Номер 235, страница 309 - гдз по алгебре 10-11 класс учебник Колмогоров, Абрамов
 
                                                Авторы: Колмогоров А. Н., Абрамов А. М., Дудницын Ю. П.
Тип: Учебник
Издательство: Просвещение
Год издания: 2008 - 2025
Цвет обложки: зелёный, чёрный
ISBN: 978-5-09-019513-3
Рекомендовано Министерством образования и науки Российской Федерации
Алгебра и начала математического анализа
Популярные ГДЗ в 10 классе
Глава 5. Задачи на повторение. Параграф 5. Производная, первообразная, интеграл и их применения - номер 235, страница 309.
№235 (с. 309)
Условие. №235 (с. 309)
скриншот условия
 
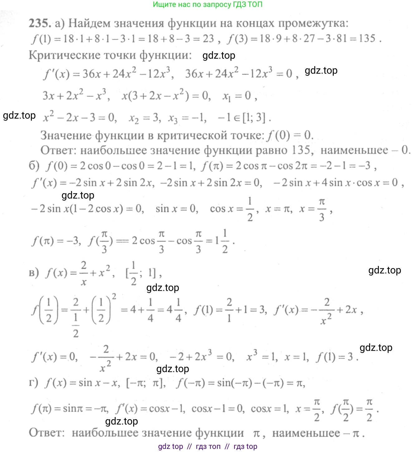
                                                                                                                                        235. Найдите наибольшее и наименьшее значения функции f (если они существуют) на данном промежутке:
а) $f(x) = 18x^2 + 8x^3 - 3x^4, [1; 3];$
б) $f(x) = 2 \cos x - \cos 2x, [0; \pi];$
в) $f(x) = \frac{2}{x} + x^2, [\frac{1}{2}; 1];$
г) $f(x) = \sin x - x, [-\pi; \pi].$
Решение 1. №235 (с. 309)
 
                                                                                                                        Решение 5. №235 (с. 309)
Для нахождения наибольшего и наименьшего значений функции на замкнутом промежутке (отрезке) используется следующий алгоритм:
- Найти производную функции $f'(x)$.
- Найти стационарные и критические точки функции (решив уравнение $f'(x)=0$ и найдя точки, где производная не существует).
- Выбрать те из найденных точек, которые принадлежат данному отрезку.
- Вычислить значения функции в этих точках и на концах отрезка.
- Среди полученных значений найти наибольшее и наименьшее.
Дана функция $f(x) = 18x^2 + 8x^3 - 3x^4$ на отрезке $[1; 3]$.
1. Находим производную функции:
$f'(x) = (18x^2 + 8x^3 - 3x^4)' = 36x + 24x^2 - 12x^3$.
2. Находим критические точки, решив уравнение $f'(x) = 0$:
$36x + 24x^2 - 12x^3 = 0$
$-12x(x^2 - 2x - 3) = 0$
Корни уравнения: $x_1 = 0$, и корни квадратного уравнения $x^2 - 2x - 3 = 0$, которыми являются $x_2 = 3$ и $x_3 = -1$.
3. Из всех критических точек ($ -1, 0, 3$) отрезку $[1; 3]$ принадлежит только точка $x=3$.
4. Вычисляем значения функции на концах отрезка $x=1$, $x=3$ (точка $x=3$ является и концом отрезка, и критической точкой):
$f(1) = 18(1)^2 + 8(1)^3 - 3(1)^4 = 18 + 8 - 3 = 23$.
$f(3) = 18(3)^2 + 8(3)^3 - 3(3)^4 = 18 \cdot 9 + 8 \cdot 27 - 3 \cdot 81 = 162 + 216 - 243 = 135$.
5. Сравнивая значения $f(1)=23$ и $f(3)=135$, заключаем, что наименьшее значение функции равно $23$, а наибольшее равно $135$.
Ответ: наименьшее значение $23$, наибольшее значение $135$.
б)Дана функция $f(x) = 2 \cos x - \cos 2x$ на отрезке $[0; \pi]$.
1. Находим производную функции:
$f'(x) = (2 \cos x - \cos 2x)' = -2 \sin x - (-\sin 2x \cdot 2) = -2 \sin x + 2 \sin 2x$.
2. Находим критические точки из уравнения $f'(x) = 0$:
$-2 \sin x + 2 \sin 2x = 0$
$\sin 2x - \sin x = 0$
$2 \sin x \cos x - \sin x = 0$
$\sin x (2 \cos x - 1) = 0$
Отсюда либо $\sin x = 0$, либо $2 \cos x - 1 = 0 \Rightarrow \cos x = \frac{1}{2}$.
3. На отрезке $[0; \pi]$ уравнение $\sin x = 0$ имеет корни $x=0$ и $x=\pi$. Уравнение $\cos x = \frac{1}{2}$ имеет корень $x=\frac{\pi}{3}$.
4. Вычисляем значения функции в точках $x=0$, $x=\frac{\pi}{3}$, $x=\pi$:
$f(0) = 2 \cos 0 - \cos(0) = 2 \cdot 1 - 1 = 1$.
$f(\frac{\pi}{3}) = 2 \cos(\frac{\pi}{3}) - \cos(2\frac{\pi}{3}) = 2 \cdot \frac{1}{2} - (-\frac{1}{2}) = 1 + \frac{1}{2} = \frac{3}{2}$.
$f(\pi) = 2 \cos \pi - \cos(2\pi) = 2(-1) - 1 = -3$.
5. Сравнивая значения $1$, $\frac{3}{2}$ и $-3$, находим, что наименьшее значение функции равно $-3$, а наибольшее равно $\frac{3}{2}$.
Ответ: наименьшее значение $-3$, наибольшее значение $\frac{3}{2}$.
в)Дана функция $f(x) = \frac{2}{x} + x^2$ на отрезке $[\frac{1}{2}; 1]$.
1. Находим производную функции:
$f'(x) = (\frac{2}{x} + x^2)' = -\frac{2}{x^2} + 2x$.
2. Находим критические точки из уравнения $f'(x) = 0$:
$-\frac{2}{x^2} + 2x = 0 \Rightarrow 2x = \frac{2}{x^2} \Rightarrow x^3 = 1 \Rightarrow x = 1$.
3. Критическая точка $x=1$ принадлежит отрезку $[\frac{1}{2}; 1]$ и является его правым концом.
4. Вычисляем значения функции на концах отрезка $x=\frac{1}{2}$ и $x=1$:
$f(\frac{1}{2}) = \frac{2}{1/2} + (\frac{1}{2})^2 = 4 + \frac{1}{4} = \frac{17}{4} = 4.25$.
$f(1) = \frac{2}{1} + 1^2 = 2 + 1 = 3$.
5. Сравнивая значения $\frac{17}{4}$ и $3$, видим, что наименьшее значение функции равно $3$, а наибольшее равно $\frac{17}{4}$.
Ответ: наименьшее значение $3$, наибольшее значение $\frac{17}{4}$.
г)Дана функция $f(x) = \sin x - x$ на отрезке $[-\pi; \pi]$.
1. Находим производную функции:
$f'(x) = (\sin x - x)' = \cos x - 1$.
2. Находим критические точки из уравнения $f'(x) = 0$:
$\cos x - 1 = 0 \Rightarrow \cos x = 1$.
3. На отрезке $[-\pi; \pi]$ это уравнение имеет единственный корень $x=0$.
4. Вычисляем значения функции в точке $x=0$ и на концах отрезка $x=-\pi$ и $x=\pi$:
$f(-\pi) = \sin(-\pi) - (-\pi) = 0 + \pi = \pi$.
$f(0) = \sin(0) - 0 = 0$.
$f(\pi) = \sin(\pi) - \pi = 0 - \pi = -\pi$.
5. Сравнивая значения $\pi$, $0$ и $-\pi$, находим, что наименьшее значение функции равно $-\pi$, а наибольшее равно $\pi$.
Ответ: наименьшее значение $-\pi$, наибольшее значение $\pi$.
Другие задания:
Помогло решение? Оставьте отзыв в комментариях ниже.
Присоединяйтесь к Телеграм-группе @top_gdz
ПрисоединитьсяМы подготовили для вас ответ c подробным объяснением домашего задания по алгебре за 10-11 класс, для упражнения номер 235 расположенного на странице 309 к учебнику 2008 года издания для учащихся школ и гимназий.
Теперь на нашем сайте ГДЗ.ТОП вы всегда легко и бесплатно найдёте условие с правильным ответом на вопрос «Как решить ДЗ» и «Как сделать» задание по алгебре к упражнению №235 (с. 309), авторов: Колмогоров (Андрей Николаевич), Абрамов (Александр Михайлович), Дудницын (Юрий Павлович), учебного пособия издательства Просвещение.
 
                     
                     
                     
                     
                     
                     
                     
                     
                     
                     
                     
                     
                     
                     
                     
                     
                     
                     
                    