Номер 232, страница 308 - гдз по алгебре 10-11 класс учебник Колмогоров, Абрамов
 
                                                Авторы: Колмогоров А. Н., Абрамов А. М., Дудницын Ю. П.
Тип: Учебник
Издательство: Просвещение
Год издания: 2008 - 2025
Цвет обложки: зелёный, чёрный
ISBN: 978-5-09-019513-3
Рекомендовано Министерством образования и науки Российской Федерации
Алгебра и начала математического анализа
Популярные ГДЗ в 10 классе
Глава 5. Задачи на повторение. Параграф 5. Производная, первообразная, интеграл и их применения - номер 232, страница 308.
№232 (с. 308)
Условие. №232 (с. 308)
скриншот условия
 
                                                                                                                                        Исследуйте функцию и постройте ее график (232—234).
232. a) $f(x) = x^2 (x - 2)^2$;
б) $f(x) = \frac{8}{x} + \frac{x}{2}$;
в) $f(x) = x^3 - 3x^2 - 9x$;
г) $f(x) = \frac{x}{4 - x^2}$.
Решение 1. №232 (с. 308)
 
                                                                                                                        Решение 3. №232 (с. 308)
 
                                                                            
                                                                                                         
                                                                                                                        Решение 5. №232 (с. 308)
а) $f(x) = x^2(x-2)^2$
Проведем полное исследование функции:
1. Область определения.
Функция является многочленом, поэтому она определена для всех действительных чисел.
$D(f) = (-\infty; +\infty)$.
2. Четность и периодичность.
$f(-x) = (-x)^2(-x-2)^2 = x^2(-(x+2))^2 = x^2(x+2)^2$.
Так как $f(-x) \neq f(x)$ и $f(-x) \neq -f(x)$, функция не является ни четной, ни нечетной. Функция непериодическая.
3. Точки пересечения с осями координат.
- С осью OY: $x=0 \implies f(0) = 0^2(0-2)^2 = 0$. Точка пересечения (0, 0).
- С осью OX: $f(x)=0 \implies x^2(x-2)^2 = 0$. Корни $x=0$ и $x=2$. Точки пересечения (0, 0) и (2, 0). В этих точках график касается оси OX, так как кратность корней равна 2.
4. Асимптоты.
- Вертикальных асимптот нет, так как функция определена на всей числовой оси.
- Наклонные (и горизонтальные) асимптоты. Раскроем скобки: $f(x) = x^2(x^2 - 4x + 4) = x^4 - 4x^3 + 4x^2$.
$\lim_{x \to \pm\infty} f(x) = \lim_{x \to \pm\infty} x^4 = +\infty$.
Горизонтальных асимптот нет. Наклонных асимптот также нет.
5. Промежутки возрастания и убывания, точки экстремума.
Найдем первую производную: $f'(x) = (x^4 - 4x^3 + 4x^2)' = 4x^3 - 12x^2 + 8x$.
Приравняем производную к нулю для поиска критических точек: $4x^3 - 12x^2 + 8x = 0 \implies 4x(x^2 - 3x + 2) = 0 \implies 4x(x-1)(x-2) = 0$.
Критические точки: $x_1=0$, $x_2=1$, $x_3=2$.
Исследуем знак производной на интервалах:
- $(-\infty; 0)$: $f'(x) < 0$, функция убывает.
- $(0; 1)$: $f'(x) > 0$, функция возрастает.
- $(1; 2)$: $f'(x) < 0$, функция убывает.
- $(2; +\infty)$: $f'(x) > 0$, функция возрастает.
Точка $x=0$ - точка локального минимума, $f(0)=0$.
Точка $x=1$ - точка локального максимума, $f(1) = 1^2(1-2)^2 = 1$.
Точка $x=2$ - точка локального минимума, $f(2) = 2^2(2-2)^2 = 0$.
6. Промежутки выпуклости и вогнутости, точки перегиба.
Найдем вторую производную: $f''(x) = (4x^3 - 12x^2 + 8x)' = 12x^2 - 24x + 8$.
Приравняем вторую производную к нулю: $12x^2 - 24x + 8 = 0 \implies 3x^2 - 6x + 2 = 0$.
$x = \frac{6 \pm \sqrt{36 - 24}}{6} = \frac{6 \pm \sqrt{12}}{6} = 1 \pm \frac{\sqrt{3}}{3}$.
$x_1 = 1 - \frac{\sqrt{3}}{3} \approx 0.42$, $x_2 = 1 + \frac{\sqrt{3}}{3} \approx 1.58$.
Исследуем знак второй производной:
- $(-\infty; 1 - \frac{\sqrt{3}}{3})$: $f''(x) > 0$, график вогнутый (выпуклый вниз).
- $(1 - \frac{\sqrt{3}}{3}; 1 + \frac{\sqrt{3}}{3})$: $f''(x) < 0$, график выпуклый (выпуклый вверх).
- $(1 + \frac{\sqrt{3}}{3}; +\infty)$: $f''(x) > 0$, график вогнутый (выпуклый вниз).
Точки $x = 1 \pm \frac{\sqrt{3}}{3}$ - точки перегиба. Значения функции в этих точках: $f(1 \pm \frac{\sqrt{3}}{3}) = \frac{4}{9}$.
7. Построение графика.
На основе проведенного исследования строим график. График имеет форму буквы 'W'. Он касается оси Ox в точках (0,0) и (2,0), которые являются точками минимума. Между ними, в точке (1,1), находится локальный максимум. Точки перегиба $(1 - \frac{\sqrt{3}}{3}, \frac{4}{9})$ и $(1 + \frac{\sqrt{3}}{3}, \frac{4}{9})$.
Ответ: Функция $f(x) = x^2(x-2)^2$ определена для всех $x$. Пересекает оси в точках (0,0) и (2,0). Локальные минимумы в точках (0,0) и (2,0), локальный максимум в точке (1,1). Точки перегиба при $x = 1 \pm \frac{\sqrt{3}}{3}$. Асимптот нет. График представляет собой W-образную кривую.
б) $f(x) = \frac{8}{x} + \frac{x}{2}$
Проведем полное исследование функции:
1. Область определения.
Функция не определена, когда знаменатель равен нулю: $x \neq 0$.
$D(f) = (-\infty; 0) \cup (0; +\infty)$.
2. Четность и периодичность.
$f(-x) = \frac{8}{-x} + \frac{-x}{2} = -(\frac{8}{x} + \frac{x}{2}) = -f(x)$.
Функция является нечетной. Ее график симметричен относительно начала координат. Функция непериодическая.
3. Точки пересечения с осями координат.
- С осью OY: $x=0$ не входит в область определения, пересечения нет.
- С осью OX: $f(x)=0 \implies \frac{8}{x} + \frac{x}{2} = 0 \implies \frac{16+x^2}{2x} = 0$. Уравнение $16+x^2=0$ не имеет действительных корней. Пересечений с осью OX нет.
4. Асимптоты.
- Вертикальная асимптота: $x=0$.
$\lim_{x \to 0^+} (\frac{8}{x} + \frac{x}{2}) = +\infty$, $\lim_{x \to 0^-} (\frac{8}{x} + \frac{x}{2}) = -\infty$.
- Наклонная асимптота $y=kx+b$:
$k = \lim_{x \to \pm\infty} \frac{f(x)}{x} = \lim_{x \to \pm\infty} (\frac{8}{x^2} + \frac{1}{2}) = \frac{1}{2}$.
$b = \lim_{x \to \pm\infty} (f(x) - kx) = \lim_{x \to \pm\infty} (\frac{8}{x} + \frac{x}{2} - \frac{1}{2}x) = \lim_{x \to \pm\infty} \frac{8}{x} = 0$.
Наклонная асимптота: $y = \frac{1}{2}x$.
5. Промежутки возрастания и убывания, точки экстремума.
$f'(x) = (\frac{8}{x} + \frac{x}{2})' = -\frac{8}{x^2} + \frac{1}{2}$.
$f'(x)=0 \implies -\frac{8}{x^2} + \frac{1}{2} = 0 \implies x^2 = 16 \implies x = \pm 4$.
Критические точки: $x_1=-4$, $x_2=4$.
- $(-\infty; -4)$: $f'(x) > 0$, функция возрастает.
- $(-4; 0)$: $f'(x) < 0$, функция убывает.
- $(0; 4)$: $f'(x) < 0$, функция убывает.
- $(4; +\infty)$: $f'(x) > 0$, функция возрастает.
$x=-4$ - точка локального максимума, $f(-4) = \frac{8}{-4} + \frac{-4}{2} = -4$. Точка (-4, -4).
$x=4$ - точка локального минимума, $f(4) = \frac{8}{4} + \frac{4}{2} = 4$. Точка (4, 4).
6. Промежутки выпуклости и вогнутости.
$f''(x) = (-\frac{8}{x^2})' = (-8x^{-2})' = 16x^{-3} = \frac{16}{x^3}$.
$f''(x)$ не равна нулю нигде. Знак зависит от знака $x$.
- $(-\infty; 0)$: $f''(x) < 0$, график выпуклый (вверх).
- $(0; +\infty)$: $f''(x) > 0$, график вогнутый (вниз).
Точек перегиба нет.
7. Построение графика.
График состоит из двух ветвей, симметричных относительно начала координат. Ось OY ($x=0$) - вертикальная асимптота, прямая $y=x/2$ - наклонная асимптота. Ветвь в первой четверти имеет точку минимума (4,4). Ветвь в третьей четверти имеет точку максимума (-4,-4).
Ответ: Функция $f(x) = \frac{8}{x} + \frac{x}{2}$ нечетная, с областью определения $(-\infty; 0) \cup (0; +\infty)$. Вертикальная асимптота $x=0$, наклонная асимптота $y = \frac{1}{2}x$. Локальный максимум в точке (-4,-4), локальный минимум в точке (4,4). График выпуклый на $(-\infty; 0)$ и вогнутый на $(0; +\infty)$.
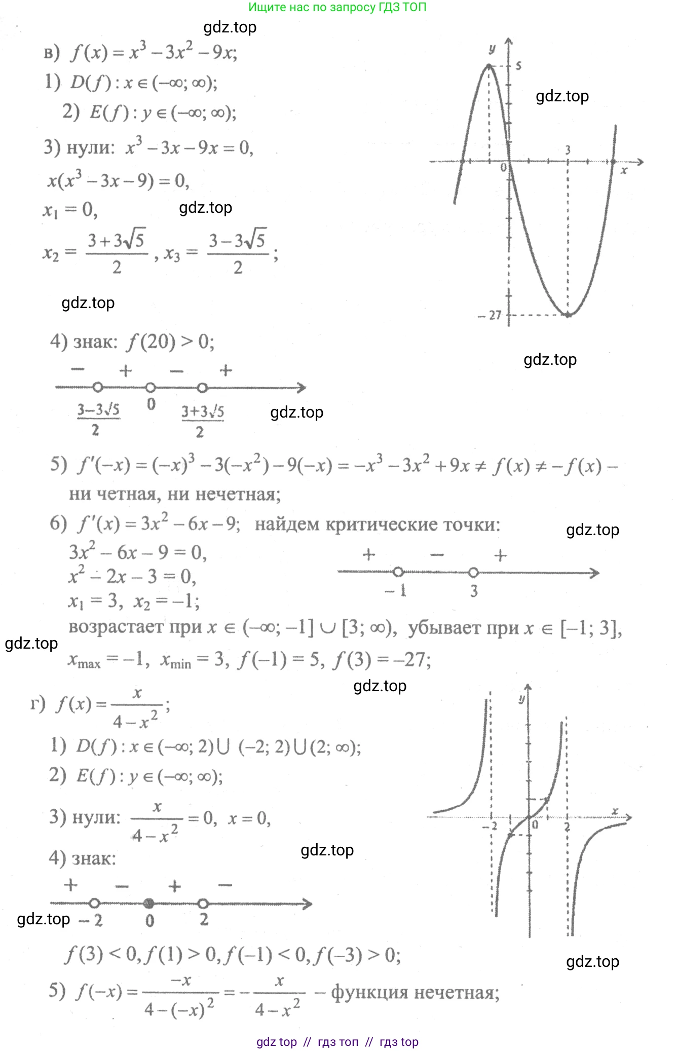
в) $f(x) = x^3 - 3x^2 - 9x$
Проведем полное исследование функции:
1. Область определения.
Функция - многочлен, определена для всех $x$. $D(f) = (-\infty; +\infty)$.
2. Четность и периодичность.
$f(-x) = (-x)^3 - 3(-x)^2 - 9(-x) = -x^3 - 3x^2 + 9x$.
$f(-x) \neq f(x)$ и $f(-x) \neq -f(x)$. Функция общего вида. Непериодическая.
3. Точки пересечения с осями координат.
- С осью OY: $x=0 \implies f(0)=0$. Точка (0, 0).
- С осью OX: $f(x)=0 \implies x(x^2 - 3x - 9) = 0$.
$x_1=0$. $x^2 - 3x - 9 = 0 \implies x_{2,3} = \frac{3 \pm \sqrt{9 - 4(1)(-9)}}{2} = \frac{3 \pm \sqrt{45}}{2} = \frac{3 \pm 3\sqrt{5}}{2}$.
Точки пересечения: (0, 0), $(\frac{3-3\sqrt{5}}{2}, 0) \approx (-1.85, 0)$, $(\frac{3+3\sqrt{5}}{2}, 0) \approx (4.85, 0)$.
4. Асимптоты.
Функция является многочленом, поэтому вертикальных, горизонтальных и наклонных асимптот нет.
$\lim_{x \to +\infty} f(x) = +\infty$, $\lim_{x \to -\infty} f(x) = -\infty$.
5. Промежутки возрастания и убывания, точки экстремума.
$f'(x) = 3x^2 - 6x - 9 = 3(x^2 - 2x - 3) = 3(x+1)(x-3)$.
Критические точки: $x=-1$ и $x=3$.
- $(-\infty; -1)$: $f'(x) > 0$, функция возрастает.
- $(-1; 3)$: $f'(x) < 0$, функция убывает.
- $(3; +\infty)$: $f'(x) > 0$, функция возрастает.
$x=-1$ - точка локального максимума, $f(-1) = (-1)^3 - 3(-1)^2 - 9(-1) = -1 - 3 + 9 = 5$. Точка (-1, 5).
$x=3$ - точка локального минимума, $f(3) = 3^3 - 3(3)^2 - 9(3) = 27 - 27 - 27 = -27$. Точка (3, -27).
6. Промежутки выпуклости и вогнутости, точки перегиба.
$f''(x) = (3x^2 - 6x - 9)' = 6x - 6 = 6(x-1)$.
$f''(x)=0 \implies x=1$.
- $(-\infty; 1)$: $f''(x) < 0$, график выпуклый (вверх).
- $(1; +\infty)$: $f''(x) > 0$, график вогнутый (вниз).
$x=1$ - точка перегиба. $f(1) = 1 - 3 - 9 = -11$. Точка (1, -11).
7. Построение графика.
Наносим на координатную плоскость точки пересечения с осями, точки экстремумов и точку перегиба и соединяем их плавной линией с учетом интервалов монотонности и выпуклости. Получаем график кубической параболы.
Ответ: Функция $f(x) = x^3 - 3x^2 - 9x$ - кубическая парабола. Пересечение с осями в точках $(0,0)$, $(\frac{3 \pm 3\sqrt{5}}{2}, 0)$. Локальный максимум в (-1, 5), локальный минимум в (3, -27). Точка перегиба в (1, -11). Асимптот нет.
г) $f(x) = \frac{x}{4-x^2}$
Проведем полное исследование функции:
1. Область определения.
$4-x^2 \neq 0 \implies x \neq \pm 2$.
$D(f) = (-\infty; -2) \cup (-2; 2) \cup (2; +\infty)$.
2. Четность и периодичность.
$f(-x) = \frac{-x}{4-(-x)^2} = \frac{-x}{4-x^2} = -f(x)$.
Функция нечетная, график симметричен относительно начала координат. Непериодическая.
3. Точки пересечения с осями координат.
- С осью OY: $x=0 \implies f(0)=0$. Точка (0, 0).
- С осью OX: $f(x)=0 \implies \frac{x}{4-x^2}=0 \implies x=0$. Точка (0, 0).
4. Асимптоты.
- Вертикальные асимптоты: $x=-2$ и $x=2$.
$\lim_{x \to 2^+} f(x) = -\infty$, $\lim_{x \to 2^-} f(x) = +\infty$.
$\lim_{x \to -2^+} f(x) = -\infty$, $\lim_{x \to -2^-} f(x) = +\infty$.
- Горизонтальная асимптота:
$\lim_{x \to \pm\infty} \frac{x}{4-x^2} = \lim_{x \to \pm\infty} \frac{x}{-x^2} = 0$.
Горизонтальная асимптота: $y=0$ (ось OX).
5. Промежутки возрастания и убывания, точки экстремума.
$f'(x) = \frac{(x)'(4-x^2) - x(4-x^2)'}{(4-x^2)^2} = \frac{1(4-x^2) - x(-2x)}{(4-x^2)^2} = \frac{4-x^2+2x^2}{(4-x^2)^2} = \frac{x^2+4}{(4-x^2)^2}$.
$f'(x) > 0$ для всех $x$ из области определения, так как $x^2+4>0$ и $(4-x^2)^2>0$ при $x \neq \pm 2$.
Функция возрастает на каждом из интервалов своей области определения: $(-\infty, -2)$, $(-2, 2)$, $(2, +\infty)$. Точек экстремума нет.
6. Промежутки выпуклости и вогнутости, точки перегиба.
$f''(x) = \left(\frac{x^2+4}{(4-x^2)^2}\right)' = \frac{2x(4-x^2)^2 - (x^2+4) \cdot 2(4-x^2)(-2x)}{(4-x^2)^4} = \frac{2x(4-x^2)( (4-x^2) + 2(x^2+4) )}{(4-x^2)^4} = \frac{2x(x^2+12)}{(4-x^2)^3}$.
$f''(x)=0$ при $x=0$.
- $(-\infty; -2)$: $f''(x) > 0$, график вогнутый (вниз).
- $(-2; 0)$: $f''(x) < 0$, график выпуклый (вверх).
- $(0; 2)$: $f''(x) > 0$, график вогнутый (вниз).
- $(2; +\infty)$: $f''(x) < 0$, график выпуклый (вверх).
$x=0$ - точка перегиба. $f(0)=0$. Точка (0, 0).
7. Построение графика.
График состоит из трех ветвей. Центральная ветвь проходит через начало координат (точка перегиба) и возрастает от $-\infty$ до $+\infty$ между асимптотами $x=-2$ и $x=2$. Левая ветвь возрастает от 0 (горизонтальная асимптота) до $+\infty$ (у асимптоты $x=-2$). Правая ветвь возрастает от $-\infty$ (у асимптоты $x=2$) до 0 (горизонтальная асимптота).
Ответ: Функция $f(x) = \frac{x}{4-x^2}$ нечетная, с областью определения $x \neq \pm 2$. Вертикальные асимптоты $x=-2$ и $x=2$, горизонтальная асимптота $y=0$. Функция возрастает на всей области определения. Точек экстремума нет. Точка перегиба в (0,0). График вогнутый на $(-\infty, -2)$ и $(0,2)$, выпуклый на $(-2,0)$ и $(2, +\infty)$.
Другие задания:
Помогло решение? Оставьте отзыв в комментариях ниже.
Присоединяйтесь к Телеграм-группе @top_gdz
ПрисоединитьсяМы подготовили для вас ответ c подробным объяснением домашего задания по алгебре за 10-11 класс, для упражнения номер 232 расположенного на странице 308 к учебнику 2008 года издания для учащихся школ и гимназий.
Теперь на нашем сайте ГДЗ.ТОП вы всегда легко и бесплатно найдёте условие с правильным ответом на вопрос «Как решить ДЗ» и «Как сделать» задание по алгебре к упражнению №232 (с. 308), авторов: Колмогоров (Андрей Николаевич), Абрамов (Александр Михайлович), Дудницын (Юрий Павлович), учебного пособия издательства Просвещение.
 
                     
                     
                     
                     
                     
                     
                     
                     
                     
                     
                     
                     
                     
                     
                     
                     
                     
                     
                    