Номер 875, страница 257 - гдз по алгебре 10-11 класс учебник Алимов, Колягин

Алгебра, 10-11 класс Учебник, авторы: Алимов Шавкат Арифджанович, Колягин Юрий Михайлович, Ткачева Мария Владимировна, Федорова Надежда Евгеньевна, Шабунин Михаил Иванович, издательство Просвещение, Москва, 2014

Авторы: Алимов Ш. А., Колягин Ю. М., Ткачева М. В., Федорова Н. Е., Шабунин М. И.

Тип: Учебник

Издательство: Просвещение

Год издания: 2014 - 2025

Уровень обучения: базовый и углублённый

Цвет обложки: синий, фиолетовый

ISBN: 978-5-09-112136-0

Допущено Министерством просвещения Российской Федерации

Математика: алгебра и начала математического анализа, геометрия

Популярные ГДЗ в 10 классе

Глава 8. Производная и её геометрический смысл. Упражнения к главе 8 - номер 875, страница 257.

№875 (с. 257)
Условие. №875 (с. 257)
скриншот условия
Алгебра, 10-11 класс Учебник, авторы: Алимов Шавкат Арифджанович, Колягин Юрий Михайлович, Ткачева Мария Владимировна, Федорова Надежда Евгеньевна, Шабунин Михаил Иванович, издательство Просвещение, Москва, 2014, страница 257, номер 875, Условие

875 Найти значения x, при которых значение производной функции $f(x)$ равно нулю; положительно; отрицательно:

1) $f(x) = 2x^3 - x^2$;

2) $f(x) = -3x^3 + 2x^2 + 4$;

3) $f(x) = x^5 - 5x^3 - 20x$;

4) $f(x) = (x + 3)^3 (x - 4)^2$;

5) $f(x) = \frac{3x+1}{x-2}$;

6) $f(x) = x^2 + \frac{2}{x}$.

Решение 1. №875 (с. 257)
Алгебра, 10-11 класс Учебник, авторы: Алимов Шавкат Арифджанович, Колягин Юрий Михайлович, Ткачева Мария Владимировна, Федорова Надежда Евгеньевна, Шабунин Михаил Иванович, издательство Просвещение, Москва, 2014, страница 257, номер 875, Решение 1
Алгебра, 10-11 класс Учебник, авторы: Алимов Шавкат Арифджанович, Колягин Юрий Михайлович, Ткачева Мария Владимировна, Федорова Надежда Евгеньевна, Шабунин Михаил Иванович, издательство Просвещение, Москва, 2014, страница 257, номер 875, Решение 1 (продолжение 2)
Алгебра, 10-11 класс Учебник, авторы: Алимов Шавкат Арифджанович, Колягин Юрий Михайлович, Ткачева Мария Владимировна, Федорова Надежда Евгеньевна, Шабунин Михаил Иванович, издательство Просвещение, Москва, 2014, страница 257, номер 875, Решение 1 (продолжение 3)
Алгебра, 10-11 класс Учебник, авторы: Алимов Шавкат Арифджанович, Колягин Юрий Михайлович, Ткачева Мария Владимировна, Федорова Надежда Евгеньевна, Шабунин Михаил Иванович, издательство Просвещение, Москва, 2014, страница 257, номер 875, Решение 1 (продолжение 4)
Алгебра, 10-11 класс Учебник, авторы: Алимов Шавкат Арифджанович, Колягин Юрий Михайлович, Ткачева Мария Владимировна, Федорова Надежда Евгеньевна, Шабунин Михаил Иванович, издательство Просвещение, Москва, 2014, страница 257, номер 875, Решение 1 (продолжение 5) Алгебра, 10-11 класс Учебник, авторы: Алимов Шавкат Арифджанович, Колягин Юрий Михайлович, Ткачева Мария Владимировна, Федорова Надежда Евгеньевна, Шабунин Михаил Иванович, издательство Просвещение, Москва, 2014, страница 257, номер 875, Решение 1 (продолжение 6)
Решение 2. №875 (с. 257)
Алгебра, 10-11 класс Учебник, авторы: Алимов Шавкат Арифджанович, Колягин Юрий Михайлович, Ткачева Мария Владимировна, Федорова Надежда Евгеньевна, Шабунин Михаил Иванович, издательство Просвещение, Москва, 2014, страница 257, номер 875, Решение 2
Алгебра, 10-11 класс Учебник, авторы: Алимов Шавкат Арифджанович, Колягин Юрий Михайлович, Ткачева Мария Владимировна, Федорова Надежда Евгеньевна, Шабунин Михаил Иванович, издательство Просвещение, Москва, 2014, страница 257, номер 875, Решение 2 (продолжение 2)
Алгебра, 10-11 класс Учебник, авторы: Алимов Шавкат Арифджанович, Колягин Юрий Михайлович, Ткачева Мария Владимировна, Федорова Надежда Евгеньевна, Шабунин Михаил Иванович, издательство Просвещение, Москва, 2014, страница 257, номер 875, Решение 2 (продолжение 3)
Решение 4. №875 (с. 257)
Алгебра, 10-11 класс Учебник, авторы: Алимов Шавкат Арифджанович, Колягин Юрий Михайлович, Ткачева Мария Владимировна, Федорова Надежда Евгеньевна, Шабунин Михаил Иванович, издательство Просвещение, Москва, 2014, страница 257, номер 875, Решение 4
Алгебра, 10-11 класс Учебник, авторы: Алимов Шавкат Арифджанович, Колягин Юрий Михайлович, Ткачева Мария Владимировна, Федорова Надежда Евгеньевна, Шабунин Михаил Иванович, издательство Просвещение, Москва, 2014, страница 257, номер 875, Решение 4 (продолжение 2)
Решение 5. №875 (с. 257)
Алгебра, 10-11 класс Учебник, авторы: Алимов Шавкат Арифджанович, Колягин Юрий Михайлович, Ткачева Мария Владимировна, Федорова Надежда Евгеньевна, Шабунин Михаил Иванович, издательство Просвещение, Москва, 2014, страница 257, номер 875, Решение 5
Решение 7. №875 (с. 257)
Алгебра, 10-11 класс Учебник, авторы: Алимов Шавкат Арифджанович, Колягин Юрий Михайлович, Ткачева Мария Владимировна, Федорова Надежда Евгеньевна, Шабунин Михаил Иванович, издательство Просвещение, Москва, 2014, страница 257, номер 875, Решение 7 Алгебра, 10-11 класс Учебник, авторы: Алимов Шавкат Арифджанович, Колягин Юрий Михайлович, Ткачева Мария Владимировна, Федорова Надежда Евгеньевна, Шабунин Михаил Иванович, издательство Просвещение, Москва, 2014, страница 257, номер 875, Решение 7 (продолжение 2) Алгебра, 10-11 класс Учебник, авторы: Алимов Шавкат Арифджанович, Колягин Юрий Михайлович, Ткачева Мария Владимировна, Федорова Надежда Евгеньевна, Шабунин Михаил Иванович, издательство Просвещение, Москва, 2014, страница 257, номер 875, Решение 7 (продолжение 3) Алгебра, 10-11 класс Учебник, авторы: Алимов Шавкат Арифджанович, Колягин Юрий Михайлович, Ткачева Мария Владимировна, Федорова Надежда Евгеньевна, Шабунин Михаил Иванович, издательство Просвещение, Москва, 2014, страница 257, номер 875, Решение 7 (продолжение 4)
Решение 8. №875 (с. 257)

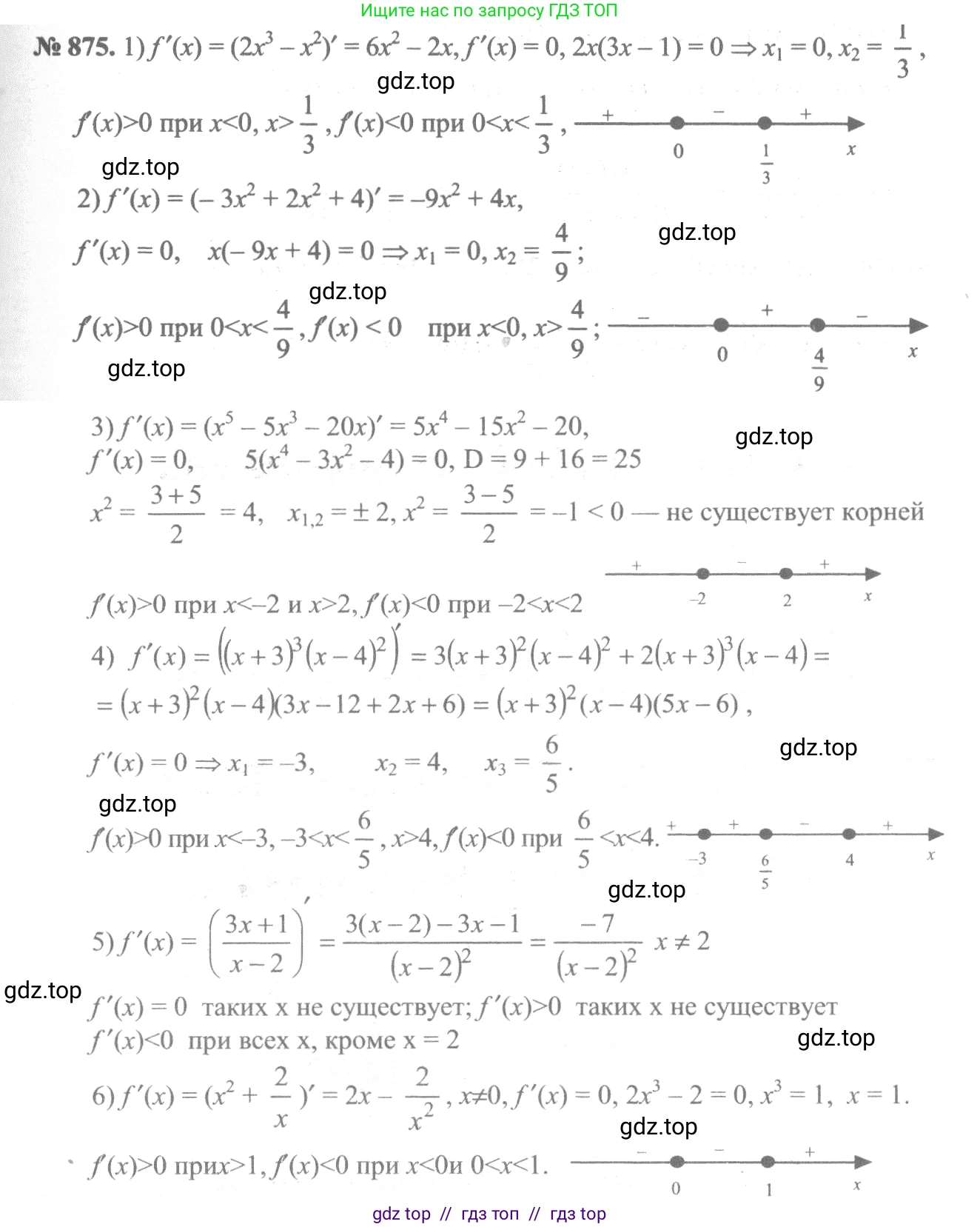
1) f(x) = 2x³ - x²

Сначала найдем производную функции $f(x)$ по правилу дифференцирования степенной функции $(x^n)' = nx^{n-1}$:
$f'(x) = (2x^3 - x^2)' = 2 \cdot 3x^{2} - 2x = 6x^2 - 2x$.

Производная равна нулю: $f'(x) = 0$.
$6x^2 - 2x = 0$
Вынесем общий множитель $2x$ за скобки:
$2x(3x - 1) = 0$
Произведение равно нулю, когда один из множителей равен нулю:
$x = 0$ или $3x - 1 = 0 \Rightarrow x = \frac{1}{3}$.
Ответ: $f'(x) = 0$ при $x = 0$ и $x = \frac{1}{3}$.

Производная положительна: $f'(x) > 0$.
$6x^2 - 2x > 0$.
Решим неравенство методом интервалов. Корни $x=0$ и $x=\frac{1}{3}$ разбивают числовую прямую на три интервала. Функция $y = 6x^2 - 2x$ — парабола с ветвями вверх, поэтому она положительна вне интервала между корнями.
Ответ: $f'(x) > 0$ при $x \in (-\infty, 0) \cup (\frac{1}{3}, +\infty)$.

Производная отрицательна: $f'(x) < 0$.
$6x^2 - 2x < 0$.
Парабола $y = 6x^2 - 2x$ отрицательна на интервале между корнями.
Ответ: $f'(x) < 0$ при $x \in (0, \frac{1}{3})$.

2) f(x) = -3x³ + 2x² + 4

Найдем производную функции $f(x)$:
$f'(x) = (-3x^3 + 2x^2 + 4)' = -3 \cdot 3x^2 + 2 \cdot 2x + 0 = -9x^2 + 4x$.

Производная равна нулю: $f'(x) = 0$.
$-9x^2 + 4x = 0$
$x(-9x + 4) = 0$
$x = 0$ или $-9x + 4 = 0 \Rightarrow x = \frac{4}{9}$.
Ответ: $f'(x) = 0$ при $x = 0$ и $x = \frac{4}{9}$.

Производная положительна: $f'(x) > 0$.
$-9x^2 + 4x > 0$.
Функция $y = -9x^2 + 4x$ — парабола с ветвями вниз (коэффициент при $x^2$ отрицателен), поэтому она положительна на интервале между корнями.
Ответ: $f'(x) > 0$ при $x \in (0, \frac{4}{9})$.

Производная отрицательна: $f'(x) < 0$.
$-9x^2 + 4x < 0$.
Парабола отрицательна вне интервала между корнями.
Ответ: $f'(x) < 0$ при $x \in (-\infty, 0) \cup (\frac{4}{9}, +\infty)$.

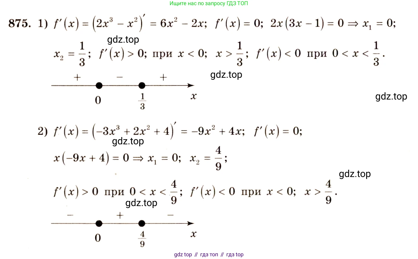
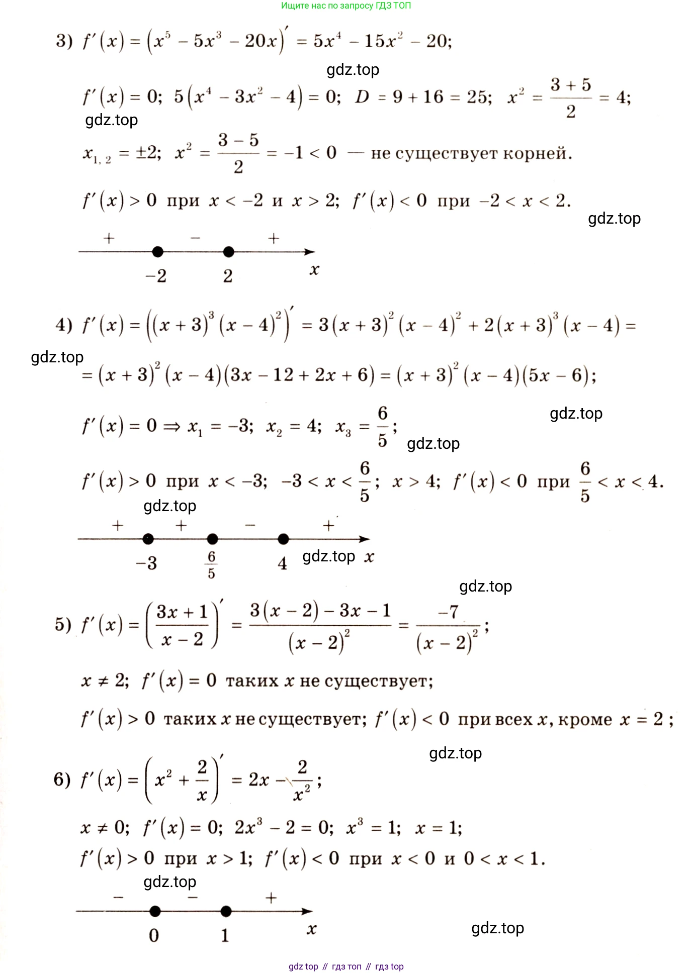
3) f(x) = x⁵ - 5x³ - 20x

Найдем производную функции $f(x)$:
$f'(x) = (x^5 - 5x^3 - 20x)' = 5x^4 - 15x^2 - 20$.

Производная равна нулю: $f'(x) = 0$.
$5x^4 - 15x^2 - 20 = 0$.
Разделим уравнение на 5: $x^4 - 3x^2 - 4 = 0$.
Это биквадратное уравнение. Сделаем замену $y = x^2$ (где $y \ge 0$):
$y^2 - 3y - 4 = 0$.
По теореме Виета корни $y_1 = 4$ и $y_2 = -1$. Корень $y_2 = -1$ не подходит, так как $x^2$ не может быть отрицательным.
Возвращаемся к замене: $x^2 = 4 \Rightarrow x = \pm 2$.
Ответ: $f'(x) = 0$ при $x = -2$ и $x = 2$.

Производная положительна: $f'(x) > 0$.
$5x^4 - 15x^2 - 20 > 0 \Rightarrow 5(x^2 - 4)(x^2 + 1) > 0$.
Так как $x^2+1$ всегда больше нуля, знак неравенства зависит от знака выражения $x^2-4$.
$x^2 - 4 > 0 \Rightarrow x^2 > 4$.
Ответ: $f'(x) > 0$ при $x \in (-\infty, -2) \cup (2, +\infty)$.

Производная отрицательна: $f'(x) < 0$.
$5(x^2 - 4)(x^2 + 1) < 0 \Rightarrow x^2 - 4 < 0 \Rightarrow x^2 < 4$.
Ответ: $f'(x) < 0$ при $x \in (-2, 2)$.

4) f(x) = (x + 3)³(x - 4)²

Найдем производную функции $f(x)$ по правилу производной произведения $(uv)' = u'v + uv'$:
$f'(x) = ((x+3)^3)'(x-4)^2 + (x+3)^3((x-4)^2)'$
$f'(x) = 3(x+3)^2(x-4)^2 + (x+3)^3 \cdot 2(x-4)$
Вынесем общий множитель $(x+3)^2(x-4)$:
$f'(x) = (x+3)^2(x-4) [3(x-4) + 2(x+3)]$
$f'(x) = (x+3)^2(x-4) [3x - 12 + 2x + 6]$
$f'(x) = (x+3)^2(x-4)(5x - 6)$.

Производная равна нулю: $f'(x) = 0$.
$(x+3)^2(x-4)(5x - 6) = 0$.
Корни: $x = -3$, $x = 4$, $x = \frac{6}{5}$.
Ответ: $f'(x) = 0$ при $x = -3$, $x = 1.2$ и $x = 4$.

Производная положительна: $f'(x) > 0$.
$(x+3)^2(x-4)(5x - 6) > 0$.
Множитель $(x+3)^2$ всегда неотрицателен и не влияет на знак неравенства (кроме точки $x=-3$, где он равен нулю). Знак определяется произведением $(x-4)(5x - 6)$, которое представляет собой параболу с ветвями вверх и корнями $x=1.2$ и $x=4$. Выражение положительно вне интервала между корнями.
Ответ: $f'(x) > 0$ при $x \in (-\infty, -3) \cup (-3, 1.2) \cup (4, +\infty)$.

Производная отрицательна: $f'(x) < 0$.
$(x+3)^2(x-4)(5x - 6) < 0$.
Выражение отрицательно на интервале между корнями $x=1.2$ и $x=4$.
Ответ: $f'(x) < 0$ при $x \in (1.2, 4)$.

5) f(x) = (3x + 1) / (x - 2)

Область определения функции: $x \neq 2$.
Найдем производную по правилу производной частного $(\frac{u}{v})' = \frac{u'v - uv'}{v^2}$:
$f'(x) = \frac{(3x+1)'(x-2) - (3x+1)(x-2)'}{(x-2)^2} = \frac{3(x-2) - (3x+1) \cdot 1}{(x-2)^2}$
$f'(x) = \frac{3x - 6 - 3x - 1}{(x-2)^2} = \frac{-7}{(x-2)^2}$.

Производная равна нулю: $f'(x) = 0$.
$\frac{-7}{(x-2)^2} = 0$.
Это уравнение не имеет решений, так как числитель дроби -7 никогда не равен нулю.
Ответ: таких значений $x$ не существует.

Производная положительна: $f'(x) > 0$.
$\frac{-7}{(x-2)^2} > 0$.
Числитель дроби отрицателен (-7), а знаменатель $(x-2)^2$ всегда положителен при $x \neq 2$. Частное отрицательного и положительного чисел всегда отрицательно.
Ответ: таких значений $x$ не существует.

Производная отрицательна: $f'(x) < 0$.
$\frac{-7}{(x-2)^2} < 0$.
Это неравенство выполняется для всех $x$ из области определения функции.
Ответ: $f'(x) < 0$ при $x \in (-\infty, 2) \cup (2, +\infty)$.

6) f(x) = x² + 2/x

Область определения функции: $x \neq 0$.
Представим функцию в виде $f(x) = x^2 + 2x^{-1}$ и найдем производную:
$f'(x) = (x^2 + 2x^{-1})' = 2x + 2(-1)x^{-2} = 2x - \frac{2}{x^2}$.
Приведем к общему знаменателю: $f'(x) = \frac{2x \cdot x^2 - 2}{x^2} = \frac{2x^3 - 2}{x^2} = \frac{2(x^3 - 1)}{x^2}$.

Производная равна нулю: $f'(x) = 0$.
$\frac{2(x^3 - 1)}{x^2} = 0$.
Дробь равна нулю, когда числитель равен нулю, а знаменатель не равен.
$2(x^3 - 1) = 0 \Rightarrow x^3 - 1 = 0 \Rightarrow x^3 = 1 \Rightarrow x = 1$.
При $x=1$ знаменатель $x^2 = 1 \neq 0$.
Ответ: $f'(x) = 0$ при $x = 1$.

Производная положительна: $f'(x) > 0$.
$\frac{2(x^3 - 1)}{x^2} > 0$.
Знаменатель $x^2$ всегда положителен при $x \neq 0$. Знак дроби зависит от знака числителя.
$x^3 - 1 > 0 \Rightarrow x^3 > 1 \Rightarrow x > 1$.
Ответ: $f'(x) > 0$ при $x \in (1, +\infty)$.

Производная отрицательна: $f'(x) < 0$.
$\frac{2(x^3 - 1)}{x^2} < 0$.
Знак дроби зависит от знака числителя.
$x^3 - 1 < 0 \Rightarrow x^3 < 1 \Rightarrow x < 1$.
С учетом области определения ($x \neq 0$), получаем два интервала.
Ответ: $f'(x) < 0$ при $x \in (-\infty, 0) \cup (0, 1)$.

Помогло решение? Оставьте отзыв в комментариях ниже.

Присоединяйтесь к Телеграм-группе @top_gdz

Присоединиться

Мы подготовили для вас ответ c подробным объяснением домашего задания по алгебре за 10-11 класс, для упражнения номер 875 расположенного на странице 257 к учебнику 2014 года издания для учащихся школ и гимназий.

Теперь на нашем сайте ГДЗ.ТОП вы всегда легко и бесплатно найдёте условие с правильным ответом на вопрос «Как решить ДЗ» и «Как сделать» задание по алгебре к упражнению №875 (с. 257), авторов: Алимов (Шавкат Арифджанович), Колягин (Юрий Михайлович), Ткачева (Мария Владимировна), Федорова (Надежда Евгеньевна), Шабунин (Михаил Иванович), ФГОС (старый) базовый и углублённый уровень обучения учебного пособия издательства Просвещение.