Номер 992, страница 296 - гдз по алгебре 10-11 класс учебник Алимов, Колягин

Алгебра, 10-11 класс Учебник, авторы: Алимов Шавкат Арифджанович, Колягин Юрий Михайлович, Ткачева Мария Владимировна, Федорова Надежда Евгеньевна, Шабунин Михаил Иванович, издательство Просвещение, Москва, 2014

Авторы: Алимов Ш. А., Колягин Ю. М., Ткачева М. В., Федорова Н. Е., Шабунин М. И.

Тип: Учебник

Издательство: Просвещение

Год издания: 2014 - 2025

Уровень обучения: базовый и углублённый

Цвет обложки: синий, фиолетовый

ISBN: 978-5-09-112136-0

Допущено Министерством просвещения Российской Федерации

Математика: алгебра и начала математического анализа, геометрия

Популярные ГДЗ в 10 классе

Глава 10. Интеграл. Параграф 55. Правила нахождения первообразных - номер 992, страница 296.

№992 (с. 296)
Условие. №992 (с. 296)
скриншот условия
Алгебра, 10-11 класс Учебник, авторы: Алимов Шавкат Арифджанович, Колягин Юрий Михайлович, Ткачева Мария Владимировна, Федорова Надежда Евгеньевна, Шабунин Михаил Иванович, издательство Просвещение, Москва, 2014, страница 296, номер 992, Условие

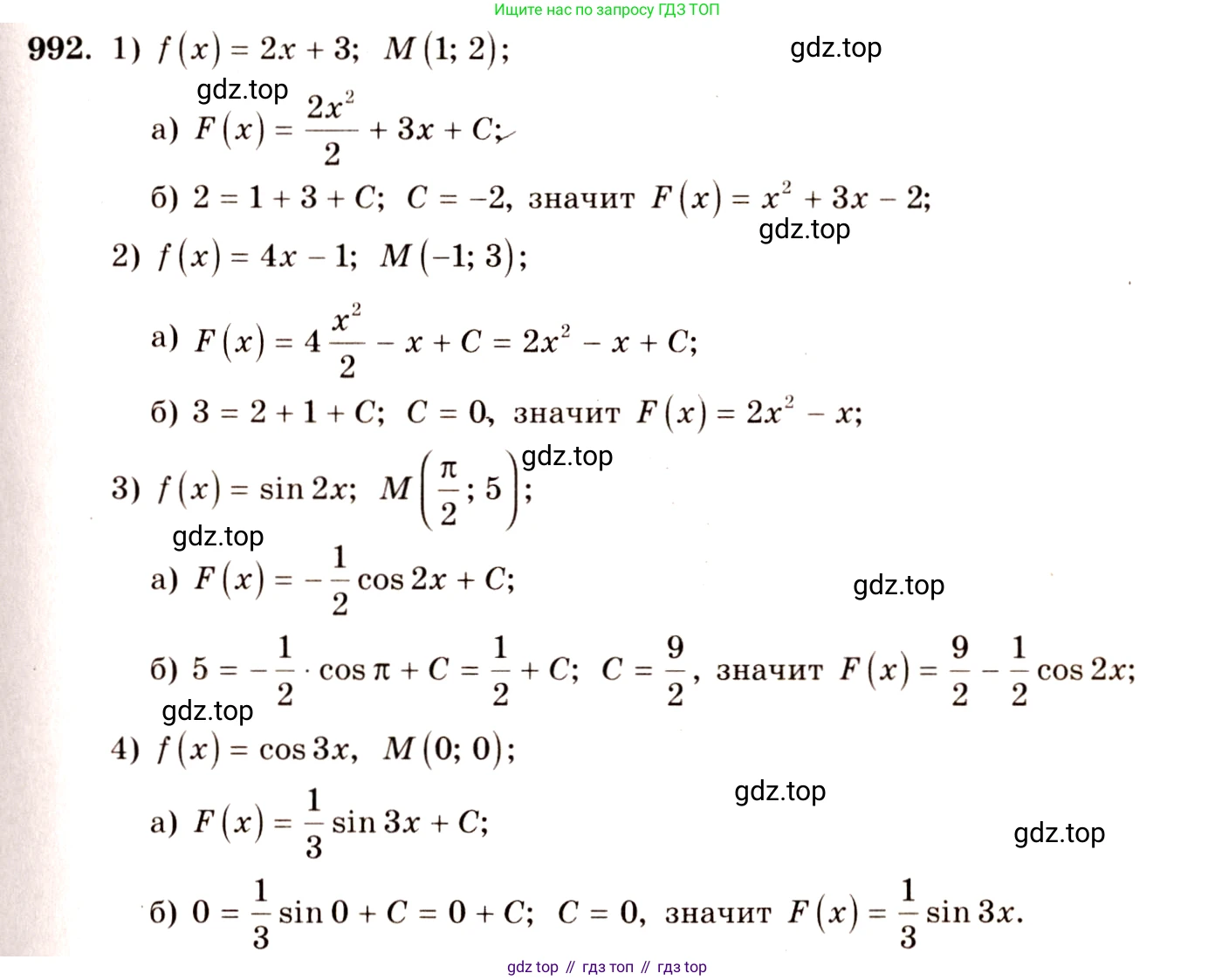
992 Для функции $f(x)$ найти первообразную, график которой проходит через точку $M$:

1) $f(x) = 2x + 3$, $M(1; 2);$

2) $f(x) = 4x - 1$, $M(-1; 3);$

3) $f(x) = \sin 2x$, $M\left(\frac{\pi}{2}; 5\right);$

4) $f(x) = \cos 3x$, $M(0; 0).$

Решение 1. №992 (с. 296)
Алгебра, 10-11 класс Учебник, авторы: Алимов Шавкат Арифджанович, Колягин Юрий Михайлович, Ткачева Мария Владимировна, Федорова Надежда Евгеньевна, Шабунин Михаил Иванович, издательство Просвещение, Москва, 2014, страница 296, номер 992, Решение 1
Алгебра, 10-11 класс Учебник, авторы: Алимов Шавкат Арифджанович, Колягин Юрий Михайлович, Ткачева Мария Владимировна, Федорова Надежда Евгеньевна, Шабунин Михаил Иванович, издательство Просвещение, Москва, 2014, страница 296, номер 992, Решение 1 (продолжение 2)
Алгебра, 10-11 класс Учебник, авторы: Алимов Шавкат Арифджанович, Колягин Юрий Михайлович, Ткачева Мария Владимировна, Федорова Надежда Евгеньевна, Шабунин Михаил Иванович, издательство Просвещение, Москва, 2014, страница 296, номер 992, Решение 1 (продолжение 3)
Алгебра, 10-11 класс Учебник, авторы: Алимов Шавкат Арифджанович, Колягин Юрий Михайлович, Ткачева Мария Владимировна, Федорова Надежда Евгеньевна, Шабунин Михаил Иванович, издательство Просвещение, Москва, 2014, страница 296, номер 992, Решение 1 (продолжение 4)
Решение 2. №992 (с. 296)
Алгебра, 10-11 класс Учебник, авторы: Алимов Шавкат Арифджанович, Колягин Юрий Михайлович, Ткачева Мария Владимировна, Федорова Надежда Евгеньевна, Шабунин Михаил Иванович, издательство Просвещение, Москва, 2014, страница 296, номер 992, Решение 2
Алгебра, 10-11 класс Учебник, авторы: Алимов Шавкат Арифджанович, Колягин Юрий Михайлович, Ткачева Мария Владимировна, Федорова Надежда Евгеньевна, Шабунин Михаил Иванович, издательство Просвещение, Москва, 2014, страница 296, номер 992, Решение 2 (продолжение 2)
Решение 4. №992 (с. 296)
Алгебра, 10-11 класс Учебник, авторы: Алимов Шавкат Арифджанович, Колягин Юрий Михайлович, Ткачева Мария Владимировна, Федорова Надежда Евгеньевна, Шабунин Михаил Иванович, издательство Просвещение, Москва, 2014, страница 296, номер 992, Решение 4
Решение 5. №992 (с. 296)
Алгебра, 10-11 класс Учебник, авторы: Алимов Шавкат Арифджанович, Колягин Юрий Михайлович, Ткачева Мария Владимировна, Федорова Надежда Евгеньевна, Шабунин Михаил Иванович, издательство Просвещение, Москва, 2014, страница 296, номер 992, Решение 5
Решение 7. №992 (с. 296)
Алгебра, 10-11 класс Учебник, авторы: Алимов Шавкат Арифджанович, Колягин Юрий Михайлович, Ткачева Мария Владимировна, Федорова Надежда Евгеньевна, Шабунин Михаил Иванович, издательство Просвещение, Москва, 2014, страница 296, номер 992, Решение 7 Алгебра, 10-11 класс Учебник, авторы: Алимов Шавкат Арифджанович, Колягин Юрий Михайлович, Ткачева Мария Владимировна, Федорова Надежда Евгеньевна, Шабунин Михаил Иванович, издательство Просвещение, Москва, 2014, страница 296, номер 992, Решение 7 (продолжение 2)
Решение 8. №992 (с. 296)

1) Для функции $f(x) = 2x + 3$ и точки $M(1; 2)$.

Сначала найдем общий вид первообразной $F(x)$ для функции $f(x)$. Первообразная находится путем интегрирования функции $f(x)$:

$F(x) = \int (2x + 3) dx = \int 2x dx + \int 3 dx = 2 \cdot \frac{x^2}{2} + 3x + C = x^2 + 3x + C$, где $C$ — произвольная постоянная.

По условию, график первообразной проходит через точку $M(1; 2)$, это означает, что $F(1) = 2$. Подставим значения $x=1$ и $F(x)=2$ в уравнение первообразной, чтобы найти $C$:

$F(1) = 1^2 + 3 \cdot 1 + C = 2$

$1 + 3 + C = 2$

$4 + C = 2$

$C = 2 - 4 = -2$

Таким образом, искомая первообразная имеет вид $F(x) = x^2 + 3x - 2$.

Ответ: $F(x) = x^2 + 3x - 2$.

2) Для функции $f(x) = 4x - 1$ и точки $M(-1; 3)$.

Найдем общий вид первообразной $F(x)$ для функции $f(x)$:

$F(x) = \int (4x - 1) dx = \int 4x dx - \int 1 dx = 4 \cdot \frac{x^2}{2} - x + C = 2x^2 - x + C$, где $C$ — произвольная постоянная.

График первообразной проходит через точку $M(-1; 3)$, следовательно $F(-1) = 3$. Подставим значения $x=-1$ и $F(x)=3$:

$F(-1) = 2(-1)^2 - (-1) + C = 3$

$2 \cdot 1 + 1 + C = 3$

$3 + C = 3$

$C = 3 - 3 = 0$

Искомая первообразная: $F(x) = 2x^2 - x$.

Ответ: $F(x) = 2x^2 - x$.

3) Для функции $f(x) = \sin 2x$ и точки $M(\frac{\pi}{2}; 5)$.

Найдем общий вид первообразной $F(x)$ для функции $f(x)$:

$F(x) = \int \sin 2x dx = -\frac{1}{2}\cos 2x + C$, где $C$ — произвольная постоянная.

График первообразной проходит через точку $M(\frac{\pi}{2}; 5)$, значит $F(\frac{\pi}{2}) = 5$. Подставим значения:

$F(\frac{\pi}{2}) = -\frac{1}{2}\cos(2 \cdot \frac{\pi}{2}) + C = 5$

$-\frac{1}{2}\cos(\pi) + C = 5$

Поскольку $\cos(\pi) = -1$, получаем:

$-\frac{1}{2}(-1) + C = 5$

$\frac{1}{2} + C = 5$

$C = 5 - \frac{1}{2} = \frac{10}{2} - \frac{1}{2} = \frac{9}{2}$

Искомая первообразная: $F(x) = -\frac{1}{2}\cos 2x + \frac{9}{2}$.

Ответ: $F(x) = -\frac{1}{2}\cos 2x + \frac{9}{2}$.

4) Для функции $f(x) = \cos 3x$ и точки $M(0; 0)$.

Найдем общий вид первообразной $F(x)$ для функции $f(x)$:

$F(x) = \int \cos 3x dx = \frac{1}{3}\sin 3x + C$, где $C$ — произвольная постоянная.

График первообразной проходит через точку $M(0; 0)$, значит $F(0) = 0$. Подставим значения:

$F(0) = \frac{1}{3}\sin(3 \cdot 0) + C = 0$

$\frac{1}{3}\sin(0) + C = 0$

Поскольку $\sin(0) = 0$, получаем:

$\frac{1}{3} \cdot 0 + C = 0$

$C = 0$

Искомая первообразная: $F(x) = \frac{1}{3}\sin 3x$.

Ответ: $F(x) = \frac{1}{3}\sin 3x$.

Помогло решение? Оставьте отзыв в комментариях ниже.

Присоединяйтесь к Телеграм-группе @top_gdz

Присоединиться

Мы подготовили для вас ответ c подробным объяснением домашего задания по алгебре за 10-11 класс, для упражнения номер 992 расположенного на странице 296 к учебнику 2014 года издания для учащихся школ и гимназий.

Теперь на нашем сайте ГДЗ.ТОП вы всегда легко и бесплатно найдёте условие с правильным ответом на вопрос «Как решить ДЗ» и «Как сделать» задание по алгебре к упражнению №992 (с. 296), авторов: Алимов (Шавкат Арифджанович), Колягин (Юрий Михайлович), Ткачева (Мария Владимировна), Федорова (Надежда Евгеньевна), Шабунин (Михаил Иванович), ФГОС (старый) базовый и углублённый уровень обучения учебного пособия издательства Просвещение.