Номер 971, страница 289 - гдз по алгебре 10-11 класс учебник Алимов, Колягин

Алгебра, 10-11 класс Учебник, авторы: Алимов Шавкат Арифджанович, Колягин Юрий Михайлович, Ткачева Мария Владимировна, Федорова Надежда Евгеньевна, Шабунин Михаил Иванович, издательство Просвещение, Москва, 2014

Авторы: Алимов Ш. А., Колягин Ю. М., Ткачева М. В., Федорова Н. Е., Шабунин М. И.

Тип: Учебник

Издательство: Просвещение

Год издания: 2014 - 2026

Уровень обучения: базовый и углублённый

Цвет обложки: синий, фиолетовый

ISBN: 978-5-09-112136-0

Допущено Министерством просвещения Российской Федерации

Математика: алгебра и начала математического анализа, геометрия

Глава 9. Применение производной к исследованию функций. Упражнения к главе 9 - номер 971, страница 289.

№971 (с. 289)
Условие. №971 (с. 289)
скриншот условия
Алгебра, 10-11 класс Учебник, авторы: Алимов Шавкат Арифджанович, Колягин Юрий Михайлович, Ткачева Мария Владимировна, Федорова Надежда Евгеньевна, Шабунин Михаил Иванович, издательство Просвещение, Москва, 2014, страница 289, номер 971, Условие

971 Найти наибольшее и наименьшее значения функции:

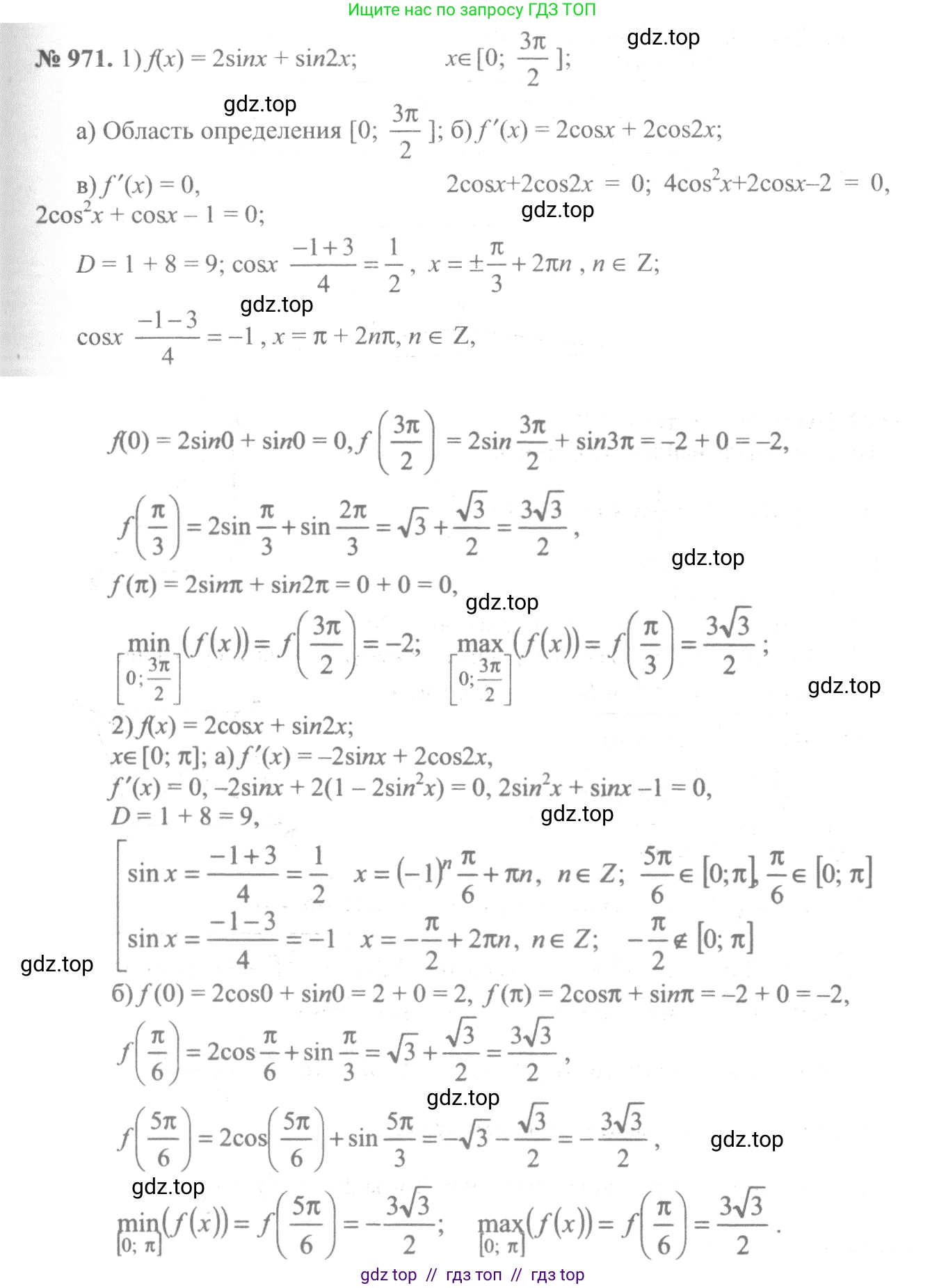
1) $f(x) = 2 \sin x + \sin 2x$ на отрезке $[0; \frac{3}{2}\pi]$;

2) $f(x) = 2 \cos x + \sin 2x$ на отрезке $[0; \pi]$.

Решение 1. №971 (с. 289)
Алгебра, 10-11 класс Учебник, авторы: Алимов Шавкат Арифджанович, Колягин Юрий Михайлович, Ткачева Мария Владимировна, Федорова Надежда Евгеньевна, Шабунин Михаил Иванович, издательство Просвещение, Москва, 2014, страница 289, номер 971, Решение 1
Алгебра, 10-11 класс Учебник, авторы: Алимов Шавкат Арифджанович, Колягин Юрий Михайлович, Ткачева Мария Владимировна, Федорова Надежда Евгеньевна, Шабунин Михаил Иванович, издательство Просвещение, Москва, 2014, страница 289, номер 971, Решение 1 (продолжение 2)
Решение 2. №971 (с. 289)
Алгебра, 10-11 класс Учебник, авторы: Алимов Шавкат Арифджанович, Колягин Юрий Михайлович, Ткачева Мария Владимировна, Федорова Надежда Евгеньевна, Шабунин Михаил Иванович, издательство Просвещение, Москва, 2014, страница 289, номер 971, Решение 2
Алгебра, 10-11 класс Учебник, авторы: Алимов Шавкат Арифджанович, Колягин Юрий Михайлович, Ткачева Мария Владимировна, Федорова Надежда Евгеньевна, Шабунин Михаил Иванович, издательство Просвещение, Москва, 2014, страница 289, номер 971, Решение 2 (продолжение 2)
Решение 3. №971 (с. 289)
Алгебра, 10-11 класс Учебник, авторы: Алимов Шавкат Арифджанович, Колягин Юрий Михайлович, Ткачева Мария Владимировна, Федорова Надежда Евгеньевна, Шабунин Михаил Иванович, издательство Просвещение, Москва, 2014, страница 289, номер 971, Решение 3
Решение 5. №971 (с. 289)
Алгебра, 10-11 класс Учебник, авторы: Алимов Шавкат Арифджанович, Колягин Юрий Михайлович, Ткачева Мария Владимировна, Федорова Надежда Евгеньевна, Шабунин Михаил Иванович, издательство Просвещение, Москва, 2014, страница 289, номер 971, Решение 5
Решение 7. №971 (с. 289)
Алгебра, 10-11 класс Учебник, авторы: Алимов Шавкат Арифджанович, Колягин Юрий Михайлович, Ткачева Мария Владимировна, Федорова Надежда Евгеньевна, Шабунин Михаил Иванович, издательство Просвещение, Москва, 2014, страница 289, номер 971, Решение 7 Алгебра, 10-11 класс Учебник, авторы: Алимов Шавкат Арифджанович, Колягин Юрий Михайлович, Ткачева Мария Владимировна, Федорова Надежда Евгеньевна, Шабунин Михаил Иванович, издательство Просвещение, Москва, 2014, страница 289, номер 971, Решение 7 (продолжение 2)
Решение 8. №971 (с. 289)

1) $f(x) = 2 \sin x + \sin 2x$ на отрезке $[0; \frac{3}{2}\pi]$

Для нахождения наибольшего и наименьшего значений функции на заданном отрезке необходимо выполнить следующие шаги: найти производную функции, определить критические точки (в которых производная равна нулю или не существует), выбрать те из них, которые принадлежат отрезку, и сравнить значения функции в этих точках и на концах отрезка.

1. Найдем производную функции $f(x)$:

$f'(x) = (2 \sin x + \sin 2x)' = 2 \cos x + (\cos 2x) \cdot 2 = 2 \cos x + 2 \cos 2x$.

2. Приравняем производную к нулю для нахождения стационарных точек:

$2 \cos x + 2 \cos 2x = 0$

$\cos x + \cos 2x = 0$

Воспользуемся формулой косинуса двойного угла: $\cos 2x = 2 \cos^2 x - 1$.

$\cos x + (2 \cos^2 x - 1) = 0$

$2 \cos^2 x + \cos x - 1 = 0$

Это квадратное уравнение относительно $\cos x$. Сделаем замену $t = \cos x$, где $|t| \le 1$:

$2t^2 + t - 1 = 0$

Решим уравнение с помощью дискриминанта: $D = 1^2 - 4 \cdot 2 \cdot (-1) = 1 + 8 = 9$.

$t_1 = \frac{-1 - \sqrt{9}}{2 \cdot 2} = \frac{-1 - 3}{4} = -1$

$t_2 = \frac{-1 + \sqrt{9}}{2 \cdot 2} = \frac{-1 + 3}{4} = \frac{1}{2}$

Выполним обратную замену:

а) $\cos x = -1 \implies x = \pi + 2\pi k$, где $k \in \mathbb{Z}$.

б) $\cos x = \frac{1}{2} \implies x = \pm \frac{\pi}{3} + 2\pi k$, где $k \in \mathbb{Z}$.

3. Выберем критические точки, принадлежащие отрезку $[0; \frac{3\pi}{2}]$:

Из решения $\cos x = -1$ подходит точка $x = \pi$ (при $k=0$).

Из решения $\cos x = \frac{1}{2}$ подходит точка $x = \frac{\pi}{3}$ (при $k=0$).

Таким образом, на заданном отрезке имеются две критические точки: $x_1 = \frac{\pi}{3}$ и $x_2 = \pi$.

4. Вычислим значения функции в найденных критических точках и на концах отрезка: $x=0$, $x=\frac{\pi}{3}$, $x=\pi$ и $x=\frac{3\pi}{2}$.

$f(0) = 2 \sin(0) + \sin(2 \cdot 0) = 0 + 0 = 0$.

$f(\frac{\pi}{3}) = 2 \sin(\frac{\pi}{3}) + \sin(\frac{2\pi}{3}) = 2 \cdot \frac{\sqrt{3}}{2} + \frac{\sqrt{3}}{2} = \sqrt{3} + \frac{\sqrt{3}}{2} = \frac{3\sqrt{3}}{2}$.

$f(\pi) = 2 \sin(\pi) + \sin(2\pi) = 2 \cdot 0 + 0 = 0$.

$f(\frac{3\pi}{2}) = 2 \sin(\frac{3\pi}{2}) + \sin(2 \cdot \frac{3\pi}{2}) = 2 \cdot (-1) + \sin(3\pi) = -2 + 0 = -2$.

5. Сравним полученные значения: $0$, $\frac{3\sqrt{3}}{2}$, $0$, $-2$.

Наибольшее значение функции на отрезке – это наибольшее из этих чисел, то есть $\frac{3\sqrt{3}}{2}$.

Наименьшее значение функции на отрезке – это наименьшее из этих чисел, то есть $-2$.

Ответ: наибольшее значение функции равно $\frac{3\sqrt{3}}{2}$, наименьшее значение равно $-2$.

2) $f(x) = 2 \cos x + \sin 2x$ на отрезке $[0; \pi]$

Применим тот же алгоритм, что и в первом пункте.

1. Найдем производную функции $f(x)$:

$f'(x) = (2 \cos x + \sin 2x)' = -2 \sin x + (\cos 2x) \cdot 2 = -2 \sin x + 2 \cos 2x$.

2. Приравняем производную к нулю:

$-2 \sin x + 2 \cos 2x = 0$

$-\sin x + \cos 2x = 0$

Используем формулу косинуса двойного угла: $\cos 2x = 1 - 2 \sin^2 x$.

$-\sin x + 1 - 2 \sin^2 x = 0$

$2 \sin^2 x + \sin x - 1 = 0$

Сделаем замену $t = \sin x$, где $|t| \le 1$:

$2t^2 + t - 1 = 0$

Корни этого уравнения, как мы нашли ранее: $t_1 = -1$ и $t_2 = \frac{1}{2}$.

Выполним обратную замену:

а) $\sin x = -1 \implies x = -\frac{\pi}{2} + 2\pi k$, где $k \in \mathbb{Z}$.

б) $\sin x = \frac{1}{2} \implies x = \frac{\pi}{6} + 2\pi k$ или $x = \frac{5\pi}{6} + 2\pi k$, где $k \in \mathbb{Z}$.

3. Выберем критические точки, принадлежащие отрезку $[0; \pi]$:

Решение $\sin x = -1$ не имеет корней на отрезке $[0; \pi]$, так как на этом отрезке $\sin x \ge 0$.

Из решения $\sin x = \frac{1}{2}$ подходят точки $x = \frac{\pi}{6}$ и $x = \frac{5\pi}{6}$ (при $k=0$).

Критические точки на отрезке: $x_1 = \frac{\pi}{6}$ и $x_2 = \frac{5\pi}{6}$.

4. Вычислим значения функции в критических точках и на концах отрезка: $x=0$, $x=\frac{\pi}{6}$, $x=\frac{5\pi}{6}$ и $x=\pi$.

$f(0) = 2 \cos(0) + \sin(0) = 2 \cdot 1 + 0 = 2$.

$f(\frac{\pi}{6}) = 2 \cos(\frac{\pi}{6}) + \sin(2 \cdot \frac{\pi}{6}) = 2 \cdot \frac{\sqrt{3}}{2} + \sin(\frac{\pi}{3}) = \sqrt{3} + \frac{\sqrt{3}}{2} = \frac{3\sqrt{3}}{2}$.

$f(\frac{5\pi}{6}) = 2 \cos(\frac{5\pi}{6}) + \sin(2 \cdot \frac{5\pi}{6}) = 2 \cdot (-\frac{\sqrt{3}}{2}) + \sin(\frac{5\pi}{3}) = -\sqrt{3} - \frac{\sqrt{3}}{2} = -\frac{3\sqrt{3}}{2}$.

$f(\pi) = 2 \cos(\pi) + \sin(2\pi) = 2 \cdot (-1) + 0 = -2$.

5. Сравним полученные значения: $2$, $\frac{3\sqrt{3}}{2}$, $-\frac{3\sqrt{3}}{2}$, $-2$.

Учитывая, что $\frac{3\sqrt{3}}{2} \approx \frac{3 \cdot 1.732}{2} \approx 2.598$, получаем, что $\frac{3\sqrt{3}}{2} > 2$ и $-\frac{3\sqrt{3}}{2} < -2$.

Наибольшее значение: $\max(2, \frac{3\sqrt{3}}{2}, -\frac{3\sqrt{3}}{2}, -2) = \frac{3\sqrt{3}}{2}$.

Наименьшее значение: $\min(2, \frac{3\sqrt{3}}{2}, -\frac{3\sqrt{3}}{2}, -2) = -\frac{3\sqrt{3}}{2}$.

Ответ: наибольшее значение функции равно $\frac{3\sqrt{3}}{2}$, наименьшее значение равно $-\frac{3\sqrt{3}}{2}$.

Помогло решение? Оставьте отзыв в комментариях ниже.

Присоединяйтесь к Телеграм-группе @top_gdz

Присоединиться

Мы подготовили для вас ответ c подробным объяснением домашего задания по алгебре за 10-11 класс, для упражнения номер 971 расположенного на странице 289 к учебнику 2014 года издания для учащихся школ и гимназий.

Теперь на нашем сайте ГДЗ.ТОП вы всегда легко и бесплатно найдёте условие с правильным ответом на вопрос «Как решить ДЗ» и «Как сделать» задание по алгебре к упражнению №971 (с. 289), авторов: Алимов (Шавкат Арифджанович), Колягин (Юрий Михайлович), Ткачева (Мария Владимировна), Федорова (Надежда Евгеньевна), Шабунин (Михаил Иванович), ФГОС (старый) базовый и углублённый уровень обучения учебного пособия издательства Просвещение.