Номер 218, страница 306 - гдз по алгебре 10-11 класс учебник Колмогоров, Абрамов
 
                                                Авторы: Колмогоров А. Н., Абрамов А. М., Дудницын Ю. П.
Тип: Учебник
Издательство: Просвещение
Год издания: 2008 - 2025
Цвет обложки: зелёный, чёрный
ISBN: 978-5-09-019513-3
Рекомендовано Министерством образования и науки Российской Федерации
Алгебра и начала математического анализа
Популярные ГДЗ в 10 классе
Глава 5. Задачи на повторение. Параграф 5. Производная, первообразная, интеграл и их применения - номер 218, страница 306.
№218 (с. 306)
Условие. №218 (с. 306)
скриншот условия
 
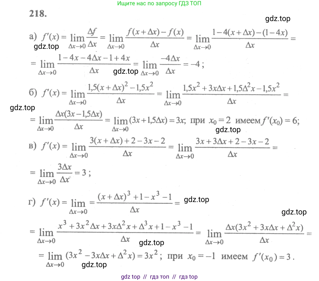
                                                                                                                                        218. Пользуясь определением, найдите производную функции $f$ в точке $x_0$, если:
a) $f(x) = 1 - 4x$, $x_0 = 3$;
б) $f(x) = 1.5x^2$, $x_0 = 2$;
в) $f(x) = 3x + 2$, $x_0 = 5$;
г) $f(x) = x^3 + 1$, $x_0 = -1$.
Решение 1. №218 (с. 306)
 
                                                                                                                        Решение 3. №218 (с. 306)
 
                                                                                                                        Решение 5. №218 (с. 306)
Для нахождения производной функции $f(x)$ в точке $x_0$ воспользуемся определением производной:
$f'(x_0) = \lim_{\Delta x \to 0} \frac{f(x_0 + \Delta x) - f(x_0)}{\Delta x}$
где $\Delta x$ — приращение аргумента.
а) $f(x) = 1 - 4x$, $x_0 = 3$
1. Найдём значение функции в точке $x_0 = 3$:
$f(3) = 1 - 4 \cdot 3 = 1 - 12 = -11$.
2. Найдём значение функции в точке $x_0 + \Delta x = 3 + \Delta x$:
$f(3 + \Delta x) = 1 - 4(3 + \Delta x) = 1 - 12 - 4\Delta x = -11 - 4\Delta x$.
3. Подставим найденные значения в определение производной:
$f'(3) = \lim_{\Delta x \to 0} \frac{(-11 - 4\Delta x) - (-11)}{\Delta x} = \lim_{\Delta x \to 0} \frac{-11 - 4\Delta x + 11}{\Delta x} = \lim_{\Delta x \to 0} \frac{-4\Delta x}{\Delta x}$.
4. Сократим дробь на $\Delta x$ (так как $\Delta x \to 0$, но $\Delta x \neq 0$) и вычислим предел:
$f'(3) = \lim_{\Delta x \to 0} (-4) = -4$.
Ответ: -4
б) $f(x) = 1,5x^2$, $x_0 = 2$
1. Найдём значение функции в точке $x_0 = 2$:
$f(2) = 1,5 \cdot 2^2 = 1,5 \cdot 4 = 6$.
2. Найдём значение функции в точке $x_0 + \Delta x = 2 + \Delta x$:
$f(2 + \Delta x) = 1,5(2 + \Delta x)^2 = 1,5(2^2 + 2 \cdot 2 \cdot \Delta x + (\Delta x)^2) = 1,5(4 + 4\Delta x + (\Delta x)^2) = 6 + 6\Delta x + 1,5(\Delta x)^2$.
3. Подставим значения в определение производной:
$f'(2) = \lim_{\Delta x \to 0} \frac{(6 + 6\Delta x + 1,5(\Delta x)^2) - 6}{\Delta x} = \lim_{\Delta x \to 0} \frac{6\Delta x + 1,5(\Delta x)^2}{\Delta x}$.
4. Вынесем $\Delta x$ за скобки в числителе, сократим и вычислим предел:
$f'(2) = \lim_{\Delta x \to 0} \frac{\Delta x(6 + 1,5\Delta x)}{\Delta x} = \lim_{\Delta x \to 0} (6 + 1,5\Delta x) = 6 + 1,5 \cdot 0 = 6$.
Ответ: 6
в) $f(x) = 3x + 2$, $x_0 = 5$
1. Найдём значение функции в точке $x_0 = 5$:
$f(5) = 3 \cdot 5 + 2 = 15 + 2 = 17$.
2. Найдём значение функции в точке $x_0 + \Delta x = 5 + \Delta x$:
$f(5 + \Delta x) = 3(5 + \Delta x) + 2 = 15 + 3\Delta x + 2 = 17 + 3\Delta x$.
3. Подставим значения в определение производной:
$f'(5) = \lim_{\Delta x \to 0} \frac{(17 + 3\Delta x) - 17}{\Delta x} = \lim_{\Delta x \to 0} \frac{3\Delta x}{\Delta x}$.
4. Сократим на $\Delta x$ и вычислим предел:
$f'(5) = \lim_{\Delta x \to 0} 3 = 3$.
Ответ: 3
г) $f(x) = x^3 + 1$, $x_0 = -1$
1. Найдём значение функции в точке $x_0 = -1$:
$f(-1) = (-1)^3 + 1 = -1 + 1 = 0$.
2. Найдём значение функции в точке $x_0 + \Delta x = -1 + \Delta x$:
$f(-1 + \Delta x) = (-1 + \Delta x)^3 + 1$.
Используем формулу куба суммы $(a+b)^3 = a^3 + 3a^2b + 3ab^2 + b^3$:
$f(-1 + \Delta x) = ((-1)^3 + 3(-1)^2(\Delta x) + 3(-1)(\Delta x)^2 + (\Delta x)^3) + 1 = (-1 + 3\Delta x - 3(\Delta x)^2 + (\Delta x)^3) + 1 = 3\Delta x - 3(\Delta x)^2 + (\Delta x)^3$.
3. Подставим значения в определение производной:
$f'(-1) = \lim_{\Delta x \to 0} \frac{(3\Delta x - 3(\Delta x)^2 + (\Delta x)^3) - 0}{\Delta x} = \lim_{\Delta x \to 0} \frac{3\Delta x - 3(\Delta x)^2 + (\Delta x)^3}{\Delta x}$.
4. Вынесем $\Delta x$ за скобки, сократим и вычислим предел:
$f'(-1) = \lim_{\Delta x \to 0} \frac{\Delta x(3 - 3\Delta x + (\Delta x)^2)}{\Delta x} = \lim_{\Delta x \to 0} (3 - 3\Delta x + (\Delta x)^2) = 3 - 3 \cdot 0 + 0^2 = 3$.
Ответ: 3
Другие задания:
Помогло решение? Оставьте отзыв в комментариях ниже.
Присоединяйтесь к Телеграм-группе @top_gdz
ПрисоединитьсяМы подготовили для вас ответ c подробным объяснением домашего задания по алгебре за 10-11 класс, для упражнения номер 218 расположенного на странице 306 к учебнику 2008 года издания для учащихся школ и гимназий.
Теперь на нашем сайте ГДЗ.ТОП вы всегда легко и бесплатно найдёте условие с правильным ответом на вопрос «Как решить ДЗ» и «Как сделать» задание по алгебре к упражнению №218 (с. 306), авторов: Колмогоров (Андрей Николаевич), Абрамов (Александр Михайлович), Дудницын (Юрий Павлович), учебного пособия издательства Просвещение.
 
                     
                     
                     
                     
                     
                     
                     
                     
                     
                     
                     
                     
                     
                     
                     
                     
                     
                     
                    