Номер 796, страница 239 - гдз по алгебре 10-11 класс учебник Алимов, Колягин

Алгебра, 10-11 класс Учебник, авторы: Алимов Шавкат Арифджанович, Колягин Юрий Михайлович, Ткачева Мария Владимировна, Федорова Надежда Евгеньевна, Шабунин Михаил Иванович, издательство Просвещение, Москва, 2014

Авторы: Алимов Ш. А., Колягин Ю. М., Ткачева М. В., Федорова Н. Е., Шабунин М. И.

Тип: Учебник

Издательство: Просвещение

Год издания: 2014 - 2025

Уровень обучения: базовый и углублённый

Цвет обложки: синий, фиолетовый

ISBN: 978-5-09-112136-0

Допущено Министерством просвещения Российской Федерации

Математика: алгебра и начала математического анализа, геометрия

Популярные ГДЗ в 10 классе

Глава 8. Производная и её геометрический смысл. Параграф 45. Производная степенной функции - номер 796, страница 239.

№796 (с. 239)
Условие. №796 (с. 239)
скриншот условия
Алгебра, 10-11 класс Учебник, авторы: Алимов Шавкат Арифджанович, Колягин Юрий Михайлович, Ткачева Мария Владимировна, Федорова Надежда Евгеньевна, Шабунин Михаил Иванович, издательство Просвещение, Москва, 2014, страница 239, номер 796, Условие

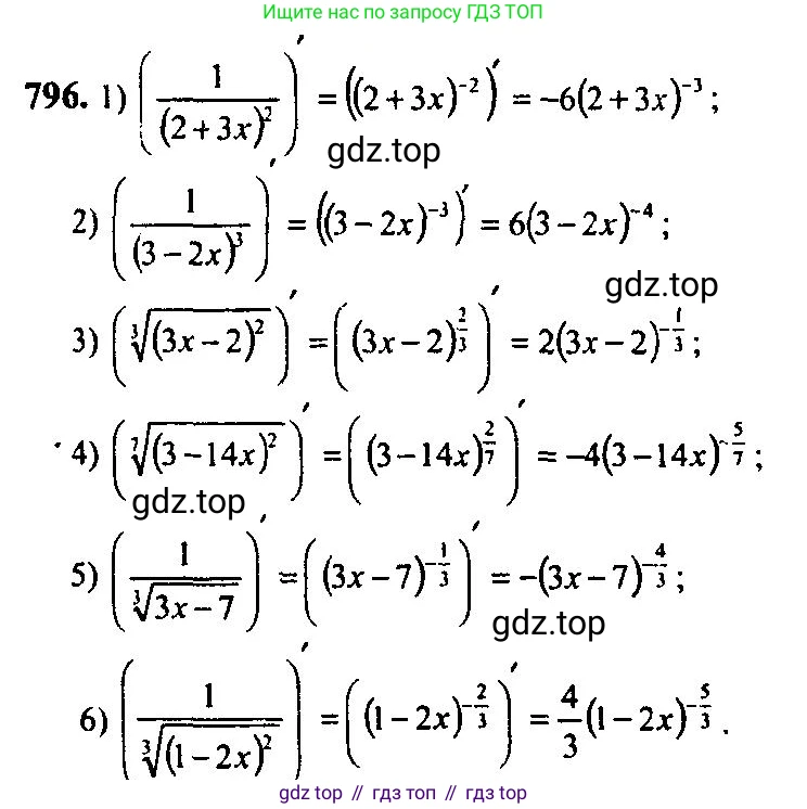
796 Найти производную функции:

1) $ \frac{1}{(2 + 3x)^2} $

2) $ \frac{1}{(3 - 2x)^3} $

3) $ \sqrt[3]{(3x - 2)^2} $

4) $ \sqrt[7]{(3 - 14x)^2} $

5) $ \frac{1}{\sqrt[3]{3x - 7}} $

6) $ \frac{1}{\sqrt[3]{(1 - 2x)^2}} $

Решение 1. №796 (с. 239)
Алгебра, 10-11 класс Учебник, авторы: Алимов Шавкат Арифджанович, Колягин Юрий Михайлович, Ткачева Мария Владимировна, Федорова Надежда Евгеньевна, Шабунин Михаил Иванович, издательство Просвещение, Москва, 2014, страница 239, номер 796, Решение 1
Алгебра, 10-11 класс Учебник, авторы: Алимов Шавкат Арифджанович, Колягин Юрий Михайлович, Ткачева Мария Владимировна, Федорова Надежда Евгеньевна, Шабунин Михаил Иванович, издательство Просвещение, Москва, 2014, страница 239, номер 796, Решение 1 (продолжение 2)
Алгебра, 10-11 класс Учебник, авторы: Алимов Шавкат Арифджанович, Колягин Юрий Михайлович, Ткачева Мария Владимировна, Федорова Надежда Евгеньевна, Шабунин Михаил Иванович, издательство Просвещение, Москва, 2014, страница 239, номер 796, Решение 1 (продолжение 3)
Алгебра, 10-11 класс Учебник, авторы: Алимов Шавкат Арифджанович, Колягин Юрий Михайлович, Ткачева Мария Владимировна, Федорова Надежда Евгеньевна, Шабунин Михаил Иванович, издательство Просвещение, Москва, 2014, страница 239, номер 796, Решение 1 (продолжение 4)
Алгебра, 10-11 класс Учебник, авторы: Алимов Шавкат Арифджанович, Колягин Юрий Михайлович, Ткачева Мария Владимировна, Федорова Надежда Евгеньевна, Шабунин Михаил Иванович, издательство Просвещение, Москва, 2014, страница 239, номер 796, Решение 1 (продолжение 5) Алгебра, 10-11 класс Учебник, авторы: Алимов Шавкат Арифджанович, Колягин Юрий Михайлович, Ткачева Мария Владимировна, Федорова Надежда Евгеньевна, Шабунин Михаил Иванович, издательство Просвещение, Москва, 2014, страница 239, номер 796, Решение 1 (продолжение 6)
Решение 2. №796 (с. 239)
Алгебра, 10-11 класс Учебник, авторы: Алимов Шавкат Арифджанович, Колягин Юрий Михайлович, Ткачева Мария Владимировна, Федорова Надежда Евгеньевна, Шабунин Михаил Иванович, издательство Просвещение, Москва, 2014, страница 239, номер 796, Решение 2
Алгебра, 10-11 класс Учебник, авторы: Алимов Шавкат Арифджанович, Колягин Юрий Михайлович, Ткачева Мария Владимировна, Федорова Надежда Евгеньевна, Шабунин Михаил Иванович, издательство Просвещение, Москва, 2014, страница 239, номер 796, Решение 2 (продолжение 2)
Решение 4. №796 (с. 239)
Алгебра, 10-11 класс Учебник, авторы: Алимов Шавкат Арифджанович, Колягин Юрий Михайлович, Ткачева Мария Владимировна, Федорова Надежда Евгеньевна, Шабунин Михаил Иванович, издательство Просвещение, Москва, 2014, страница 239, номер 796, Решение 4
Алгебра, 10-11 класс Учебник, авторы: Алимов Шавкат Арифджанович, Колягин Юрий Михайлович, Ткачева Мария Владимировна, Федорова Надежда Евгеньевна, Шабунин Михаил Иванович, издательство Просвещение, Москва, 2014, страница 239, номер 796, Решение 4 (продолжение 2)
Решение 5. №796 (с. 239)
Алгебра, 10-11 класс Учебник, авторы: Алимов Шавкат Арифджанович, Колягин Юрий Михайлович, Ткачева Мария Владимировна, Федорова Надежда Евгеньевна, Шабунин Михаил Иванович, издательство Просвещение, Москва, 2014, страница 239, номер 796, Решение 5
Решение 7. №796 (с. 239)
Алгебра, 10-11 класс Учебник, авторы: Алимов Шавкат Арифджанович, Колягин Юрий Михайлович, Ткачева Мария Владимировна, Федорова Надежда Евгеньевна, Шабунин Михаил Иванович, издательство Просвещение, Москва, 2014, страница 239, номер 796, Решение 7
Решение 8. №796 (с. 239)
1)

Дана функция $y = \frac{1}{(2 + 3x)^2}$ .

Чтобы найти производную, сначала представим функцию в виде степени с отрицательным показателем:
$y = (2 + 3x)^{-2}$ .

Это сложная функция, для дифференцирования которой мы используем правило производной степенной функции в сочетании с правилом цепочки (производная сложной функции): $(u^n)' = n \cdot u^{n-1} \cdot u'$ .

В нашем случае, $u = 2 + 3x$ , а $n = -2$ . Производная внутренней функции $u'$ равна:
$u' = (2 + 3x)' = 3$ .

Теперь находим производную исходной функции:
$y' = -2 \cdot (2 + 3x)^{-2-1} \cdot (2 + 3x)' = -2 \cdot (2 + 3x)^{-3} \cdot 3 = -6(2 + 3x)^{-3}$ .

Запишем результат в виде дроби:
$y' = -\frac{6}{(2 + 3x)^3}$ .

Ответ: $-\frac{6}{(2 + 3x)^3}$

2)

Дана функция $y = \frac{1}{(3 - 2x)^3}$ .

Представим функцию в виде степени:
$y = (3 - 2x)^{-3}$ .

Применяем формулу производной сложной функции $(u^n)' = n \cdot u^{n-1} \cdot u'$ , где $u = 3 - 2x$ и $n = -3$ .

Находим производную внутренней функции:
$u' = (3 - 2x)' = -2$ .

Вычисляем производную:
$y' = -3 \cdot (3 - 2x)^{-3-1} \cdot (3 - 2x)' = -3 \cdot (3 - 2x)^{-4} \cdot (-2) = 6(3 - 2x)^{-4}$ .

Запишем ответ в виде дроби:
$y' = \frac{6}{(3 - 2x)^4}$ .

Ответ: $\frac{6}{(3 - 2x)^4}$

3)

Дана функция $y = \sqrt[3]{(3x - 2)^2}$ .

Представим функцию в виде степени с дробным показателем:
$y = (3x - 2)^{2/3}$ .

Применяем формулу производной сложной функции $(u^n)' = n \cdot u^{n-1} \cdot u'$ , где $u = 3x - 2$ и $n = \frac{2}{3}$ .

Находим производную внутренней функции:
$u' = (3x - 2)' = 3$ .

Вычисляем производную:
$y' = \frac{2}{3} \cdot (3x - 2)^{\frac{2}{3}-1} \cdot (3x - 2)' = \frac{2}{3} \cdot (3x - 2)^{-1/3} \cdot 3 = 2(3x - 2)^{-1/3}$ .

Запишем ответ с использованием корня:
$y' = \frac{2}{(3x - 2)^{1/3}} = \frac{2}{\sqrt[3]{3x - 2}}$ .

Ответ: $\frac{2}{\sqrt[3]{3x - 2}}$

4)

Дана функция $y = \sqrt[7]{(3 - 14x)^2}$ .

Представим функцию в виде степени с дробным показателем:
$y = (3 - 14x)^{2/7}$ .

Применяем формулу производной сложной функции $(u^n)' = n \cdot u^{n-1} \cdot u'$ , где $u = 3 - 14x$ и $n = \frac{2}{7}$ .

Находим производную внутренней функции:
$u' = (3 - 14x)' = -14$ .

Вычисляем производную:
$y' = \frac{2}{7} \cdot (3 - 14x)^{\frac{2}{7}-1} \cdot (3 - 14x)' = \frac{2}{7} \cdot (3 - 14x)^{-5/7} \cdot (-14) = -4(3 - 14x)^{-5/7}$ .

Запишем ответ с использованием корня:
$y' = -\frac{4}{(3 - 14x)^{5/7}} = -\frac{4}{\sqrt[7]{(3 - 14x)^5}}$ .

Ответ: $-\frac{4}{\sqrt[7]{(3 - 14x)^5}}$

5)

Дана функция $y = \frac{1}{\sqrt[3]{3x - 7}}$ .

Представим функцию в виде степени с отрицательным дробным показателем:
$y = \frac{1}{(3x - 7)^{1/3}} = (3x - 7)^{-1/3}$ .

Применяем формулу производной сложной функции $(u^n)' = n \cdot u^{n-1} \cdot u'$ , где $u = 3x - 7$ и $n = -\frac{1}{3}$ .

Находим производную внутренней функции:
$u' = (3x - 7)' = 3$ .

Вычисляем производную:
$y' = -\frac{1}{3} \cdot (3x - 7)^{-\frac{1}{3}-1} \cdot (3x - 7)' = -\frac{1}{3} \cdot (3x - 7)^{-4/3} \cdot 3 = -(3x - 7)^{-4/3}$ .

Запишем ответ с использованием корня:
$y' = -\frac{1}{(3x - 7)^{4/3}} = -\frac{1}{\sqrt[3]{(3x - 7)^4}}$ .

Ответ: $-\frac{1}{\sqrt[3]{(3x - 7)^4}}$

6)

Дана функция $y = \frac{1}{\sqrt[3]{(1 - 2x)^2}}$ .

Представим функцию в виде степени с отрицательным дробным показателем:
$y = \frac{1}{(1 - 2x)^{2/3}} = (1 - 2x)^{-2/3}$ .

Применяем формулу производной сложной функции $(u^n)' = n \cdot u^{n-1} \cdot u'$ , где $u = 1 - 2x$ и $n = -\frac{2}{3}$ .

Находим производную внутренней функции:
$u' = (1 - 2x)' = -2$ .

Вычисляем производную:
$y' = -\frac{2}{3} \cdot (1 - 2x)^{-\frac{2}{3}-1} \cdot (1 - 2x)' = -\frac{2}{3} \cdot (1 - 2x)^{-5/3} \cdot (-2) = \frac{4}{3}(1 - 2x)^{-5/3}$ .

Запишем ответ с использованием корня:
$y' = \frac{4}{3(1 - 2x)^{5/3}} = \frac{4}{3\sqrt[3]{(1 - 2x)^5}}$ .

Ответ: $\frac{4}{3\sqrt[3]{(1 - 2x)^5}}$

Помогло решение? Оставьте отзыв в комментариях ниже.

Присоединяйтесь к Телеграм-группе @top_gdz

Присоединиться

Мы подготовили для вас ответ c подробным объяснением домашего задания по алгебре за 10-11 класс, для упражнения номер 796 расположенного на странице 239 к учебнику 2014 года издания для учащихся школ и гимназий.

Теперь на нашем сайте ГДЗ.ТОП вы всегда легко и бесплатно найдёте условие с правильным ответом на вопрос «Как решить ДЗ» и «Как сделать» задание по алгебре к упражнению №796 (с. 239), авторов: Алимов (Шавкат Арифджанович), Колягин (Юрий Михайлович), Ткачева (Мария Владимировна), Федорова (Надежда Евгеньевна), Шабунин (Михаил Иванович), ФГОС (старый) базовый и углублённый уровень обучения учебного пособия издательства Просвещение.