Номер 233, страница 309 - гдз по алгебре 10-11 класс учебник Колмогоров, Абрамов
 
                                                Авторы: Колмогоров А. Н., Абрамов А. М., Дудницын Ю. П.
Тип: Учебник
Издательство: Просвещение
Год издания: 2008 - 2025
Цвет обложки: зелёный, чёрный
ISBN: 978-5-09-019513-3
Рекомендовано Министерством образования и науки Российской Федерации
Алгебра и начала математического анализа
Популярные ГДЗ в 10 классе
Глава 5. Задачи на повторение. Параграф 5. Производная, первообразная, интеграл и их применения - номер 233, страница 309.
№233 (с. 309)
Условие. №233 (с. 309)
скриншот условия
 
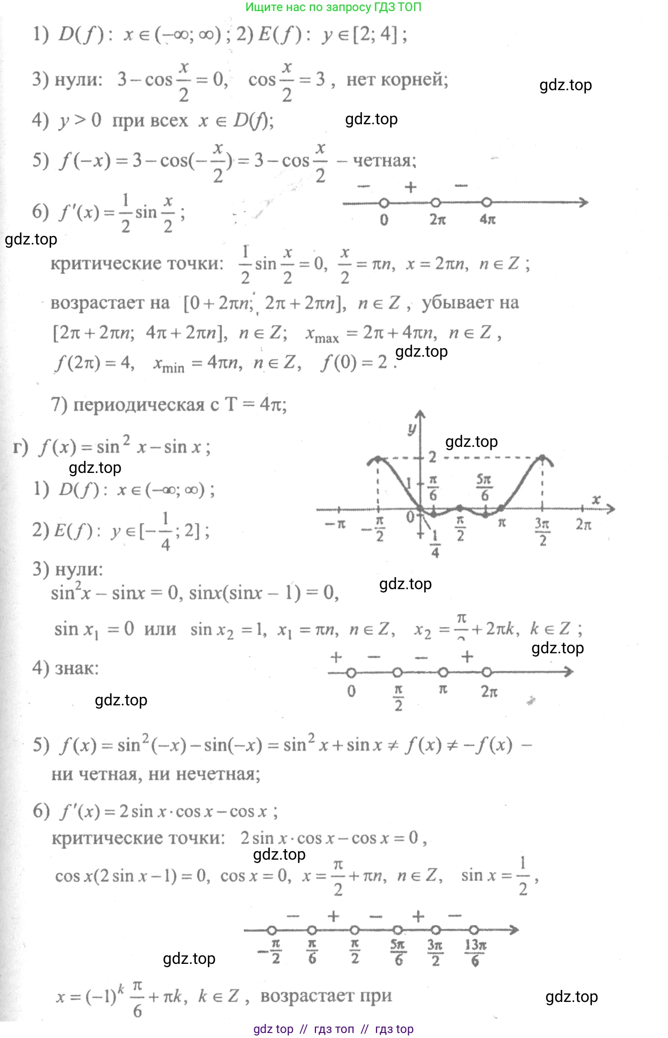
                                                                                                                                        233. a) $f(x) = 1 - 2 \sin 2x;$
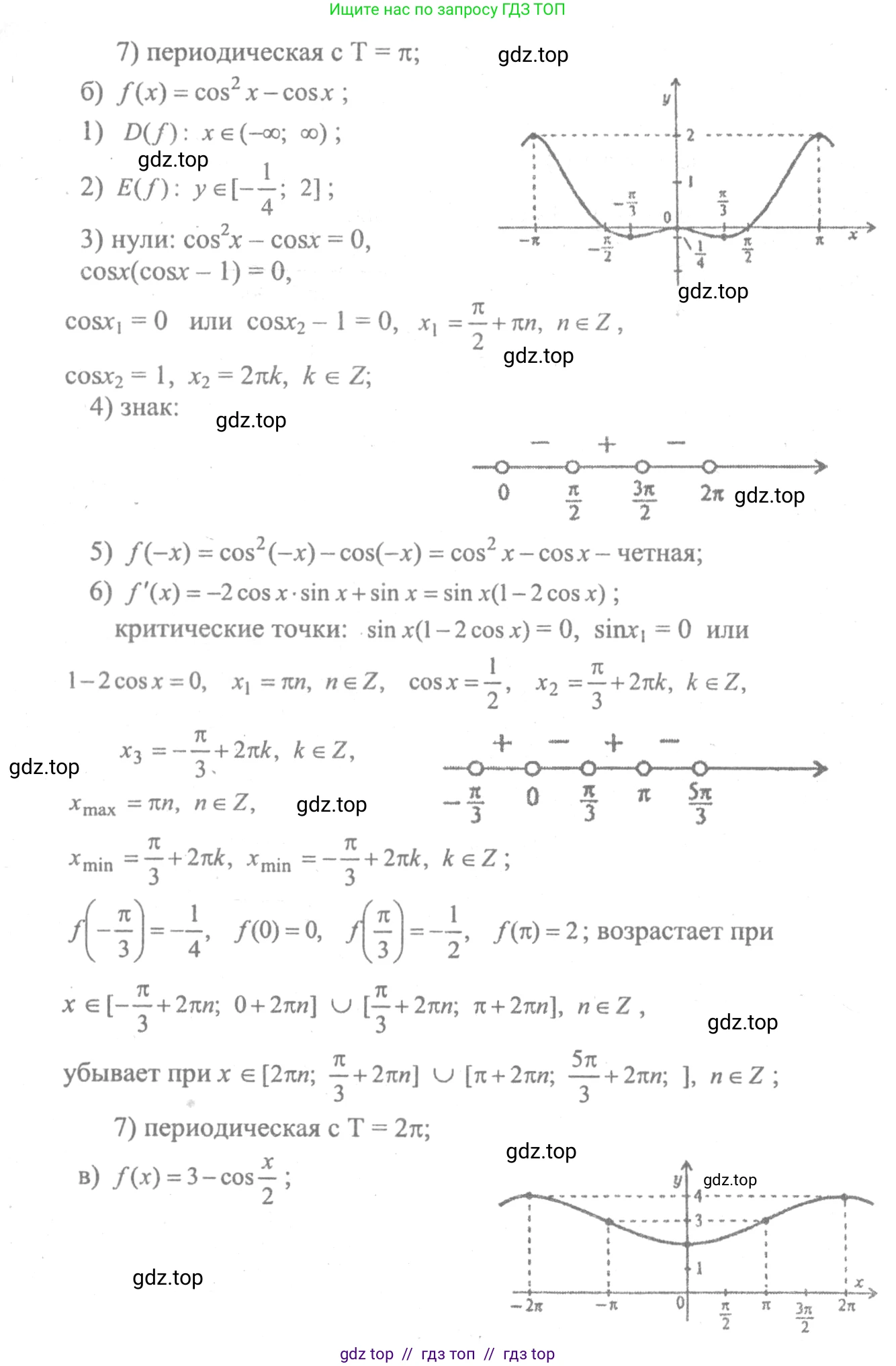
б) $f(x) = \cos^2 x - \cos x;$
в) $f(x) = 3 - \cos \frac{x}{2};$
г) $f(x) = \sin^2 x - \sin x.$
Решение 1. №233 (с. 309)
 
                                                                                                                        Решение 3. №233 (с. 309)
 
                                                                            
                                                                                                         
                                                                                                                        Решение 5. №233 (с. 309)
а) Дана функция $f(x) = 1 - 2 \sin 2x$.
Чтобы найти область значений этой функции, мы начнем с области значений синуса.
Известно, что для любого аргумента $z$ выполняется неравенство:
$-1 \le \sin z \le 1$.
В нашем случае $z = 2x$, поэтому:
$-1 \le \sin 2x \le 1$.
Теперь выполним преобразования, чтобы получить выражение для $f(x)$.
1. Умножим все части неравенства на $-2$. При умножении на отрицательное число знаки неравенства меняются на противоположные:
$(-1) \cdot (-2) \ge -2 \sin 2x \ge 1 \cdot (-2)$
$2 \ge -2 \sin 2x \ge -2$.
Запишем в привычном порядке:
$-2 \le -2 \sin 2x \le 2$.
2. Прибавим 1 ко всем частям неравенства:
$1 - 2 \le 1 - 2 \sin 2x \le 1 + 2$
$-1 \le 1 - 2 \sin 2x \le 3$.
Таким образом, $-1 \le f(x) \le 3$.
Область значений функции $E(f)$ — это отрезок $[-1, 3]$.
Ответ: $E(f) = [-1, 3]$.
б) Дана функция $f(x) = \cos^2 x - \cos x$.
Это сложная функция. Чтобы найти ее область значений, введем замену переменной.
Пусть $t = \cos x$.
Так как область значений косинуса — это отрезок $[-1, 1]$, то новая переменная $t$ может принимать значения только из этого отрезка: $t \in [-1, 1]$.
После замены функция принимает вид $g(t) = t^2 - t$.
Теперь задача сводится к нахождению наименьшего и наибольшего значений квадратичной функции $g(t) = t^2 - t$ на отрезке $[-1, 1]$.
Графиком функции $g(t)$ является парабола, ветви которой направлены вверх (коэффициент при $t^2$ равен 1, что больше нуля). Свое наименьшее значение парабола принимает в вершине.
Найдем координату вершины параболы по оси абсцисс:
$t_0 = -\frac{-1}{2 \cdot 1} = \frac{1}{2}$.
Поскольку $t_0 = \frac{1}{2}$ принадлежит отрезку $[-1, 1]$, то наименьшее значение функции $g(t)$ на этом отрезке будет равно значению в вершине:
$g_{min} = g(\frac{1}{2}) = (\frac{1}{2})^2 - \frac{1}{2} = \frac{1}{4} - \frac{1}{2} = -\frac{1}{4}$.
Наибольшее значение на отрезке достигается на одном из его концов. Найдем значения функции на концах отрезка $[-1, 1]$:
$g(-1) = (-1)^2 - (-1) = 1 + 1 = 2$.
$g(1) = 1^2 - 1 = 0$.
Сравнивая эти значения, получаем, что наибольшее значение функции равно 2.
$g_{max} = 2$.
Таким образом, все значения функции $g(t)$ на отрезке $[-1, 1]$ лежат в пределах от $-\frac{1}{4}$ до $2$.
Следовательно, область значений исходной функции $f(x)$ — это отрезок $[-\frac{1}{4}, 2]$.
Ответ: $E(f) = [-\frac{1}{4}, 2]$.
в) Дана функция $f(x) = 3 - \cos \frac{x}{2}$.
Найдем область значений этой функции, используя свойства функции косинуса.
Известно, что для любого аргумента $z$ выполняется неравенство:
$-1 \le \cos z \le 1$.
В данном случае $z = \frac{x}{2}$, поэтому:
$-1 \le \cos \frac{x}{2} \le 1$.
Выполним необходимые преобразования.
1. Умножим все части неравенства на $-1$. Знаки неравенства изменятся на противоположные:
$(-1) \cdot (-1) \ge -\cos \frac{x}{2} \ge 1 \cdot (-1)$
$1 \ge -\cos \frac{x}{2} \ge -1$.
Запишем в стандартном виде:
$-1 \le -\cos \frac{x}{2} \le 1$.
2. Прибавим 3 ко всем частям неравенства:
$3 - 1 \le 3 - \cos \frac{x}{2} \le 3 + 1$
$2 \le 3 - \cos \frac{x}{2} \le 4$.
Таким образом, $2 \le f(x) \le 4$.
Область значений функции $E(f)$ — это отрезок $[2, 4]$.
Ответ: $E(f) = [2, 4]$.
г) Дана функция $f(x) = \sin^2 x - \sin x$.
Эта задача решается аналогично задаче б). Введем замену переменной.
Пусть $t = \sin x$.
Область значений синуса — это отрезок $[-1, 1]$, поэтому новая переменная $t$ принимает значения из отрезка $t \in [-1, 1]$.
Функция примет вид $h(t) = t^2 - t$.
Задача сводится к нахождению области значений квадратичной функции $h(t) = t^2 - t$ на отрезке $[-1, 1]$.
Это парабола, ветви которой направлены вверх. Ее наименьшее значение находится в вершине.
Координата вершины по оси абсцисс:
$t_0 = -\frac{-1}{2 \cdot 1} = \frac{1}{2}$.
Так как точка $t_0 = \frac{1}{2}$ находится внутри отрезка $[-1, 1]$, наименьшее значение функции на этом отрезке будет равно значению в вершине:
$h_{min} = h(\frac{1}{2}) = (\frac{1}{2})^2 - \frac{1}{2} = \frac{1}{4} - \frac{1}{2} = -\frac{1}{4}$.
Наибольшее значение ищем на концах отрезка:
$h(-1) = (-1)^2 - (-1) = 1 + 1 = 2$.
$h(1) = 1^2 - 1 = 0$.
Сравнивая полученные значения, видим, что наибольшее значение равно 2.
$h_{max} = 2$.
Следовательно, область значений функции $h(t)$ на отрезке $[-1, 1]$, а значит и исходной функции $f(x)$, — это отрезок $[-\frac{1}{4}, 2]$.
Ответ: $E(f) = [-\frac{1}{4}, 2]$.
Другие задания:
Помогло решение? Оставьте отзыв в комментариях ниже.
Присоединяйтесь к Телеграм-группе @top_gdz
ПрисоединитьсяМы подготовили для вас ответ c подробным объяснением домашего задания по алгебре за 10-11 класс, для упражнения номер 233 расположенного на странице 309 к учебнику 2008 года издания для учащихся школ и гимназий.
Теперь на нашем сайте ГДЗ.ТОП вы всегда легко и бесплатно найдёте условие с правильным ответом на вопрос «Как решить ДЗ» и «Как сделать» задание по алгебре к упражнению №233 (с. 309), авторов: Колмогоров (Андрей Николаевич), Абрамов (Александр Михайлович), Дудницын (Юрий Павлович), учебного пособия издательства Просвещение.
 
                     
                     
                     
                     
                     
                     
                     
                     
                     
                     
                     
                     
                     
                     
                     
                     
                     
                     
                    