Номер 903, страница 264 - гдз по алгебре 10-11 класс учебник Алимов, Колягин

Алгебра, 10-11 класс Учебник, авторы: Алимов Шавкат Арифджанович, Колягин Юрий Михайлович, Ткачева Мария Владимировна, Федорова Надежда Евгеньевна, Шабунин Михаил Иванович, издательство Просвещение, Москва, 2014

Авторы: Алимов Ш. А., Колягин Ю. М., Ткачева М. В., Федорова Н. Е., Шабунин М. И.

Тип: Учебник

Издательство: Просвещение

Год издания: 2014 - 2025

Уровень обучения: базовый и углублённый

Цвет обложки: синий, фиолетовый

ISBN: 978-5-09-112136-0

Допущено Министерством просвещения Российской Федерации

Математика: алгебра и начала математического анализа, геометрия

Популярные ГДЗ в 10 классе

Глава 9. Применение производной к исследованию функций. Параграф 49. Возрастание и убывание функции - номер 903, страница 264.

№903 (с. 264)
Условие. №903 (с. 264)
скриншот условия
Алгебра, 10-11 класс Учебник, авторы: Алимов Шавкат Арифджанович, Колягин Юрий Михайлович, Ткачева Мария Владимировна, Федорова Надежда Евгеньевна, Шабунин Михаил Иванович, издательство Просвещение, Москва, 2014, страница 264, номер 903, Условие

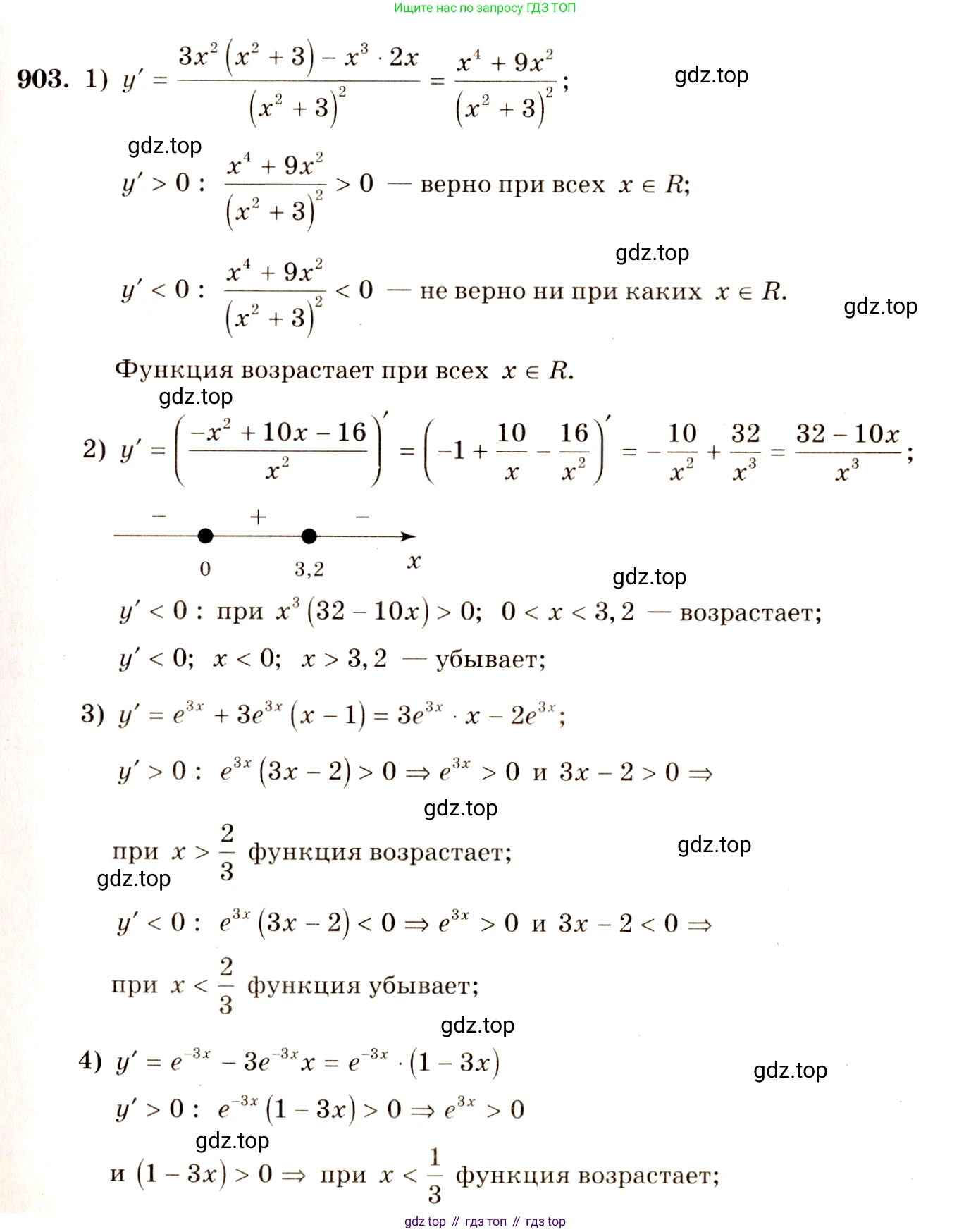
903 1) $y = \frac{x^3}{x^2 + 3}$;

2) $y = \frac{(x-2)(8-x)}{x^2}$;

3) $y = (x-1) e^{3x}$;

4) $y = xe^{-3x}$.

Решение 1. №903 (с. 264)
Алгебра, 10-11 класс Учебник, авторы: Алимов Шавкат Арифджанович, Колягин Юрий Михайлович, Ткачева Мария Владимировна, Федорова Надежда Евгеньевна, Шабунин Михаил Иванович, издательство Просвещение, Москва, 2014, страница 264, номер 903, Решение 1
Алгебра, 10-11 класс Учебник, авторы: Алимов Шавкат Арифджанович, Колягин Юрий Михайлович, Ткачева Мария Владимировна, Федорова Надежда Евгеньевна, Шабунин Михаил Иванович, издательство Просвещение, Москва, 2014, страница 264, номер 903, Решение 1 (продолжение 2)
Алгебра, 10-11 класс Учебник, авторы: Алимов Шавкат Арифджанович, Колягин Юрий Михайлович, Ткачева Мария Владимировна, Федорова Надежда Евгеньевна, Шабунин Михаил Иванович, издательство Просвещение, Москва, 2014, страница 264, номер 903, Решение 1 (продолжение 3)
Алгебра, 10-11 класс Учебник, авторы: Алимов Шавкат Арифджанович, Колягин Юрий Михайлович, Ткачева Мария Владимировна, Федорова Надежда Евгеньевна, Шабунин Михаил Иванович, издательство Просвещение, Москва, 2014, страница 264, номер 903, Решение 1 (продолжение 4)
Решение 2. №903 (с. 264)
Алгебра, 10-11 класс Учебник, авторы: Алимов Шавкат Арифджанович, Колягин Юрий Михайлович, Ткачева Мария Владимировна, Федорова Надежда Евгеньевна, Шабунин Михаил Иванович, издательство Просвещение, Москва, 2014, страница 264, номер 903, Решение 2
Алгебра, 10-11 класс Учебник, авторы: Алимов Шавкат Арифджанович, Колягин Юрий Михайлович, Ткачева Мария Владимировна, Федорова Надежда Евгеньевна, Шабунин Михаил Иванович, издательство Просвещение, Москва, 2014, страница 264, номер 903, Решение 2 (продолжение 2)
Решение 4. №903 (с. 264)
Алгебра, 10-11 класс Учебник, авторы: Алимов Шавкат Арифджанович, Колягин Юрий Михайлович, Ткачева Мария Владимировна, Федорова Надежда Евгеньевна, Шабунин Михаил Иванович, издательство Просвещение, Москва, 2014, страница 264, номер 903, Решение 4
Алгебра, 10-11 класс Учебник, авторы: Алимов Шавкат Арифджанович, Колягин Юрий Михайлович, Ткачева Мария Владимировна, Федорова Надежда Евгеньевна, Шабунин Михаил Иванович, издательство Просвещение, Москва, 2014, страница 264, номер 903, Решение 4 (продолжение 2)
Решение 5. №903 (с. 264)
Алгебра, 10-11 класс Учебник, авторы: Алимов Шавкат Арифджанович, Колягин Юрий Михайлович, Ткачева Мария Владимировна, Федорова Надежда Евгеньевна, Шабунин Михаил Иванович, издательство Просвещение, Москва, 2014, страница 264, номер 903, Решение 5
Решение 7. №903 (с. 264)
Алгебра, 10-11 класс Учебник, авторы: Алимов Шавкат Арифджанович, Колягин Юрий Михайлович, Ткачева Мария Владимировна, Федорова Надежда Евгеньевна, Шабунин Михаил Иванович, издательство Просвещение, Москва, 2014, страница 264, номер 903, Решение 7 Алгебра, 10-11 класс Учебник, авторы: Алимов Шавкат Арифджанович, Колягин Юрий Михайлович, Ткачева Мария Владимировна, Федорова Надежда Евгеньевна, Шабунин Михаил Иванович, издательство Просвещение, Москва, 2014, страница 264, номер 903, Решение 7 (продолжение 2)
Решение 8. №903 (с. 264)
1)

Для исследования функции $y = \frac{x^3}{x^2 + 3}$ на монотонность и экстремумы, найдем ее производную.

Область определения функции - все действительные числа, $D(y) = (-\infty; +\infty)$, так как знаменатель $x^2 + 3 > 0$ при любых $x$.

Используем правило дифференцирования частного $(\frac{u}{v})' = \frac{u'v - uv'}{v^2}$:

$y' = \frac{(x^3)'(x^2 + 3) - x^3(x^2 + 3)'}{(x^2 + 3)^2} = \frac{3x^2(x^2 + 3) - x^3(2x)}{(x^2 + 3)^2} = \frac{3x^4 + 9x^2 - 2x^4}{(x^2 + 3)^2} = \frac{x^4 + 9x^2}{(x^2 + 3)^2}$.

Приравняем производную к нулю, чтобы найти стационарные точки:

$y' = 0 \Rightarrow \frac{x^2(x^2 + 9)}{(x^2 + 3)^2} = 0$.

Это уравнение равносильно $x^2(x^2 + 9) = 0$. Так как $x^2 + 9$ всегда больше нуля, единственное решение - $x^2 = 0$, то есть $x = 0$.

Определим знаки производной на интервалах, на которые область определения разбивается стационарной точкой $x=0$.

Знаменатель $(x^2 + 3)^2$ всегда положителен. Числитель $x^2(x^2 + 9)$ также всегда неотрицателен. Он равен нулю при $x=0$ и положителен при всех остальных $x$.

Следовательно, $y' > 0$ при $x \in (-\infty; 0)$ и $x \in (0; +\infty)$.

Так как производная положительна на всей области определения, за исключением точки $x=0$, где она равна нулю, функция является возрастающей на всей числовой прямой. В точке $x=0$ производная не меняет знак, значит, экстремума в этой точке нет.

Ответ: функция возрастает на всей области определения $(-\infty; +\infty)$, точек экстремума нет.

2)

Исследуем функцию $y = \frac{(x - 2)(8 - x)}{x^2}$. Сначала упростим выражение:

$y = \frac{8x - x^2 - 16 + 2x}{x^2} = \frac{-x^2 + 10x - 16}{x^2}$.

Область определения функции: $x \neq 0$, то есть $D(y) = (-\infty; 0) \cup (0; +\infty)$.

Найдем производную функции:

$y' = \frac{(-2x + 10)x^2 - (-x^2 + 10x - 16)(2x)}{(x^2)^2} = \frac{-2x^3 + 10x^2 - (-2x^3 + 20x^2 - 32x)}{x^4} = \frac{-10x^2 + 32x}{x^4} = \frac{x(-10x + 32)}{x^4} = \frac{32 - 10x}{x^3}$.

Найдем критические точки. Приравняем производную к нулю:

$y' = 0 \Rightarrow 32 - 10x = 0 \Rightarrow 10x = 32 \Rightarrow x = 3.2$.

Производная не определена в точке $x=0$, которая не входит в область определения функции. Критические точки разбивают числовую прямую на интервалы: $(-\infty; 0)$, $(0; 3.2)$ и $(3.2; +\infty)$.

Определим знак производной на каждом интервале:

  • При $x \in (-\infty; 0)$ (например, $x=-1$): $y' = \frac{32 - 10(-1)}{(-1)^3} = \frac{42}{-1} < 0$, функция убывает.
  • При $x \in (0; 3.2)$ (например, $x=1$): $y' = \frac{32 - 10(1)}{1^3} = 22 > 0$, функция возрастает.
  • При $x \in (3.2; +\infty)$ (например, $x=4$): $y' = \frac{32 - 10(4)}{4^3} = \frac{-8}{64} < 0$, функция убывает.

В точке $x = 3.2$ производная меняет знак с «+» на «-», следовательно, это точка максимума.

Найдем значение функции в точке максимума:

$y_{max} = y(3.2) = \frac{-(3.2)^2 + 10(3.2) - 16}{(3.2)^2} = \frac{-10.24 + 32 - 16}{10.24} = \frac{5.76}{10.24} = \frac{576}{1024} = \frac{9}{16}$.

Ответ: промежуток возрастания: $(0; 3.2]$; промежутки убывания: $(-\infty; 0)$ и $[3.2; +\infty)$; точка максимума: $x_{max} = 3.2$, $y_{max} = \frac{9}{16}$.

3)

Исследуем функцию $y = (x - 1)e^{3x}$.

Область определения функции - все действительные числа, $D(y) = (-\infty; +\infty)$.

Найдем производную, используя правило дифференцирования произведения $(uv)' = u'v + uv'$:

$y' = (x-1)'e^{3x} + (x-1)(e^{3x})' = 1 \cdot e^{3x} + (x-1) \cdot 3e^{3x} = e^{3x}(1 + 3(x-1)) = e^{3x}(3x - 2)$.

Найдем стационарные точки, приравняв производную к нулю:

$y' = 0 \Rightarrow e^{3x}(3x - 2) = 0$.

Так как $e^{3x} > 0$ для любого $x$, то $3x - 2 = 0 \Rightarrow x = \frac{2}{3}$.

Определим знаки производной. Знак $y'$ совпадает со знаком выражения $(3x - 2)$.

  • При $x < \frac{2}{3}$, $3x - 2 < 0$, следовательно $y' < 0$, функция убывает.
  • При $x > \frac{2}{3}$, $3x - 2 > 0$, следовательно $y' > 0$, функция возрастает.

В точке $x = \frac{2}{3}$ производная меняет знак с «-» на «+», следовательно, это точка минимума.

Найдем значение функции в точке минимума:

$y_{min} = y(\frac{2}{3}) = (\frac{2}{3} - 1)e^{3 \cdot \frac{2}{3}} = -\frac{1}{3}e^2$.

Ответ: промежуток возрастания: $[\frac{2}{3}; +\infty)$; промежуток убывания: $(-\infty; \frac{2}{3}]$; точка минимума: $x_{min} = \frac{2}{3}$, $y_{min} = -\frac{e^2}{3}$.

4)

Исследуем функцию $y = xe^{-3x}$.

Область определения функции - все действительные числа, $D(y) = (-\infty; +\infty)$.

Найдем производную по правилу произведения:

$y' = (x)'e^{-3x} + x(e^{-3x})' = 1 \cdot e^{-3x} + x \cdot (-3e^{-3x}) = e^{-3x}(1 - 3x)$.

Найдем стационарные точки:

$y' = 0 \Rightarrow e^{-3x}(1 - 3x) = 0$.

Так как $e^{-3x} > 0$ для любого $x$, то $1 - 3x = 0 \Rightarrow x = \frac{1}{3}$.

Определим знаки производной. Знак $y'$ совпадает со знаком выражения $(1 - 3x)$.

  • При $x < \frac{1}{3}$, $1 - 3x > 0$, следовательно $y' > 0$, функция возрастает.
  • При $x > \frac{1}{3}$, $1 - 3x < 0$, следовательно $y' < 0$, функция убывает.

В точке $x = \frac{1}{3}$ производная меняет знак с «+» на «-», следовательно, это точка максимума.

Найдем значение функции в точке максимума:

$y_{max} = y(\frac{1}{3}) = \frac{1}{3}e^{-3 \cdot \frac{1}{3}} = \frac{1}{3}e^{-1} = \frac{1}{3e}$.

Ответ: промежуток возрастания: $(-\infty; \frac{1}{3}]$; промежуток убывания: $[\frac{1}{3}; +\infty)$; точка максимума: $x_{max} = \frac{1}{3}$, $y_{max} = \frac{1}{3e}$.

Помогло решение? Оставьте отзыв в комментариях ниже.

Присоединяйтесь к Телеграм-группе @top_gdz

Присоединиться

Мы подготовили для вас ответ c подробным объяснением домашего задания по алгебре за 10-11 класс, для упражнения номер 903 расположенного на странице 264 к учебнику 2014 года издания для учащихся школ и гимназий.

Теперь на нашем сайте ГДЗ.ТОП вы всегда легко и бесплатно найдёте условие с правильным ответом на вопрос «Как решить ДЗ» и «Как сделать» задание по алгебре к упражнению №903 (с. 264), авторов: Алимов (Шавкат Арифджанович), Колягин (Юрий Михайлович), Ткачева (Мария Владимировна), Федорова (Надежда Евгеньевна), Шабунин (Михаил Иванович), ФГОС (старый) базовый и углублённый уровень обучения учебного пособия издательства Просвещение.