

Рассмотрим два случая:

а) 6x=π2+5x+2πn6x = \frac{\pi}{2} + 5x + 2\pi n

x=π2+2πnx = \frac{\pi}{2} + 2\pi n, где nZn \in \mathbb{Z}.

б) 6x=(π2+5x)+2πk6x = -(\frac{\pi}{2} + 5x) + 2\pi k

6x=π25x+2πk6x = -\frac{\pi}{2} - 5x + 2\pi k

11x=π2+2πk11x = -\frac{\pi}{2} + 2\pi k

x=π22+2πk11x = -\frac{\pi}{22} + \frac{2\pi k}{11}, где kZk \in \mathbb{Z}.

Ответ: x=π2+2πn,nZ;x=π22+2πk11,kZx = \frac{\pi}{2} + 2\pi n, n \in \mathbb{Z}; \quad x = -\frac{\pi}{22} + \frac{2\pi k}{11}, k \in \mathbb{Z}.

Помогло решение? Оставьте отзыв в комментариях ниже.

Присоединяйтесь к Телеграм-группе @top_gdz

Присоединиться

Мы подготовили для вас ответ c подробным объяснением домашего задания по алгебре за 10-11 класс, для упражнения номер 673 расположенного на странице 198 к учебнику 2014 года издания для учащихся школ и гимназий.

Теперь на нашем сайте ГДЗ.ТОП вы всегда легко и бесплатно найдёте условие с правильным ответом на вопрос «Как решить ДЗ» и «Как сделать» задание по алгебре к упражнению №673 (с. 198), авторов: Алимов (Шавкат Арифджанович), Колягин (Юрий Михайлович), Ткачева (Мария Владимировна), Федорова (Надежда Евгеньевна), Шабунин (Михаил Иванович), ФГОС (старый) базовый и углублённый уровень обучения учебного пособия издательства Просвещение.