Номер 898, страница 260 - гдз по алгебре 10-11 класс учебник Алимов, Колягин

Алгебра, 10-11 класс Учебник, авторы: Алимов Шавкат Арифджанович, Колягин Юрий Михайлович, Ткачева Мария Владимировна, Федорова Надежда Евгеньевна, Шабунин Михаил Иванович, издательство Просвещение, Москва, 2014

Авторы: Алимов Ш. А., Колягин Ю. М., Ткачева М. В., Федорова Н. Е., Шабунин М. И.

Тип: Учебник

Издательство: Просвещение

Год издания: 2014 - 2025

Уровень обучения: базовый и углублённый

Цвет обложки: синий, фиолетовый

ISBN: 978-5-09-112136-0

Допущено Министерством просвещения Российской Федерации

Математика: алгебра и начала математического анализа, геометрия

Популярные ГДЗ в 10 классе

Глава 8. Производная и её геометрический смысл. Упражнения к главе 8 - номер 898, страница 260.

№898 (с. 260)
Условие. №898 (с. 260)
скриншот условия
Алгебра, 10-11 класс Учебник, авторы: Алимов Шавкат Арифджанович, Колягин Юрий Михайлович, Ткачева Мария Владимировна, Федорова Надежда Евгеньевна, Шабунин Михаил Иванович, издательство Просвещение, Москва, 2014, страница 260, номер 898, Условие

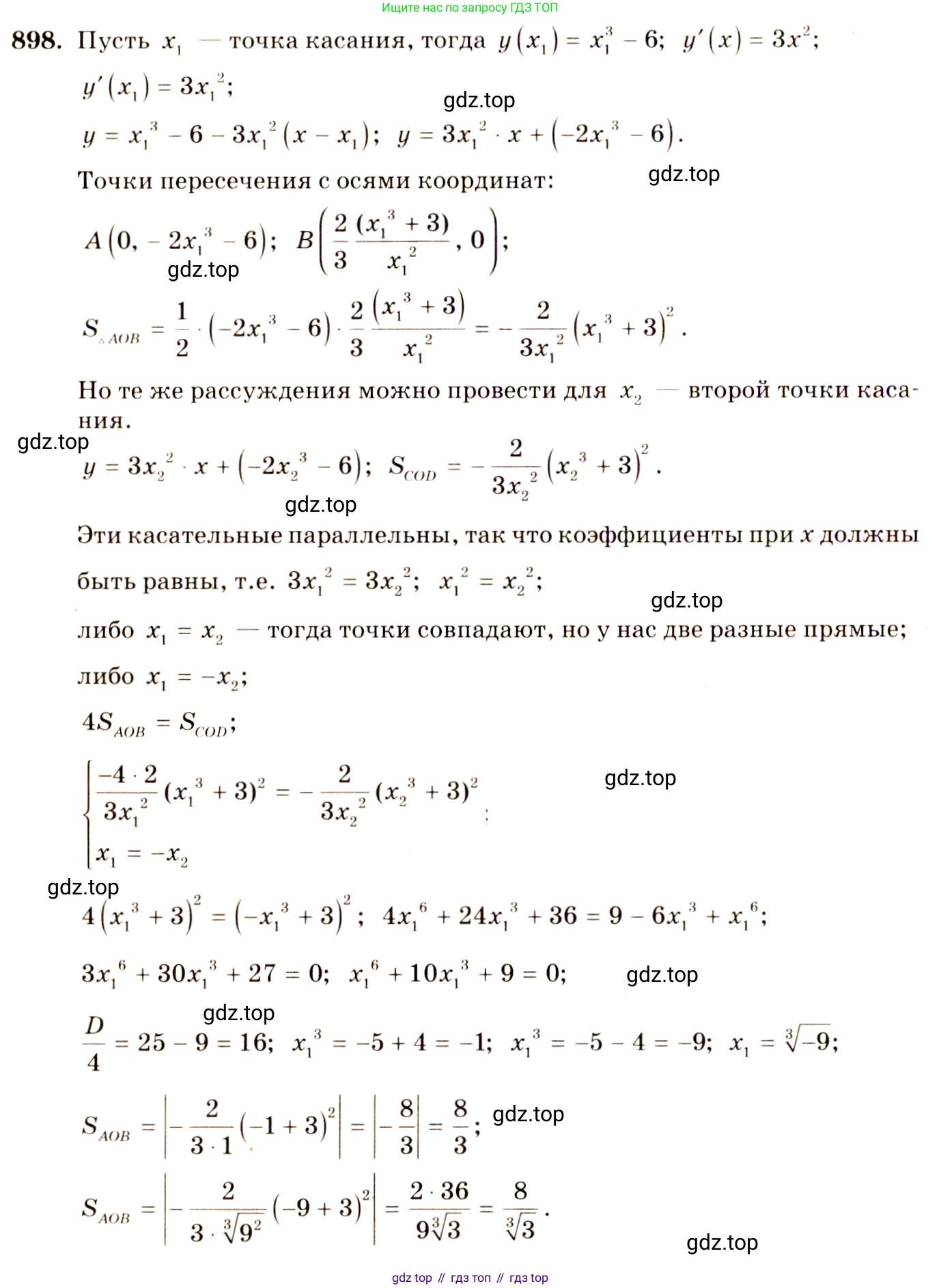
898 Две параллельные касательные к графику функции $y = x^3 - 6$ пересекают оси координат: одна — в точках $A$ и $B$, другая — в точках $C$ и $D$. Найти площадь треугольника $AOB$, если она в 4 раза меньше площади треугольника $COD$.

Решение 1. №898 (с. 260)
Алгебра, 10-11 класс Учебник, авторы: Алимов Шавкат Арифджанович, Колягин Юрий Михайлович, Ткачева Мария Владимировна, Федорова Надежда Евгеньевна, Шабунин Михаил Иванович, издательство Просвещение, Москва, 2014, страница 260, номер 898, Решение 1
Решение 2. №898 (с. 260)
Алгебра, 10-11 класс Учебник, авторы: Алимов Шавкат Арифджанович, Колягин Юрий Михайлович, Ткачева Мария Владимировна, Федорова Надежда Евгеньевна, Шабунин Михаил Иванович, издательство Просвещение, Москва, 2014, страница 260, номер 898, Решение 2
Алгебра, 10-11 класс Учебник, авторы: Алимов Шавкат Арифджанович, Колягин Юрий Михайлович, Ткачева Мария Владимировна, Федорова Надежда Евгеньевна, Шабунин Михаил Иванович, издательство Просвещение, Москва, 2014, страница 260, номер 898, Решение 2 (продолжение 2)
Решение 3. №898 (с. 260)
Алгебра, 10-11 класс Учебник, авторы: Алимов Шавкат Арифджанович, Колягин Юрий Михайлович, Ткачева Мария Владимировна, Федорова Надежда Евгеньевна, Шабунин Михаил Иванович, издательство Просвещение, Москва, 2014, страница 260, номер 898, Решение 3
Решение 4. №898 (с. 260)
Алгебра, 10-11 класс Учебник, авторы: Алимов Шавкат Арифджанович, Колягин Юрий Михайлович, Ткачева Мария Владимировна, Федорова Надежда Евгеньевна, Шабунин Михаил Иванович, издательство Просвещение, Москва, 2014, страница 260, номер 898, Решение 4
Решение 5. №898 (с. 260)
Алгебра, 10-11 класс Учебник, авторы: Алимов Шавкат Арифджанович, Колягин Юрий Михайлович, Ткачева Мария Владимировна, Федорова Надежда Евгеньевна, Шабунин Михаил Иванович, издательство Просвещение, Москва, 2014, страница 260, номер 898, Решение 5 Алгебра, 10-11 класс Учебник, авторы: Алимов Шавкат Арифджанович, Колягин Юрий Михайлович, Ткачева Мария Владимировна, Федорова Надежда Евгеньевна, Шабунин Михаил Иванович, издательство Просвещение, Москва, 2014, страница 260, номер 898, Решение 5 (продолжение 2)
Решение 7. №898 (с. 260)
Алгебра, 10-11 класс Учебник, авторы: Алимов Шавкат Арифджанович, Колягин Юрий Михайлович, Ткачева Мария Владимировна, Федорова Надежда Евгеньевна, Шабунин Михаил Иванович, издательство Просвещение, Москва, 2014, страница 260, номер 898, Решение 7 Алгебра, 10-11 класс Учебник, авторы: Алимов Шавкат Арифджанович, Колягин Юрий Михайлович, Ткачева Мария Владимировна, Федорова Надежда Евгеньевна, Шабунин Михаил Иванович, издательство Просвещение, Москва, 2014, страница 260, номер 898, Решение 7 (продолжение 2)
Решение 8. №898 (с. 260)

Для решения задачи сначала найдем общее уравнение касательной к графику функции $y = x^3 - 6$ в произвольной точке с абсциссой $x_0$.

Производная функции: $y' = (x^3 - 6)' = 3x^2$. Эта производная дает угловой коэффициент $k$ касательной в точке $x_0$, то есть $k = 3x_0^2$.

Значение функции в точке касания равно $y_0 = x_0^3 - 6$. Уравнение касательной в общем виде: $y - y_0 = k(x - x_0)$. Подставим наши значения:

$y - (x_0^3 - 6) = 3x_0^2(x - x_0)$

Преобразуем уравнение к виду $y = kx + b$:

$y = 3x_0^2 x - 3x_0^3 + x_0^3 - 6$

$y = 3x_0^2 x - (2x_0^3 + 6)$

Теперь найдем точки, в которых эта касательная пересекает оси координат. Точки A и B (или C и D) являются этими точками пересечения.

Пересечение с осью OY (когда $x=0$): $y_{\text{пер}} = -(2x_0^3 + 6)$.

Пересечение с осью OX (когда $y=0$): $0 = 3x_0^2 x_{\text{пер}} - (2x_0^3 + 6)$, откуда $x_{\text{пер}} = \frac{2x_0^3 + 6}{3x_0^2}$. (Заметим, что $x_0 \ne 0$, иначе касательная была бы горизонтальной и не образовывала бы треугольник с обеими осями).

Треугольник, образованный касательной и осями координат (например, AOB), является прямоугольным. Его вершинами служат начало координат O(0,0), точка на оси OX и точка на оси OY. Площадь такого треугольника $S$ вычисляется по формуле:

$S(x_0) = \frac{1}{2} |x_{\text{пер}} \cdot y_{\text{пер}}| = \frac{1}{2} \left| \frac{2x_0^3 + 6}{3x_0^2} \cdot (-(2x_0^3 + 6)) \right| = \frac{(2x_0^3 + 6)^2}{6x_0^2}$

В задаче говорится о двух параллельных касательных. Это означает, что их угловые коэффициенты равны. Пусть точки касания имеют абсциссы $x_1$ и $x_2$.

$3x_1^2 = 3x_2^2 \Rightarrow x_1^2 = x_2^2$.

Поскольку касательные различны, $x_1 \neq x_2$, следовательно $x_1 = -x_2$.

Пусть площади соответствующих треугольников равны $S_{AOB}$ и $S_{COD}$. По условию, $S_{AOB}$ в 4 раза меньше $S_{COD}$, то есть $S_{COD} = 4S_{AOB}$. Это означает, что одна из площадей в 4 раза больше другой. Пусть $S(-x_1) = 4S(x_1)$.

$\frac{(2(-x_1)^3 + 6)^2}{6(-x_1)^2} = 4 \cdot \frac{(2x_1^3 + 6)^2}{6x_1^2}$

Сократив общий множитель $6x_1^2$, получим:

$(-2x_1^3 + 6)^2 = 4(2x_1^3 + 6)^2$

Извлечем квадратный корень из обеих частей:

$|6 - 2x_1^3| = 2|6 + 2x_1^3|$

Для решения этого уравнения введем замену $Z = 2x_1^3$.

$|6 - Z| = 2|6 + Z|$

Это уравнение эквивалентно двум линейным уравнениям:

1) $6 - Z = 2(6 + Z) \Rightarrow 6 - Z = 12 + 2Z \Rightarrow 3Z = -6 \Rightarrow Z = -2$.

2) $6 - Z = -2(6 + Z) \Rightarrow 6 - Z = -12 - 2Z \Rightarrow Z = -18$.

Теперь вернемся к переменной $x_1$ для каждого случая.

Случай 1: $Z = -2$.

$2x_1^3 = -2 \Rightarrow x_1^3 = -1 \Rightarrow x_1 = -1$.

Пара точек касания: $x=-1$ и $x=1$. Найдем площади соответствующих треугольников:

$S(-1) = \frac{(2(-1)^3 + 6)^2}{6(-1)^2} = \frac{(-2+6)^2}{6} = \frac{16}{6} = \frac{8}{3}$.

$S(1) = \frac{(2(1)^3 + 6)^2}{6(1)^2} = \frac{(2+6)^2}{6} = \frac{64}{6} = \frac{32}{3}$.

Здесь $S(1) = 4S(-1)$, что удовлетворяет условию. Площадь меньшего треугольника AOB равна $\frac{8}{3}$.

Случай 2: $Z = -18$.

$2x_1^3 = -18 \Rightarrow x_1^3 = -9 \Rightarrow x_1 = -\sqrt[3]{9}$.

Пара точек касания: $x=-\sqrt[3]{9}$ и $x=\sqrt[3]{9}$. Найдем площади:

$S(-\sqrt[3]{9}) = \frac{(2(-9) + 6)^2}{6(-\sqrt[3]{9})^2} = \frac{(-12)^2}{6 \cdot 9^{2/3}} = \frac{144}{6 \cdot 9^{2/3}} = \frac{24}{9^{2/3}} = \frac{24}{(3^2)^{2/3}} = \frac{24}{3^{4/3}} = \frac{8 \cdot 3}{3 \sqrt[3]{3}} = \frac{8}{\sqrt[3]{3}}$.

$S(\sqrt[3]{9}) = \frac{(2(9) + 6)^2}{6(\sqrt[3]{9})^2} = \frac{(24)^2}{6 \cdot 9^{2/3}} = \frac{576}{6 \cdot 9^{2/3}} = \frac{96}{9^{2/3}} = \frac{32 \cdot 3}{3 \sqrt[3]{3}} = \frac{32}{\sqrt[3]{3}}$.

Здесь $S(\sqrt[3]{9}) = 4S(-\sqrt[3]{9})$, что также удовлетворяет условию. Площадь меньшего треугольника AOB равна $\frac{8}{\sqrt[3]{3}}$.

Таким образом, условию задачи удовлетворяют две пары касательных, что приводит к двум возможным значениям для искомой площади.

Ответ: $\frac{8}{3}$ или $\frac{8}{\sqrt[3]{3}}$.

Помогло решение? Оставьте отзыв в комментариях ниже.

Присоединяйтесь к Телеграм-группе @top_gdz

Присоединиться

Мы подготовили для вас ответ c подробным объяснением домашего задания по алгебре за 10-11 класс, для упражнения номер 898 расположенного на странице 260 к учебнику 2014 года издания для учащихся школ и гимназий.

Теперь на нашем сайте ГДЗ.ТОП вы всегда легко и бесплатно найдёте условие с правильным ответом на вопрос «Как решить ДЗ» и «Как сделать» задание по алгебре к упражнению №898 (с. 260), авторов: Алимов (Шавкат Арифджанович), Колягин (Юрий Михайлович), Ткачева (Мария Владимировна), Федорова (Надежда Евгеньевна), Шабунин (Михаил Иванович), ФГОС (старый) базовый и углублённый уровень обучения учебного пособия издательства Просвещение.