Номер 968, страница 288 - гдз по алгебре 10-11 класс учебник Алимов, Колягин

Алгебра, 10-11 класс Учебник, авторы: Алимов Шавкат Арифджанович, Колягин Юрий Михайлович, Ткачева Мария Владимировна, Федорова Надежда Евгеньевна, Шабунин Михаил Иванович, издательство Просвещение, Москва, 2014

Авторы: Алимов Ш. А., Колягин Ю. М., Ткачева М. В., Федорова Н. Е., Шабунин М. И.

Тип: Учебник

Издательство: Просвещение

Год издания: 2014 - 2025

Уровень обучения: базовый и углублённый

Цвет обложки: синий, фиолетовый

ISBN: 978-5-09-112136-0

Допущено Министерством просвещения Российской Федерации

Математика: алгебра и начала математического анализа, геометрия

Популярные ГДЗ в 10 классе

Глава 9. Применение производной к исследованию функций. Упражнения к главе 9 - номер 968, страница 288.

№968 (с. 288)
Условие. №968 (с. 288)
скриншот условия
Алгебра, 10-11 класс Учебник, авторы: Алимов Шавкат Арифджанович, Колягин Юрий Михайлович, Ткачева Мария Владимировна, Федорова Надежда Евгеньевна, Шабунин Михаил Иванович, издательство Просвещение, Москва, 2014, страница 288, номер 968, Условие

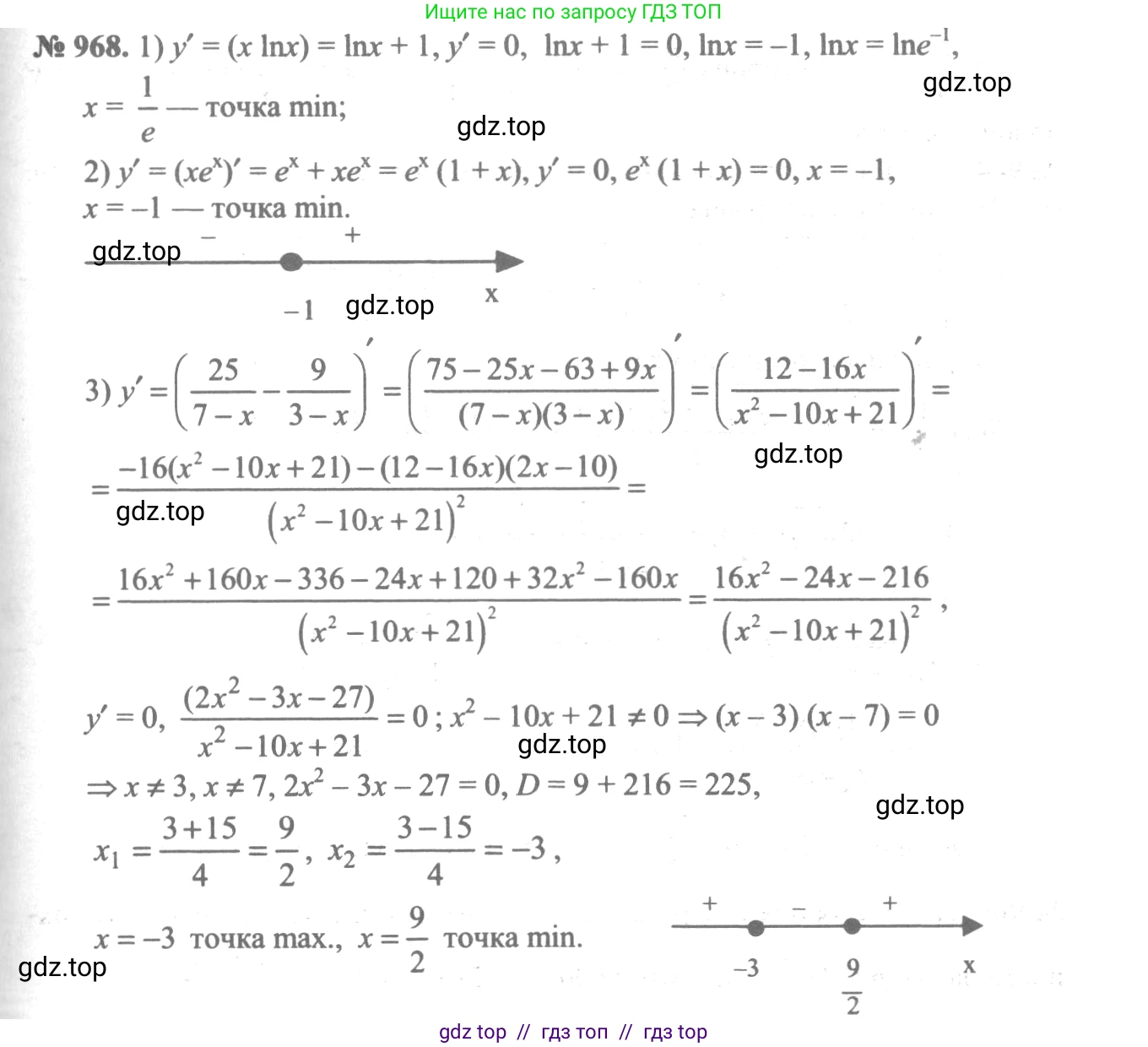
968 Найти точки экстремума функции:

1) $y = x \ln x$;

2) $y = xe^x$;

3) $y = \frac{25}{7-x} - \frac{9}{3-x}$.

Решение 1. №968 (с. 288)
Алгебра, 10-11 класс Учебник, авторы: Алимов Шавкат Арифджанович, Колягин Юрий Михайлович, Ткачева Мария Владимировна, Федорова Надежда Евгеньевна, Шабунин Михаил Иванович, издательство Просвещение, Москва, 2014, страница 288, номер 968, Решение 1
Алгебра, 10-11 класс Учебник, авторы: Алимов Шавкат Арифджанович, Колягин Юрий Михайлович, Ткачева Мария Владимировна, Федорова Надежда Евгеньевна, Шабунин Михаил Иванович, издательство Просвещение, Москва, 2014, страница 288, номер 968, Решение 1 (продолжение 2)
Решение 2. №968 (с. 288)
Алгебра, 10-11 класс Учебник, авторы: Алимов Шавкат Арифджанович, Колягин Юрий Михайлович, Ткачева Мария Владимировна, Федорова Надежда Евгеньевна, Шабунин Михаил Иванович, издательство Просвещение, Москва, 2014, страница 288, номер 968, Решение 2
Алгебра, 10-11 класс Учебник, авторы: Алимов Шавкат Арифджанович, Колягин Юрий Михайлович, Ткачева Мария Владимировна, Федорова Надежда Евгеньевна, Шабунин Михаил Иванович, издательство Просвещение, Москва, 2014, страница 288, номер 968, Решение 2 (продолжение 2)
Решение 3. №968 (с. 288)
Алгебра, 10-11 класс Учебник, авторы: Алимов Шавкат Арифджанович, Колягин Юрий Михайлович, Ткачева Мария Владимировна, Федорова Надежда Евгеньевна, Шабунин Михаил Иванович, издательство Просвещение, Москва, 2014, страница 288, номер 968, Решение 3
Решение 5. №968 (с. 288)
Алгебра, 10-11 класс Учебник, авторы: Алимов Шавкат Арифджанович, Колягин Юрий Михайлович, Ткачева Мария Владимировна, Федорова Надежда Евгеньевна, Шабунин Михаил Иванович, издательство Просвещение, Москва, 2014, страница 288, номер 968, Решение 5
Решение 7. №968 (с. 288)
Алгебра, 10-11 класс Учебник, авторы: Алимов Шавкат Арифджанович, Колягин Юрий Михайлович, Ткачева Мария Владимировна, Федорова Надежда Евгеньевна, Шабунин Михаил Иванович, издательство Просвещение, Москва, 2014, страница 288, номер 968, Решение 7 Алгебра, 10-11 класс Учебник, авторы: Алимов Шавкат Арифджанович, Колягин Юрий Михайлович, Ткачева Мария Владимировна, Федорова Надежда Евгеньевна, Шабунин Михаил Иванович, издательство Просвещение, Москва, 2014, страница 288, номер 968, Решение 7 (продолжение 2)
Решение 8. №968 (с. 288)

Для нахождения точек экстремума функции необходимо найти ее производную, приравнять производную к нулю, чтобы найти критические точки, а затем исследовать знак производной в окрестности этих точек.

1) $y = x \ln x$

1. Найдем область определения функции. Так как логарифмическая функция определена только для положительных аргументов, то $x > 0$. Область определения $D(y) = (0, +\infty)$.

2. Найдем производную функции, используя правило дифференцирования произведения $(uv)' = u'v + uv'$:

$y' = (x \ln x)' = (x)' \cdot \ln x + x \cdot (\ln x)' = 1 \cdot \ln x + x \cdot \frac{1}{x} = \ln x + 1$.

3. Найдем критические точки. Для этого приравняем производную к нулю:

$y' = 0 \Rightarrow \ln x + 1 = 0 \Rightarrow \ln x = -1$.

Из определения натурального логарифма следует, что $x = e^{-1} = \frac{1}{e}$.

Эта точка принадлежит области определения функции.

4. Исследуем знак производной на интервалах, на которые область определения разбивается критической точкой: $(0; \frac{1}{e})$ и $(\frac{1}{e}; +\infty)$.

- На интервале $(0; \frac{1}{e})$, возьмем пробную точку $x = \frac{1}{e^2}$. $y'(\frac{1}{e^2}) = \ln(\frac{1}{e^2}) + 1 = -2 + 1 = -1 < 0$. Следовательно, функция убывает на этом интервале.

- На интервале $(\frac{1}{e}; +\infty)$, возьмем пробную точку $x = e$. $y'(e) = \ln(e) + 1 = 1 + 1 = 2 > 0$. Следовательно, функция возрастает на этом интервале.

5. Так как при переходе через точку $x = \frac{1}{e}$ производная меняет знак с минуса на плюс, то эта точка является точкой минимума.

Ответ: $x_{\min} = \frac{1}{e}$.

2) $y = xe^x$

1. Область определения функции — все действительные числа, $D(y) = (-\infty; +\infty)$, так как и $x$, и $e^x$ определены для любых $x$.

2. Найдем производную функции, используя правило дифференцирования произведения:

$y' = (xe^x)' = (x)'e^x + x(e^x)' = 1 \cdot e^x + x \cdot e^x = e^x(1 + x)$.

3. Найдем критические точки, приравняв производную к нулю:

$y' = 0 \Rightarrow e^x(1 + x) = 0$.

Поскольку $e^x > 0$ для любого $x$, то равенство возможно только если $1 + x = 0$, откуда $x = -1$.

4. Исследуем знак производной на интервалах $(-\infty; -1)$ и $(-1; +\infty)$. Знак $y'$ совпадает со знаком выражения $(1+x)$.

- На интервале $(-\infty; -1)$, выражение $(1+x) < 0$, значит $y' < 0$ и функция убывает.

- На интервале $(-1; +\infty)$, выражение $(1+x) > 0$, значит $y' > 0$ и функция возрастает.

5. При переходе через точку $x = -1$ производная меняет знак с минуса на плюс, следовательно, это точка минимума.

Ответ: $x_{\min} = -1$.

3) $y = \frac{25}{7-x} - \frac{9}{3-x}$

1. Найдем область определения функции. Знаменатели дробей не должны быть равны нулю:

$7-x \neq 0 \Rightarrow x \neq 7$

$3-x \neq 0 \Rightarrow x \neq 3$

Область определения: $D(y) = (-\infty; 3) \cup (3; 7) \cup (7; +\infty)$.

2. Найдем производную функции. Представим функцию в виде $y = 25(7-x)^{-1} - 9(3-x)^{-1}$:

$y' = (25(7-x)^{-1})' - (9(3-x)^{-1})' = 25(-1)(7-x)^{-2}(-1) - 9(-1)(3-x)^{-2}(-1) = \frac{25}{(7-x)^2} - \frac{9}{(3-x)^2}$.

3. Найдем критические точки, приравняв производную к нулю:

$\frac{25}{(7-x)^2} - \frac{9}{(3-x)^2} = 0 \Rightarrow \frac{25}{(7-x)^2} = \frac{9}{(3-x)^2}$.

Извлечем квадратный корень из обеих частей уравнения:

$\frac{5}{|7-x|} = \frac{3}{|3-x|}$.

Рассмотрим два случая:

а) $\frac{5}{7-x} = \frac{3}{3-x} \Rightarrow 5(3-x) = 3(7-x) \Rightarrow 15 - 5x = 21 - 3x \Rightarrow -2x = 6 \Rightarrow x = -3$.

б) $\frac{5}{7-x} = -\frac{3}{3-x} \Rightarrow 5(3-x) = -3(7-x) \Rightarrow 15 - 5x = -21 + 3x \Rightarrow -8x = -36 \Rightarrow x = \frac{36}{8} = 4.5$.

Обе точки, $x = -3$ и $x = 4.5$, принадлежат области определения функции.

4. Исследуем знак производной. Интервалы для исследования: $(-\infty; -3)$, $(-3; 3)$, $(3; 4.5)$, $(4.5; 7)$, $(7; +\infty)$. Знак производной определяется знаком ее числителя, так как знаменатель $(7-x)^2(3-x)^2$ всегда положителен в области определения.

$y' = \frac{25(3-x)^2 - 9(7-x)^2}{(7-x)^2(3-x)^2}$.

Числитель $N(x) = 25(3-x)^2 - 9(7-x)^2 = (5(3-x) - 3(7-x))(5(3-x) + 3(7-x)) = (-2x-6)(36-8x) = 16(x+3)(x-4.5)$.

Это парабола с ветвями вверх, пересекающая ось Ox в точках $x=-3$ и $x=4.5$.

- На интервале $(-\infty; -3)$: $N(x) > 0$, $y' > 0$, функция возрастает.

- На интервале $(-3; 3)$: $N(x) < 0$, $y' < 0$, функция убывает.

- На интервале $(3; 4.5)$: $N(x) < 0$, $y' < 0$, функция убывает.

- На интервале $(4.5; 7)$: $N(x) > 0$, $y' > 0$, функция возрастает.

- На интервале $(7; +\infty)$: $N(x) > 0$, $y' > 0$, функция возрастает.

5. Определим точки экстремума:

- В точке $x = -3$ производная меняет знак с `+` на `-`, следовательно, это точка максимума.

- В точке $x = 4.5$ производная меняет знак с `-` на `+`, следовательно, это точка минимума.

Ответ: $x_{\max} = -3$, $x_{\min} = 4.5$.

Помогло решение? Оставьте отзыв в комментариях ниже.

Присоединяйтесь к Телеграм-группе @top_gdz

Присоединиться

Мы подготовили для вас ответ c подробным объяснением домашего задания по алгебре за 10-11 класс, для упражнения номер 968 расположенного на странице 288 к учебнику 2014 года издания для учащихся школ и гимназий.

Теперь на нашем сайте ГДЗ.ТОП вы всегда легко и бесплатно найдёте условие с правильным ответом на вопрос «Как решить ДЗ» и «Как сделать» задание по алгебре к упражнению №968 (с. 288), авторов: Алимов (Шавкат Арифджанович), Колягин (Юрий Михайлович), Ткачева (Мария Владимировна), Федорова (Надежда Евгеньевна), Шабунин (Михаил Иванович), ФГОС (старый) базовый и углублённый уровень обучения учебного пособия издательства Просвещение.