Номер 902, страница 264 - гдз по алгебре 10-11 класс учебник Алимов, Колягин

Алгебра, 10-11 класс Учебник, авторы: Алимов Шавкат Арифджанович, Колягин Юрий Михайлович, Ткачева Мария Владимировна, Федорова Надежда Евгеньевна, Шабунин Михаил Иванович, издательство Просвещение, Москва, 2014

Авторы: Алимов Ш. А., Колягин Ю. М., Ткачева М. В., Федорова Н. Е., Шабунин М. И.

Тип: Учебник

Издательство: Просвещение

Год издания: 2014 - 2025

Уровень обучения: базовый и углублённый

Цвет обложки: синий, фиолетовый

ISBN: 978-5-09-112136-0

Допущено Министерством просвещения Российской Федерации

Математика: алгебра и начала математического анализа, геометрия

Популярные ГДЗ в 10 классе

Глава 9. Применение производной к исследованию функций. Параграф 49. Возрастание и убывание функции - номер 902, страница 264.

№902 (с. 264)
Условие. №902 (с. 264)
скриншот условия
Алгебра, 10-11 класс Учебник, авторы: Алимов Шавкат Арифджанович, Колягин Юрий Михайлович, Ткачева Мария Владимировна, Федорова Надежда Евгеньевна, Шабунин Михаил Иванович, издательство Просвещение, Москва, 2014, страница 264, номер 902, Условие

Найти промежутки возрастания и убывания функции (902–905).

902 1) $y = \frac{1}{x+2}$; 2) $y = 1 + \frac{2}{x}$; 3) $y = -\sqrt{x-3}$; 4) $y = 1 + 3\sqrt{x-5}$.

Решение 1. №902 (с. 264)
Алгебра, 10-11 класс Учебник, авторы: Алимов Шавкат Арифджанович, Колягин Юрий Михайлович, Ткачева Мария Владимировна, Федорова Надежда Евгеньевна, Шабунин Михаил Иванович, издательство Просвещение, Москва, 2014, страница 264, номер 902, Решение 1
Алгебра, 10-11 класс Учебник, авторы: Алимов Шавкат Арифджанович, Колягин Юрий Михайлович, Ткачева Мария Владимировна, Федорова Надежда Евгеньевна, Шабунин Михаил Иванович, издательство Просвещение, Москва, 2014, страница 264, номер 902, Решение 1 (продолжение 2)
Алгебра, 10-11 класс Учебник, авторы: Алимов Шавкат Арифджанович, Колягин Юрий Михайлович, Ткачева Мария Владимировна, Федорова Надежда Евгеньевна, Шабунин Михаил Иванович, издательство Просвещение, Москва, 2014, страница 264, номер 902, Решение 1 (продолжение 3)
Алгебра, 10-11 класс Учебник, авторы: Алимов Шавкат Арифджанович, Колягин Юрий Михайлович, Ткачева Мария Владимировна, Федорова Надежда Евгеньевна, Шабунин Михаил Иванович, издательство Просвещение, Москва, 2014, страница 264, номер 902, Решение 1 (продолжение 4)
Решение 2. №902 (с. 264)
Алгебра, 10-11 класс Учебник, авторы: Алимов Шавкат Арифджанович, Колягин Юрий Михайлович, Ткачева Мария Владимировна, Федорова Надежда Евгеньевна, Шабунин Михаил Иванович, издательство Просвещение, Москва, 2014, страница 264, номер 902, Решение 2
Алгебра, 10-11 класс Учебник, авторы: Алимов Шавкат Арифджанович, Колягин Юрий Михайлович, Ткачева Мария Владимировна, Федорова Надежда Евгеньевна, Шабунин Михаил Иванович, издательство Просвещение, Москва, 2014, страница 264, номер 902, Решение 2 (продолжение 2)
Решение 4. №902 (с. 264)
Алгебра, 10-11 класс Учебник, авторы: Алимов Шавкат Арифджанович, Колягин Юрий Михайлович, Ткачева Мария Владимировна, Федорова Надежда Евгеньевна, Шабунин Михаил Иванович, издательство Просвещение, Москва, 2014, страница 264, номер 902, Решение 4
Алгебра, 10-11 класс Учебник, авторы: Алимов Шавкат Арифджанович, Колягин Юрий Михайлович, Ткачева Мария Владимировна, Федорова Надежда Евгеньевна, Шабунин Михаил Иванович, издательство Просвещение, Москва, 2014, страница 264, номер 902, Решение 4 (продолжение 2)
Решение 5. №902 (с. 264)
Алгебра, 10-11 класс Учебник, авторы: Алимов Шавкат Арифджанович, Колягин Юрий Михайлович, Ткачева Мария Владимировна, Федорова Надежда Евгеньевна, Шабунин Михаил Иванович, издательство Просвещение, Москва, 2014, страница 264, номер 902, Решение 5
Решение 7. №902 (с. 264)
Алгебра, 10-11 класс Учебник, авторы: Алимов Шавкат Арифджанович, Колягин Юрий Михайлович, Ткачева Мария Владимировна, Федорова Надежда Евгеньевна, Шабунин Михаил Иванович, издательство Просвещение, Москва, 2014, страница 264, номер 902, Решение 7 Алгебра, 10-11 класс Учебник, авторы: Алимов Шавкат Арифджанович, Колягин Юрий Михайлович, Ткачева Мария Владимировна, Федорова Надежда Евгеньевна, Шабунин Михаил Иванович, издательство Просвещение, Москва, 2014, страница 264, номер 902, Решение 7 (продолжение 2)
Решение 8. №902 (с. 264)

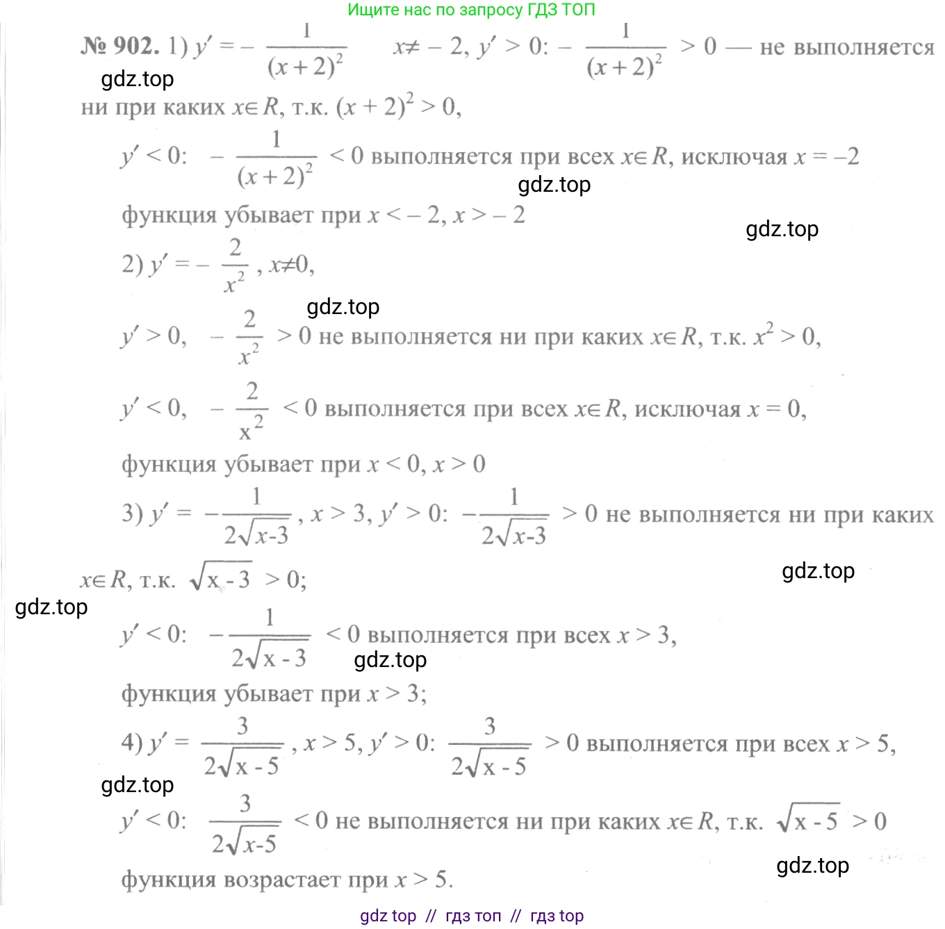
1) Для нахождения промежутков возрастания и убывания функции $y = \frac{1}{x+2}$ воспользуемся производной.

Сначала найдем область определения функции. Знаменатель не может быть равен нулю, поэтому $x+2 \neq 0$, что означает $x \neq -2$. Таким образом, область определения функции: $D(y) = (-\infty; -2) \cup (-2; +\infty)$.

Далее найдем производную функции:

$y' = \left(\frac{1}{x+2}\right)' = -\frac{1}{(x+2)^2}$.

Определим знак производной. Выражение $(x+2)^2$ всегда положительно для любого $x$ из области определения (т.к. $x \neq -2$). Следовательно, производная $y' = -\frac{1}{(x+2)^2}$ всегда отрицательна на всей области определения.

Если производная функции отрицательна на некотором промежутке, то функция на этом промежутке убывает. Значит, функция $y = \frac{1}{x+2}$ убывает на каждом из промежутков своей области определения.

Ответ: функция убывает на промежутках $(-\infty; -2)$ и $(-2; +\infty)$; промежутков возрастания нет.

2) Найдем промежутки возрастания и убывания для функции $y = 1 + \frac{2}{x}$.

Область определения функции: знаменатель $x$ не должен быть равен нулю, т.е. $x \neq 0$. Область определения: $D(y) = (-\infty; 0) \cup (0; +\infty)$.

Найдем производную функции:

$y' = \left(1 + \frac{2}{x}\right)' = (1)' + \left(2x^{-1}\right)' = 0 + 2(-1)x^{-2} = -\frac{2}{x^2}$.

Проанализируем знак производной. Выражение $x^2$ всегда положительно для любого $x \neq 0$. Таким образом, производная $y' = -\frac{2}{x^2}$ всегда отрицательна на всей области определения.

Так как производная отрицательна, функция убывает на каждом из промежутков, входящих в ее область определения.

Ответ: функция убывает на промежутках $(-\infty; 0)$ и $(0; +\infty)$; промежутков возрастания нет.

3) Найдем промежутки возрастания и убывания для функции $y = -\sqrt{x-3}$.

Область определения функции: выражение под знаком квадратного корня должно быть неотрицательным. $x-3 \ge 0$, откуда $x \ge 3$. Область определения: $D(y) = [3; +\infty)$.

Найдем производную функции:

$y' = \left(-\sqrt{x-3}\right)' = -\frac{1}{2\sqrt{x-3}}$.

Производная определена для $x-3 > 0$, то есть при $x > 3$. На этом интервале знаменатель $2\sqrt{x-3}$ всегда положителен. Следовательно, вся дробь $\frac{1}{2\sqrt{x-3}}$ положительна, а производная $y'$ со знаком минус перед дробью — всегда отрицательна.

Поскольку $y' < 0$ при $x > 3$ и функция непрерывна в точке $x=3$, она убывает на всей своей области определения.

Ответ: функция убывает на промежутке $[3; +\infty)$; промежутков возрастания нет.

4) Найдем промежутки возрастания и убывания для функции $y = 1+3\sqrt{x-5}$.

Область определения функции: $x-5 \ge 0$, откуда $x \ge 5$. Область определения: $D(y) = [5; +\infty)$.

Найдем производную функции:

$y' = \left(1+3\sqrt{x-5}\right)' = (1)' + (3\sqrt{x-5})' = 0 + 3 \cdot \frac{1}{2\sqrt{x-5}} = \frac{3}{2\sqrt{x-5}}$.

Производная определена для $x-5 > 0$, то есть при $x > 5$. На этом интервале знаменатель $2\sqrt{x-5}$ всегда положителен. Следовательно, производная $y'$ всегда положительна.

Так как $y' > 0$ при $x > 5$ и функция непрерывна в точке $x=5$, она возрастает на всей своей области определения.

Ответ: функция возрастает на промежутке $[5; +\infty)$; промежутков убывания нет.

Помогло решение? Оставьте отзыв в комментариях ниже.

Присоединяйтесь к Телеграм-группе @top_gdz

Присоединиться

Мы подготовили для вас ответ c подробным объяснением домашего задания по алгебре за 10-11 класс, для упражнения номер 902 расположенного на странице 264 к учебнику 2014 года издания для учащихся школ и гимназий.

Теперь на нашем сайте ГДЗ.ТОП вы всегда легко и бесплатно найдёте условие с правильным ответом на вопрос «Как решить ДЗ» и «Как сделать» задание по алгебре к упражнению №902 (с. 264), авторов: Алимов (Шавкат Арифджанович), Колягин (Юрий Михайлович), Ткачева (Мария Владимировна), Федорова (Надежда Евгеньевна), Шабунин (Михаил Иванович), ФГОС (старый) базовый и углублённый уровень обучения учебного пособия издательства Просвещение.