Номер 680, страница 199 - гдз по алгебре 10-11 класс учебник Алимов, Колягин

Алгебра, 10-11 класс Учебник, авторы: Алимов Шавкат Арифджанович, Колягин Юрий Михайлович, Ткачева Мария Владимировна, Федорова Надежда Евгеньевна, Шабунин Михаил Иванович, издательство Просвещение, Москва, 2014

Авторы: Алимов Ш. А., Колягин Ю. М., Ткачева М. В., Федорова Н. Е., Шабунин М. И.

Тип: Учебник

Издательство: Просвещение

Год издания: 2014 - 2025

Уровень обучения: базовый и углублённый

Цвет обложки: синий, фиолетовый

ISBN: 978-5-09-112136-0

Допущено Министерством просвещения Российской Федерации

Математика: алгебра и начала математического анализа, геометрия

Популярные ГДЗ в 10 классе

Глава 6. Тригонометрические уравнения. Упражнения к главе 6 - номер 680, страница 199.

№680 (с. 199)
Условие. №680 (с. 199)
скриншот условия
Алгебра, 10-11 класс Учебник, авторы: Алимов Шавкат Арифджанович, Колягин Юрий Михайлович, Ткачева Мария Владимировна, Федорова Надежда Евгеньевна, Шабунин Михаил Иванович, издательство Просвещение, Москва, 2014, страница 199, номер 680, Условие

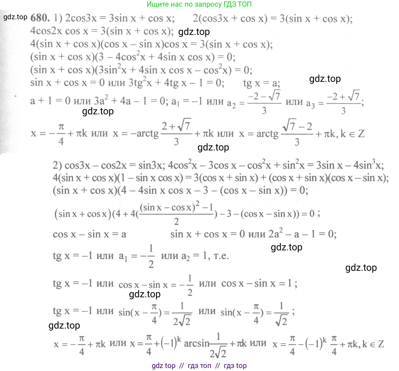
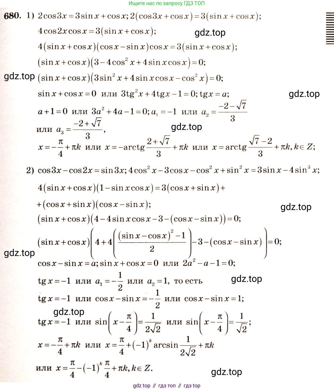
680 1) $2 \cos 3x = 3 \sin x + \cos x;$

2) $\cos 3x - \cos 2x = \sin 3x.$

Решение 1. №680 (с. 199)
Алгебра, 10-11 класс Учебник, авторы: Алимов Шавкат Арифджанович, Колягин Юрий Михайлович, Ткачева Мария Владимировна, Федорова Надежда Евгеньевна, Шабунин Михаил Иванович, издательство Просвещение, Москва, 2014, страница 199, номер 680, Решение 1
Алгебра, 10-11 класс Учебник, авторы: Алимов Шавкат Арифджанович, Колягин Юрий Михайлович, Ткачева Мария Владимировна, Федорова Надежда Евгеньевна, Шабунин Михаил Иванович, издательство Просвещение, Москва, 2014, страница 199, номер 680, Решение 1 (продолжение 2)
Решение 2. №680 (с. 199)
Алгебра, 10-11 класс Учебник, авторы: Алимов Шавкат Арифджанович, Колягин Юрий Михайлович, Ткачева Мария Владимировна, Федорова Надежда Евгеньевна, Шабунин Михаил Иванович, издательство Просвещение, Москва, 2014, страница 199, номер 680, Решение 2
Алгебра, 10-11 класс Учебник, авторы: Алимов Шавкат Арифджанович, Колягин Юрий Михайлович, Ткачева Мария Владимировна, Федорова Надежда Евгеньевна, Шабунин Михаил Иванович, издательство Просвещение, Москва, 2014, страница 199, номер 680, Решение 2 (продолжение 2)
Решение 4. №680 (с. 199)
Алгебра, 10-11 класс Учебник, авторы: Алимов Шавкат Арифджанович, Колягин Юрий Михайлович, Ткачева Мария Владимировна, Федорова Надежда Евгеньевна, Шабунин Михаил Иванович, издательство Просвещение, Москва, 2014, страница 199, номер 680, Решение 4
Решение 5. №680 (с. 199)
Алгебра, 10-11 класс Учебник, авторы: Алимов Шавкат Арифджанович, Колягин Юрий Михайлович, Ткачева Мария Владимировна, Федорова Надежда Евгеньевна, Шабунин Михаил Иванович, издательство Просвещение, Москва, 2014, страница 199, номер 680, Решение 5
Решение 7. №680 (с. 199)
Алгебра, 10-11 класс Учебник, авторы: Алимов Шавкат Арифджанович, Колягин Юрий Михайлович, Ткачева Мария Владимировна, Федорова Надежда Евгеньевна, Шабунин Михаил Иванович, издательство Просвещение, Москва, 2014, страница 199, номер 680, Решение 7 Алгебра, 10-11 класс Учебник, авторы: Алимов Шавкат Арифджанович, Колягин Юрий Михайлович, Ткачева Мария Владимировна, Федорова Надежда Евгеньевна, Шабунин Михаил Иванович, издательство Просвещение, Москва, 2014, страница 199, номер 680, Решение 7 (продолжение 2) Алгебра, 10-11 класс Учебник, авторы: Алимов Шавкат Арифджанович, Колягин Юрий Михайлович, Ткачева Мария Владимировна, Федорова Надежда Евгеньевна, Шабунин Михаил Иванович, издательство Просвещение, Москва, 2014, страница 199, номер 680, Решение 7 (продолжение 3)
Решение 8. №680 (с. 199)

1) $2 \cos 3x = 3 \sin x + \cos x$

Перенесем $\cos x$ в левую часть уравнения:

$2 \cos 3x - \cos x = 3 \sin x$

Воспользуемся формулой косинуса тройного угла: $\cos 3x = 4 \cos^3 x - 3 \cos x$.

$2(4 \cos^3 x - 3 \cos x) - \cos x = 3 \sin x$

$8 \cos^3 x - 6 \cos x - \cos x = 3 \sin x$

$8 \cos^3 x - 7 \cos x = 3 \sin x$

Вынесем $\cos x$ за скобки в левой части:

$\cos x (8 \cos^2 x - 7) = 3 \sin x$

Проверим случай, когда $\cos x = 0$. В этом случае $x = \frac{\pi}{2} + \pi k$, $k \in \mathbb{Z}$. Тогда $\sin x = \pm 1$.
Левая часть уравнения обращается в 0. Правая часть равна $3(\pm 1) = \pm 3$. Равенство $0 = \pm 3$ неверно, следовательно, $\cos x \neq 0$.

Разделим обе части уравнения на $\cos^3 x$, так как мы установили, что $\cos x \neq 0$:

$8 - \frac{7}{\cos^2 x} = \frac{3 \sin x}{\cos^3 x}$

Используя тождества $\frac{1}{\cos^2 x} = 1 + \tan^2 x$ и $\frac{\sin x}{\cos^3 x} = \frac{\sin x}{\cos x} \cdot \frac{1}{\cos^2 x} = \tan x (1 + \tan^2 x)$, сделаем замену $t = \tan x$:

$8 - 7(1 + t^2) = 3t(1 + t^2)$

$8 - 7 - 7t^2 = 3t + 3t^3$

$1 - 7t^2 = 3t + 3t^3$

Перенесем все члены в одну сторону, чтобы получить кубическое уравнение:

$3t^3 + 7t^2 + 3t - 1 = 0$

Попробуем найти целые или рациональные корни. Возможные рациональные корни: $\pm 1, \pm \frac{1}{3}$.
Проверим $t = -1$:
$3(-1)^3 + 7(-1)^2 + 3(-1) - 1 = -3 + 7 - 3 - 1 = 0$.
Так как $t = -1$ является корнем, то многочлен делится на $(t+1)$ без остатка. Выполним деление:

$(3t^3 + 7t^2 + 3t - 1) : (t+1) = 3t^2 + 4t - 1$

Таким образом, уравнение можно записать в виде:

$(t+1)(3t^2 + 4t - 1) = 0$

Отсюда получаем два уравнения:

1) $t+1 = 0 \Rightarrow t = -1$

2) $3t^2 + 4t - 1 = 0$
Найдем дискриминант: $D = 4^2 - 4(3)(-1) = 16 + 12 = 28$.
Корни: $t = \frac{-4 \pm \sqrt{28}}{2 \cdot 3} = \frac{-4 \pm 2\sqrt{7}}{6} = \frac{-2 \pm \sqrt{7}}{3}$.

Теперь найдем значения $x$, соответствующие найденным значениям $t = \tan x$:

1) $\tan x = -1 \Rightarrow x = -\frac{\pi}{4} + \pi n, n \in \mathbb{Z}$

2) $\tan x = \frac{-2 + \sqrt{7}}{3} \Rightarrow x = \arctan\left(\frac{\sqrt{7}-2}{3}\right) + \pi k, k \in \mathbb{Z}$

3) $\tan x = \frac{-2 - \sqrt{7}}{3} \Rightarrow x = \arctan\left(\frac{-2 - \sqrt{7}}{3}\right) + \pi m, m \in \mathbb{Z}$

Ответ: $x = -\frac{\pi}{4} + \pi n$; $x = \arctan\left(\frac{\sqrt{7}-2}{3}\right) + \pi k$; $x = \arctan\left(\frac{-2 - \sqrt{7}}{3}\right) + \pi m$, где $n, k, m \in \mathbb{Z}$.

2) $\cos 3x - \cos 2x = \sin 3x$

Перегруппируем члены уравнения:

$\sin 3x - \cos 3x = -\cos 2x$

Это уравнение можно упростить, сделав подстановку $x = y + \frac{\pi}{4}$. Выразим тригонометрические функции от $2x$ и $3x$ через $y$:

$2x = 2y + \frac{\pi}{2}$

$3x = 3y + \frac{3\pi}{4}$

Преобразуем правую часть уравнения:

$-\cos 2x = -\cos(2y + \frac{\pi}{2}) = -(-\sin 2y) = \sin 2y$

Преобразуем левую часть уравнения, используя формулы приведения и формулу синуса разности:

$\sin 3x - \cos 3x = \sin(3y + \frac{3\pi}{4}) - \cos(3y + \frac{3\pi}{4})$
$\sin(3y + \frac{3\pi}{4}) = \sin(\pi - (3y + \frac{3\pi}{4})) = \sin(\frac{\pi}{4} - 3y)$
$\cos(3y + \frac{3\pi}{4}) = \cos(\pi - (\frac{\pi}{4} - 3y)) = -\cos(\frac{\pi}{4} - 3y)$
Тогда $\sin 3x - \cos 3x = \sin(\frac{\pi}{4} - 3y) - (-\cos(\frac{\pi}{4} - 3y)) = \sin(\frac{\pi}{4} - 3y) + \cos(\frac{\pi}{4} - 3y)$.
Применим метод вспомогательного угла: $\sin \alpha + \cos \alpha = \sqrt{2}\sin(\alpha + \frac{\pi}{4})$.
$\sqrt{2}\sin((\frac{\pi}{4} - 3y) + \frac{\pi}{4}) = \sqrt{2}\sin(\frac{\pi}{2} - 3y) = \sqrt{2}\cos(3y)$.

Итак, исходное уравнение в переменных $y$ принимает вид:

$\sqrt{2}\cos(3y) = \sin(2y)$

Распишем $\cos(3y)$ и $\sin(2y)$:

$\sqrt{2}(4\cos^3 y - 3\cos y) = 2\sin y \cos y$

Перенесем все в одну сторону и вынесем $\cos y$ за скобки:

$\cos y (\sqrt{2}(4\cos^2 y - 3) - 2\sin y) = 0$

Это дает два случая:

I) $\cos y = 0 \Rightarrow y = \frac{\pi}{2} + \pi k, k \in \mathbb{Z}$

II) $\sqrt{2}(4\cos^2 y - 3) - 2\sin y = 0$
Заменим $\cos^2 y = 1 - \sin^2 y$ и введем переменную $s = \sin y$:
$\sqrt{2}(4(1-s^2) - 3) - 2s = 0$
$\sqrt{2}(4-4s^2 - 3) - 2s = 0$
$\sqrt{2}(1-4s^2) - 2s = 0$
$4\sqrt{2}s^2 + 2s - \sqrt{2} = 0$
Найдем дискриминант: $D = 2^2 - 4(4\sqrt{2})(-\sqrt{2}) = 4 + 32 = 36$.
$s = \frac{-2 \pm \sqrt{36}}{2 \cdot 4\sqrt{2}} = \frac{-2 \pm 6}{8\sqrt{2}}$.
$s_1 = \frac{4}{8\sqrt{2}} = \frac{1}{2\sqrt{2}} = \frac{\sqrt{2}}{4}$.
$s_2 = \frac{-8}{8\sqrt{2}} = -\frac{1}{\sqrt{2}} = -\frac{\sqrt{2}}{2}$.

Теперь найдем решения для $y$ из каждого случая:

1) $\cos y = 0 \Rightarrow y = \frac{\pi}{2} + \pi k, k \in \mathbb{Z}$

2) $\sin y = \frac{\sqrt{2}}{4} \Rightarrow y = (-1)^m \arcsin\left(\frac{\sqrt{2}}{4}\right) + \pi m, m \in \mathbb{Z}$

3) $\sin y = -\frac{\sqrt{2}}{2} \Rightarrow y = -\frac{\pi}{4} + 2\pi j$ или $y = \frac{5\pi}{4} + 2\pi j, j \in \mathbb{Z}$

Наконец, вернемся к переменной $x = y + \frac{\pi}{4}$:

1) $x = (\frac{\pi}{2} + \pi k) + \frac{\pi}{4} = \frac{3\pi}{4} + \pi k, k \in \mathbb{Z}$

2) $x = \frac{\pi}{4} + (-1)^m \arcsin\left(\frac{\sqrt{2}}{4}\right) + \pi m, m \in \mathbb{Z}$

3) $x = (-\frac{\pi}{4} + 2\pi j) + \frac{\pi}{4} = 2\pi j, j \in \mathbb{Z}$
$x = (\frac{5\pi}{4} + 2\pi j) + \frac{\pi}{4} = \frac{6\pi}{4} + 2\pi j = \frac{3\pi}{2} + 2\pi j$ (что эквивалентно $-\frac{\pi}{2} + 2\pi j$), $j \in \mathbb{Z}$.

Ответ: $x = 2\pi j$; $x = -\frac{\pi}{2} + 2\pi j$; $x = \frac{3\pi}{4} + \pi k$; $x = \frac{\pi}{4} + (-1)^m \arcsin\left(\frac{\sqrt{2}}{4}\right) + \pi m$, где $j, k, m \in \mathbb{Z}$.

Помогло решение? Оставьте отзыв в комментариях ниже.

Присоединяйтесь к Телеграм-группе @top_gdz

Присоединиться

Мы подготовили для вас ответ c подробным объяснением домашего задания по алгебре за 10-11 класс, для упражнения номер 680 расположенного на странице 199 к учебнику 2014 года издания для учащихся школ и гимназий.

Теперь на нашем сайте ГДЗ.ТОП вы всегда легко и бесплатно найдёте условие с правильным ответом на вопрос «Как решить ДЗ» и «Как сделать» задание по алгебре к упражнению №680 (с. 199), авторов: Алимов (Шавкат Арифджанович), Колягин (Юрий Михайлович), Ткачева (Мария Владимировна), Федорова (Надежда Евгеньевна), Шабунин (Михаил Иванович), ФГОС (старый) базовый и углублённый уровень обучения учебного пособия издательства Просвещение.