Номер 100, страница 292 - гдз по алгебре 10-11 класс учебник Колмогоров, Абрамов
 
                                                Авторы: Колмогоров А. Н., Абрамов А. М., Дудницын Ю. П.
Тип: Учебник
Издательство: Просвещение
Год издания: 2008 - 2025
Цвет обложки: зелёный, чёрный
ISBN: 978-5-09-019513-3
Рекомендовано Министерством образования и науки Российской Федерации
Алгебра и начала математического анализа
Популярные ГДЗ в 10 классе
Глава 5. Задачи на повторение. Параграф 3. Функции - номер 100, страница 292.
№100 (с. 292)
Условие. №100 (с. 292)
скриншот условия
 
                                                                                                                                        100. Найдите промежутки знакопостоянства функции:
а) $y = 3 \cos \left(x + \frac{\pi}{4}\right)$;
б) $y = 1 - \operatorname{tg} 3x$;
в) $y = 1 - \sqrt{2} \sin \frac{x}{2}$;
г) $y = 1 + 2 \cos 2x$.
Решение 1. №100 (с. 292)
 
                                                                                                                        Решение 3. №100 (с. 292)
 
                                                                                                                        Решение 5. №100 (с. 292)
а) $y = 3 \cos\left(x+\frac{\pi}{4}\right)$
Чтобы найти промежутки знакопостоянства функции, определим, при каких значениях $x$ функция положительна ($y>0$), отрицательна ($y<0$) или равна нулю ($y=0$).
1. Найдём нули функции, решив уравнение $y=0$:
$3 \cos\left(x+\frac{\pi}{4}\right) = 0$
$\cos\left(x+\frac{\pi}{4}\right) = 0$
Аргумент косинуса должен быть равен $\frac{\pi}{2} + \pi k$, где $k \in \mathbb{Z}$.
$x+\frac{\pi}{4} = \frac{\pi}{2} + \pi k$
$x = \frac{\pi}{2} - \frac{\pi}{4} + \pi k$
$x = \frac{\pi}{4} + \pi k, \quad k \in \mathbb{Z}$.
2. Найдём промежутки, где $y>0$:
$3 \cos\left(x+\frac{\pi}{4}\right) > 0$
$\cos\left(x+\frac{\pi}{4}\right) > 0$
Косинус положителен, когда его аргумент находится в интервале $\left(-\frac{\pi}{2} + 2\pi k, \frac{\pi}{2} + 2\pi k\right)$.
$-\frac{\pi}{2} + 2\pi k < x+\frac{\pi}{4} < \frac{\pi}{2} + 2\pi k$
$-\frac{\pi}{2} - \frac{\pi}{4} + 2\pi k < x < \frac{\pi}{2} - \frac{\pi}{4} + 2\pi k$
$-\frac{3\pi}{4} + 2\pi k < x < \frac{\pi}{4} + 2\pi k, \quad k \in \mathbb{Z}$.
3. Найдём промежутки, где $y<0$:
$\cos\left(x+\frac{\pi}{4}\right) < 0$
Косинус отрицателен, когда его аргумент находится в интервале $\left(\frac{\pi}{2} + 2\pi k, \frac{3\pi}{2} + 2\pi k\right)$.
$\frac{\pi}{2} + 2\pi k < x+\frac{\pi}{4} < \frac{3\pi}{2} + 2\pi k$
$\frac{\pi}{2} - \frac{\pi}{4} + 2\pi k < x < \frac{3\pi}{2} - \frac{\pi}{4} + 2\pi k$
$\frac{\pi}{4} + 2\pi k < x < \frac{5\pi}{4} + 2\pi k, \quad k \in \mathbb{Z}$.
Ответ: $y > 0$ при $x \in \left(-\frac{3\pi}{4} + 2\pi k, \frac{\pi}{4} + 2\pi k\right)$; $y < 0$ при $x \in \left(\frac{\pi}{4} + 2\pi k, \frac{5\pi}{4} + 2\pi k\right)$, где $k \in \mathbb{Z}$.
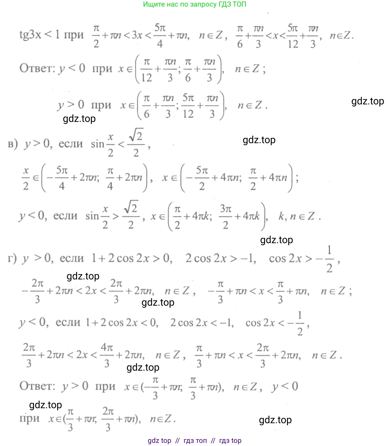
б) $y = 1 - \tg 3x$
1. Область определения функции: тангенс не определён, когда его аргумент равен $\frac{\pi}{2} + \pi k$.
$3x \neq \frac{\pi}{2} + \pi k$
$x \neq \frac{\pi}{6} + \frac{\pi k}{3}, \quad k \in \mathbb{Z}$.
2. Найдём нули функции, решив уравнение $y=0$:
$1 - \tg 3x = 0$
$\tg 3x = 1$
$3x = \frac{\pi}{4} + \pi k$
$x = \frac{\pi}{12} + \frac{\pi k}{3}, \quad k \in \mathbb{Z}$.
3. Найдём промежутки, где $y>0$:
$1 - \tg 3x > 0 \implies \tg 3x < 1$.
С учётом области определения тангенса, решаем неравенство на одном из периодов: $-\frac{\pi}{2} < 3x < \frac{\pi}{4}$ (для $k=0$).
В общем виде:
$-\frac{\pi}{2} + \pi k < 3x < \frac{\pi}{4} + \pi k$
$-\frac{\pi}{6} + \frac{\pi k}{3} < x < \frac{\pi}{12} + \frac{\pi k}{3}, \quad k \in \mathbb{Z}$.
4. Найдём промежутки, где $y<0$:
$1 - \tg 3x < 0 \implies \tg 3x > 1$.
С учётом области определения тангенса:
$\frac{\pi}{4} + \pi k < 3x < \frac{\pi}{2} + \pi k$
$\frac{\pi}{12} + \frac{\pi k}{3} < x < \frac{\pi}{6} + \frac{\pi k}{3}, \quad k \in \mathbb{Z}$.
Ответ: $y > 0$ при $x \in \left(-\frac{\pi}{6} + \frac{\pi k}{3}, \frac{\pi}{12} + \frac{\pi k}{3}\right)$; $y < 0$ при $x \in \left(\frac{\pi}{12} + \frac{\pi k}{3}, \frac{\pi}{6} + \frac{\pi k}{3}\right)$, где $k \in \mathbb{Z}$.
в) $y = 1 - \sqrt{2} \sin\frac{x}{2}$
1. Найдём нули функции, решив уравнение $y=0$:
$1 - \sqrt{2} \sin\frac{x}{2} = 0$
$\sin\frac{x}{2} = \frac{1}{\sqrt{2}} = \frac{\sqrt{2}}{2}$
$\frac{x}{2} = (-1)^k \frac{\pi}{4} + \pi k$
$x = (-1)^k \frac{\pi}{2} + 2\pi k, \quad k \in \mathbb{Z}$.
Это даёт две серии корней: $x = \frac{\pi}{2} + 4\pi n$ и $x = \frac{3\pi}{2} + 4\pi n$, где $n \in \mathbb{Z}$.
2. Найдём промежутки, где $y>0$:
$1 - \sqrt{2} \sin\frac{x}{2} > 0 \implies \sin\frac{x}{2} < \frac{\sqrt{2}}{2}$.
Синус меньше $\frac{\sqrt{2}}{2}$, когда его аргумент $\frac{x}{2}$ находится в интервале $\left(\frac{3\pi}{4} + 2\pi k, 2\pi + \frac{\pi}{4} + 2\pi k\right)$, то есть $\left(\frac{3\pi}{4} + 2\pi k, \frac{9\pi}{4} + 2\pi k\right)$.
$\frac{3\pi}{4} + 2\pi k < \frac{x}{2} < \frac{9\pi}{4} + 2\pi k$
$\frac{3\pi}{2} + 4\pi k < x < \frac{9\pi}{2} + 4\pi k, \quad k \in \mathbb{Z}$.
3. Найдём промежутки, где $y<0$:
$1 - \sqrt{2} \sin\frac{x}{2} < 0 \implies \sin\frac{x}{2} > \frac{\sqrt{2}}{2}$.
Синус больше $\frac{\sqrt{2}}{2}$, когда его аргумент $\frac{x}{2}$ находится в интервале $\left(\frac{\pi}{4} + 2\pi k, \frac{3\pi}{4} + 2\pi k\right)$.
$\frac{\pi}{4} + 2\pi k < \frac{x}{2} < \frac{3\pi}{4} + 2\pi k$
$\frac{\pi}{2} + 4\pi k < x < \frac{3\pi}{2} + 4\pi k, \quad k \in \mathbb{Z}$.
Ответ: $y > 0$ при $x \in \left(\frac{3\pi}{2} + 4\pi k, \frac{9\pi}{2} + 4\pi k\right)$; $y < 0$ при $x \in \left(\frac{\pi}{2} + 4\pi k, \frac{3\pi}{2} + 4\pi k\right)$, где $k \in \mathbb{Z}$.
г) $y = 1 + 2 \cos 2x$
1. Найдём нули функции, решив уравнение $y=0$:
$1 + 2 \cos 2x = 0$
$\cos 2x = -\frac{1}{2}$
$2x = \pm \arccos\left(-\frac{1}{2}\right) + 2\pi k$
$2x = \pm \frac{2\pi}{3} + 2\pi k$
$x = \pm \frac{\pi}{3} + \pi k, \quad k \in \mathbb{Z}$.
2. Найдём промежутки, где $y>0$:
$1 + 2 \cos 2x > 0 \implies \cos 2x > -\frac{1}{2}$.
Косинус больше $-\frac{1}{2}$, когда его аргумент $2x$ находится в интервале $\left(-\frac{2\pi}{3} + 2\pi k, \frac{2\pi}{3} + 2\pi k\right)$.
$-\frac{2\pi}{3} + 2\pi k < 2x < \frac{2\pi}{3} + 2\pi k$
$-\frac{\pi}{3} + \pi k < x < \frac{\pi}{3} + \pi k, \quad k \in \mathbb{Z}$.
3. Найдём промежутки, где $y<0$:
$1 + 2 \cos 2x < 0 \implies \cos 2x < -\frac{1}{2}$.
Косинус меньше $-\frac{1}{2}$, когда его аргумент $2x$ находится в интервале $\left(\frac{2\pi}{3} + 2\pi k, \frac{4\pi}{3} + 2\pi k\right)$.
$\frac{2\pi}{3} + 2\pi k < 2x < \frac{4\pi}{3} + 2\pi k$
$\frac{\pi}{3} + \pi k < x < \frac{2\pi}{3} + \pi k, \quad k \in \mathbb{Z}$.
Ответ: $y > 0$ при $x \in \left(-\frac{\pi}{3} + \pi k, \frac{\pi}{3} + \pi k\right)$; $y < 0$ при $x \in \left(\frac{\pi}{3} + \pi k, \frac{2\pi}{3} + \pi k\right)$, где $k \in \mathbb{Z}$.
Другие задания:
Помогло решение? Оставьте отзыв в комментариях ниже.
Присоединяйтесь к Телеграм-группе @top_gdz
ПрисоединитьсяМы подготовили для вас ответ c подробным объяснением домашего задания по алгебре за 10-11 класс, для упражнения номер 100 расположенного на странице 292 к учебнику 2008 года издания для учащихся школ и гимназий.
Теперь на нашем сайте ГДЗ.ТОП вы всегда легко и бесплатно найдёте условие с правильным ответом на вопрос «Как решить ДЗ» и «Как сделать» задание по алгебре к упражнению №100 (с. 292), авторов: Колмогоров (Андрей Николаевич), Абрамов (Александр Михайлович), Дудницын (Юрий Павлович), учебного пособия издательства Просвещение.
 
                     
                     
                     
                     
                     
                     
                     
                     
                     
                     
                     
                     
                     
                     
                     
                     
                     
                     
                    