Номер 231, страница 308 - гдз по алгебре 10-11 класс учебник Колмогоров, Абрамов
 
                                                Авторы: Колмогоров А. Н., Абрамов А. М., Дудницын Ю. П.
Тип: Учебник
Издательство: Просвещение
Год издания: 2008 - 2025
Цвет обложки: зелёный, чёрный
ISBN: 978-5-09-019513-3
Рекомендовано Министерством образования и науки Российской Федерации
Алгебра и начала математического анализа
Популярные ГДЗ в 10 классе
Глава 5. Задачи на повторение. Параграф 5. Производная, первообразная, интеграл и их применения - номер 231, страница 308.
№231 (с. 308)
Условие. №231 (с. 308)
скриншот условия
 
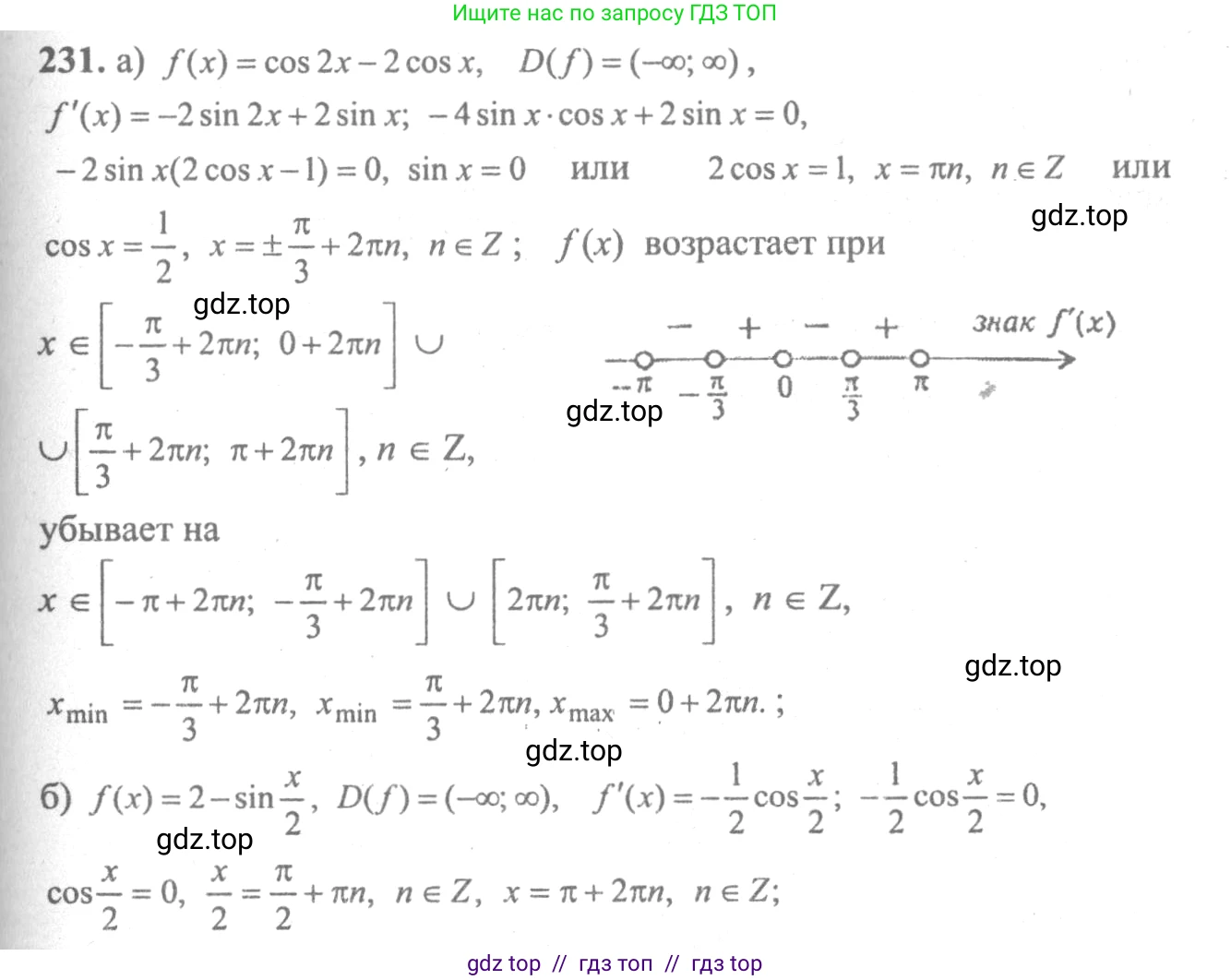
                                                                                                                                        231. а) $f(x) = \cos 2x - 2 \cos x$;
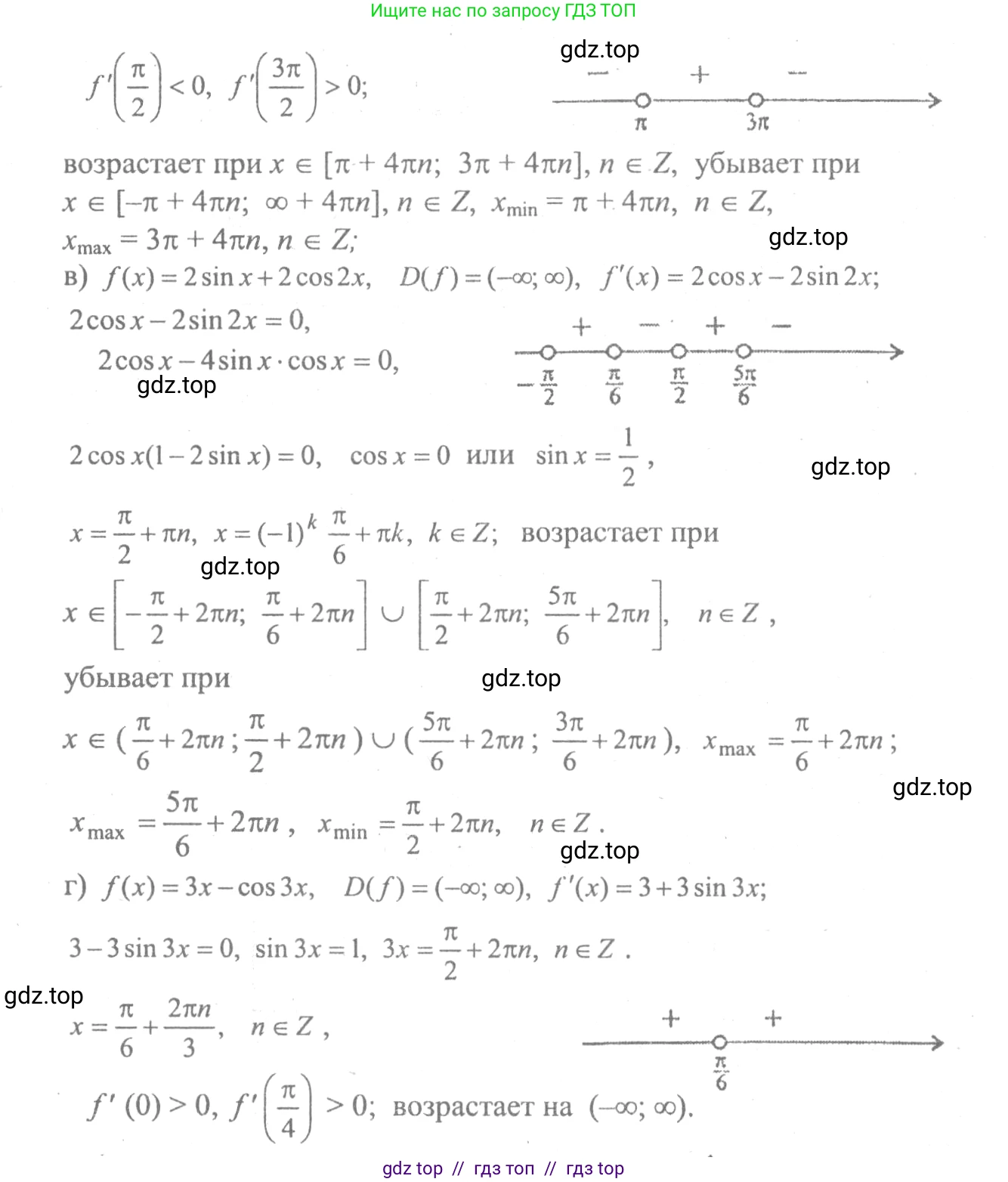
б) $f(x) = 2 - \sin \frac{x}{2}$;
в) $f(x) = 2 \sin x + \cos 2x$;
г) $f(x) = 3x - \cos 3x$.
Решение 1. №231 (с. 308)
 
                                                                                                                        Решение 3. №231 (с. 308)
 
                                                                            
                                                                                                         
                                                                                                                        Решение 5. №231 (с. 308)
а)
Чтобы найти первообразную для функции $f(x) = \cos 2x - 2 \cos x$, необходимо найти ее неопределенный интеграл $F(x) = \int f(x) \,dx$.
Используем свойство линейности интеграла (интеграл суммы/разности равен сумме/разности интегралов):
$F(x) = \int (\cos 2x - 2 \cos x) \,dx = \int \cos 2x \,dx - \int 2 \cos x \,dx = \int \cos 2x \,dx - 2 \int \cos x \,dx$.
Теперь найдем каждый интеграл по отдельности, используя табличные интегралы:
1. Для первого интеграла применим формулу $\int \cos(kx) \,dx = \frac{1}{k}\sin(kx) + C$. В нашем случае $k=2$.
$\int \cos 2x \,dx = \frac{1}{2} \sin 2x$.
2. Для второго интеграла воспользуемся основной формулой $\int \cos x \,dx = \sin x + C$.
$2 \int \cos x \,dx = 2 \sin x$.
Объединяя результаты и добавляя общую константу интегрирования $C$, получаем семейство всех первообразных:
$F(x) = \frac{1}{2} \sin 2x - 2 \sin x + C$.
Ответ: $F(x) = \frac{1}{2} \sin 2x - 2 \sin x + C$.
б)
Найдем неопределенный интеграл для функции $f(x) = 2 - \sin \frac{x}{2}$ для нахождения ее первообразной.
$F(x) = \int (2 - \sin \frac{x}{2}) \,dx = \int 2 \,dx - \int \sin \frac{x}{2} \,dx$.
Найдем каждый интеграл:
1. Интеграл от константы: $\int 2 \,dx = 2x$.
2. Для второго интеграла применим формулу $\int \sin(kx) \,dx = -\frac{1}{k}\cos(kx) + C$. В данном случае $k = \frac{1}{2}$.
$\int \sin \frac{x}{2} \,dx = -\frac{1}{1/2} \cos \frac{x}{2} = -2 \cos \frac{x}{2}$.
Вычитая второй результат из первого и добавляя константу интегрирования $C$, получаем:
$F(x) = 2x - (-2 \cos \frac{x}{2}) + C = 2x + 2 \cos \frac{x}{2} + C$.
Ответ: $F(x) = 2x + 2 \cos \frac{x}{2} + C$.
в)
Найдем первообразную для функции $f(x) = 2 \sin x + \cos 2x$, вычислив ее неопределенный интеграл.
$F(x) = \int (2 \sin x + \cos 2x) \,dx = \int 2 \sin x \,dx + \int \cos 2x \,dx = 2 \int \sin x \,dx + \int \cos 2x \,dx$.
Найдем каждый интеграл:
1. Интеграл от синуса: $2 \int \sin x \,dx = -2 \cos x$.
2. Интеграл от косинуса двойного угла (как в пункте а)): $\int \cos 2x \,dx = \frac{1}{2} \sin 2x$.
Складывая результаты и добавляя константу интегрирования $C$, получаем:
$F(x) = -2 \cos x + \frac{1}{2} \sin 2x + C$.
Ответ: $F(x) = \frac{1}{2} \sin 2x - 2 \cos x + C$.
г)
Для нахождения первообразной функции $f(x) = 3x - \cos 3x$ найдем ее неопределенный интеграл.
$F(x) = \int (3x - \cos 3x) \,dx = \int 3x \,dx - \int \cos 3x \,dx$.
Найдем каждый интеграл:
1. Интеграл от степенной функции по формуле $\int x^n \,dx = \frac{x^{n+1}}{n+1} + C$.
$\int 3x \,dx = 3 \int x^1 \,dx = 3 \cdot \frac{x^2}{2} = \frac{3}{2}x^2$.
2. Интеграл от косинуса по формуле $\int \cos(kx) \,dx = \frac{1}{k}\sin(kx) + C$. Здесь $k=3$.
$\int \cos 3x \,dx = \frac{1}{3} \sin 3x$.
Вычитая второй результат из первого и добавляя константу интегрирования $C$, получаем:
$F(x) = \frac{3}{2}x^2 - \frac{1}{3} \sin 3x + C$.
Ответ: $F(x) = \frac{3}{2}x^2 - \frac{1}{3} \sin 3x + C$.
Другие задания:
Помогло решение? Оставьте отзыв в комментариях ниже.
Присоединяйтесь к Телеграм-группе @top_gdz
ПрисоединитьсяМы подготовили для вас ответ c подробным объяснением домашего задания по алгебре за 10-11 класс, для упражнения номер 231 расположенного на странице 308 к учебнику 2008 года издания для учащихся школ и гимназий.
Теперь на нашем сайте ГДЗ.ТОП вы всегда легко и бесплатно найдёте условие с правильным ответом на вопрос «Как решить ДЗ» и «Как сделать» задание по алгебре к упражнению №231 (с. 308), авторов: Колмогоров (Андрей Николаевич), Абрамов (Александр Михайлович), Дудницын (Юрий Павлович), учебного пособия издательства Просвещение.
 
                     
                     
                     
                     
                     
                     
                     
                     
                     
                     
                     
                     
                     
                     
                     
                     
                     
                     
                    