Номер 990, страница 296 - гдз по алгебре 10-11 класс учебник Алимов, Колягин

Алгебра, 10-11 класс Учебник, авторы: Алимов Шавкат Арифджанович, Колягин Юрий Михайлович, Ткачева Мария Владимировна, Федорова Надежда Евгеньевна, Шабунин Михаил Иванович, издательство Просвещение, Москва, 2014

Авторы: Алимов Ш. А., Колягин Ю. М., Ткачева М. В., Федорова Н. Е., Шабунин М. И.

Тип: Учебник

Издательство: Просвещение

Год издания: 2014 - 2025

Уровень обучения: базовый и углублённый

Цвет обложки: синий, фиолетовый

ISBN: 978-5-09-112136-0

Допущено Министерством просвещения Российской Федерации

Математика: алгебра и начала математического анализа, геометрия

Популярные ГДЗ в 10 классе

Глава 10. Интеграл. Параграф 55. Правила нахождения первообразных - номер 990, страница 296.

№990 (с. 296)
Условие. №990 (с. 296)
скриншот условия
Алгебра, 10-11 класс Учебник, авторы: Алимов Шавкат Арифджанович, Колягин Юрий Михайлович, Ткачева Мария Владимировна, Федорова Надежда Евгеньевна, Шабунин Михаил Иванович, издательство Просвещение, Москва, 2014, страница 296, номер 990, Условие

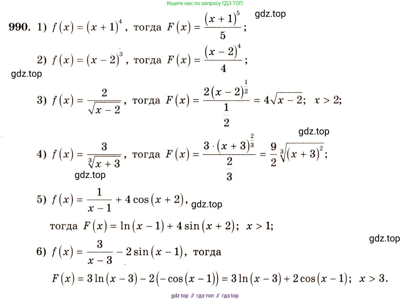
990 1) $(x+1)^4$;

2) $(x-2)^3$;

3) $\frac{2}{\sqrt{x-2}}$;

4) $\frac{3}{\sqrt[3]{x+3}}$;

5) $\frac{1}{x-1} + 4 \cos(x+2)$;

6) $\frac{3}{x-3} - 2 \sin(x-1)$.

Решение 1. №990 (с. 296)
Алгебра, 10-11 класс Учебник, авторы: Алимов Шавкат Арифджанович, Колягин Юрий Михайлович, Ткачева Мария Владимировна, Федорова Надежда Евгеньевна, Шабунин Михаил Иванович, издательство Просвещение, Москва, 2014, страница 296, номер 990, Решение 1
Алгебра, 10-11 класс Учебник, авторы: Алимов Шавкат Арифджанович, Колягин Юрий Михайлович, Ткачева Мария Владимировна, Федорова Надежда Евгеньевна, Шабунин Михаил Иванович, издательство Просвещение, Москва, 2014, страница 296, номер 990, Решение 1 (продолжение 2)
Алгебра, 10-11 класс Учебник, авторы: Алимов Шавкат Арифджанович, Колягин Юрий Михайлович, Ткачева Мария Владимировна, Федорова Надежда Евгеньевна, Шабунин Михаил Иванович, издательство Просвещение, Москва, 2014, страница 296, номер 990, Решение 1 (продолжение 3)
Алгебра, 10-11 класс Учебник, авторы: Алимов Шавкат Арифджанович, Колягин Юрий Михайлович, Ткачева Мария Владимировна, Федорова Надежда Евгеньевна, Шабунин Михаил Иванович, издательство Просвещение, Москва, 2014, страница 296, номер 990, Решение 1 (продолжение 4)
Алгебра, 10-11 класс Учебник, авторы: Алимов Шавкат Арифджанович, Колягин Юрий Михайлович, Ткачева Мария Владимировна, Федорова Надежда Евгеньевна, Шабунин Михаил Иванович, издательство Просвещение, Москва, 2014, страница 296, номер 990, Решение 1 (продолжение 5) Алгебра, 10-11 класс Учебник, авторы: Алимов Шавкат Арифджанович, Колягин Юрий Михайлович, Ткачева Мария Владимировна, Федорова Надежда Евгеньевна, Шабунин Михаил Иванович, издательство Просвещение, Москва, 2014, страница 296, номер 990, Решение 1 (продолжение 6)
Решение 2. №990 (с. 296)
Алгебра, 10-11 класс Учебник, авторы: Алимов Шавкат Арифджанович, Колягин Юрий Михайлович, Ткачева Мария Владимировна, Федорова Надежда Евгеньевна, Шабунин Михаил Иванович, издательство Просвещение, Москва, 2014, страница 296, номер 990, Решение 2
Алгебра, 10-11 класс Учебник, авторы: Алимов Шавкат Арифджанович, Колягин Юрий Михайлович, Ткачева Мария Владимировна, Федорова Надежда Евгеньевна, Шабунин Михаил Иванович, издательство Просвещение, Москва, 2014, страница 296, номер 990, Решение 2 (продолжение 2)
Решение 4. №990 (с. 296)
Алгебра, 10-11 класс Учебник, авторы: Алимов Шавкат Арифджанович, Колягин Юрий Михайлович, Ткачева Мария Владимировна, Федорова Надежда Евгеньевна, Шабунин Михаил Иванович, издательство Просвещение, Москва, 2014, страница 296, номер 990, Решение 4
Решение 5. №990 (с. 296)
Алгебра, 10-11 класс Учебник, авторы: Алимов Шавкат Арифджанович, Колягин Юрий Михайлович, Ткачева Мария Владимировна, Федорова Надежда Евгеньевна, Шабунин Михаил Иванович, издательство Просвещение, Москва, 2014, страница 296, номер 990, Решение 5
Решение 7. №990 (с. 296)
Алгебра, 10-11 класс Учебник, авторы: Алимов Шавкат Арифджанович, Колягин Юрий Михайлович, Ткачева Мария Владимировна, Федорова Надежда Евгеньевна, Шабунин Михаил Иванович, издательство Просвещение, Москва, 2014, страница 296, номер 990, Решение 7
Решение 8. №990 (с. 296)

1) Для функции $y = (x+1)^4$ необходимо найти ее первообразную. Первообразная находится путем вычисления неопределенного интеграла.
$F(x) = \int (x+1)^4 dx$
Это интеграл от сложной функции вида $u^k$, где $u = x+1$. Так как производная внутренней функции $(x+1)' = 1$, можно применить стандартную формулу для степенной функции $\int t^n dt = \frac{t^{n+1}}{n+1} + C$:
$F(x) = \frac{(x+1)^{4+1}}{4+1} + C = \frac{(x+1)^5}{5} + C$, где $C$ — произвольная постоянная.
Ответ: $F(x) = \frac{(x+1)^5}{5} + C$

2) Для функции $y = (x-2)^3$ найдем первообразную.
$F(x) = \int (x-2)^3 dx$
Аналогично первому пункту, это интеграл от степенной функции. Производная внутренней функции $(x-2)' = 1$.
$F(x) = \frac{(x-2)^{3+1}}{3+1} + C = \frac{(x-2)^4}{4} + C$, где $C$ — произвольная постоянная.
Ответ: $F(x) = \frac{(x-2)^4}{4} + C$

3) Для функции $y = \frac{2}{\sqrt{x-2}}$ найдем первообразную.
Перепишем функцию в виде $y = 2(x-2)^{-1/2}$.
$F(x) = \int 2(x-2)^{-1/2} dx = 2\int (x-2)^{-1/2} dx$
Используем ту же формулу для степенной функции, где $n = -1/2$. Производная внутренней функции $(x-2)' = 1$.
$F(x) = 2 \cdot \frac{(x-2)^{-1/2+1}}{-1/2+1} + C = 2 \cdot \frac{(x-2)^{1/2}}{1/2} + C = 4(x-2)^{1/2} + C = 4\sqrt{x-2} + C$, где $C$ — произвольная постоянная.
Ответ: $F(x) = 4\sqrt{x-2} + C$

4) Для функции $y = \frac{3}{\sqrt[3]{x+3}}$ найдем первообразную.
Перепишем функцию в виде $y = 3(x+3)^{-1/3}$.
$F(x) = \int 3(x+3)^{-1/3} dx = 3\int (x+3)^{-1/3} dx$
Используем формулу для степенной функции, где $n = -1/3$. Производная внутренней функции $(x+3)' = 1$.
$F(x) = 3 \cdot \frac{(x+3)^{-1/3+1}}{-1/3+1} + C = 3 \cdot \frac{(x+3)^{2/3}}{2/3} + C = \frac{9}{2}(x+3)^{2/3} + C = \frac{9}{2}\sqrt[3]{(x+3)^2} + C$, где $C$ — произвольная постоянная.
Ответ: $F(x) = \frac{9}{2}\sqrt[3]{(x+3)^2} + C$

5) Для функции $y = \frac{1}{x-1} + 4\cos(x+2)$ найдем первообразную.
Интеграл суммы равен сумме интегралов:
$F(x) = \int \left(\frac{1}{x-1} + 4\cos(x+2)\right) dx = \int \frac{1}{x-1} dx + \int 4\cos(x+2) dx$
Для первого слагаемого используем табличный интеграл $\int \frac{dt}{t} = \ln|t| + C$. С учетом того, что $(x-1)' = 1$, получаем $\int \frac{1}{x-1} dx = \ln|x-1| + C_1$.
Для второго слагаемого используем табличный интеграл $\int \cos(t) dt = \sin(t) + C$. С учетом того, что $(x+2)' = 1$, получаем $\int 4\cos(x+2) dx = 4\sin(x+2) + C_2$.
Объединяя результаты, получаем:
$F(x) = \ln|x-1| + 4\sin(x+2) + C$, где $C = C_1 + C_2$ — произвольная постоянная.
Ответ: $F(x) = \ln|x-1| + 4\sin(x+2) + C$

6) Для функции $y = \frac{3}{x-3} - 2\sin(x-1)$ найдем первообразную.
Интеграл разности равен разности интегралов:
$F(x) = \int \left(\frac{3}{x-3} - 2\sin(x-1)\right) dx = \int \frac{3}{x-3} dx - \int 2\sin(x-1) dx$
Первый интеграл: $3\int \frac{1}{x-3} dx = 3\ln|x-3| + C_1$.
Второй интеграл: $2\int \sin(x-1) dx$. Используя табличный интеграл $\int \sin(t) dt = -\cos(t) + C$ и то, что $(x-1)'=1$, получаем $2(-\cos(x-1)) + C_2 = -2\cos(x-1) + C_2$.
Объединяя результаты, получаем:
$F(x) = 3\ln|x-3| - (-2\cos(x-1)) + C = 3\ln|x-3| + 2\cos(x-1) + C$, где $C = C_1 - C_2$ — произвольная постоянная.
Ответ: $F(x) = 3\ln|x-3| + 2\cos(x-1) + C$

Помогло решение? Оставьте отзыв в комментариях ниже.

Присоединяйтесь к Телеграм-группе @top_gdz

Присоединиться

Мы подготовили для вас ответ c подробным объяснением домашего задания по алгебре за 10-11 класс, для упражнения номер 990 расположенного на странице 296 к учебнику 2014 года издания для учащихся школ и гимназий.

Теперь на нашем сайте ГДЗ.ТОП вы всегда легко и бесплатно найдёте условие с правильным ответом на вопрос «Как решить ДЗ» и «Как сделать» задание по алгебре к упражнению №990 (с. 296), авторов: Алимов (Шавкат Арифджанович), Колягин (Юрий Михайлович), Ткачева (Мария Владимировна), Федорова (Надежда Евгеньевна), Шабунин (Михаил Иванович), ФГОС (старый) базовый и углублённый уровень обучения учебного пособия издательства Просвещение.