Номер 234, страница 309 - гдз по алгебре 10-11 класс учебник Колмогоров, Абрамов
 
                                                Авторы: Колмогоров А. Н., Абрамов А. М., Дудницын Ю. П.
Тип: Учебник
Издательство: Просвещение
Год издания: 2008 - 2025
Цвет обложки: зелёный, чёрный
ISBN: 978-5-09-019513-3
Рекомендовано Министерством образования и науки Российской Федерации
Алгебра и начала математического анализа
Популярные ГДЗ в 10 классе
Глава 5. Задачи на повторение. Параграф 5. Производная, первообразная, интеграл и их применения - номер 234, страница 309.
№234 (с. 309)
Условие. №234 (с. 309)
скриншот условия
 
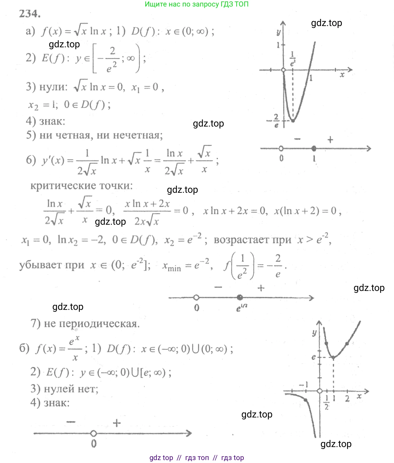
                                                                                                                                        234. а) $f(x) = \sqrt{x} \ln x;$
б) $f(x) = \frac{e^x}{x};$
в) $f(x) = 2^{x^2-4x};$
г) $f(x) = x - \ln x.$
Решение 1. №234 (с. 309)
 
                                                                                                                        Решение 5. №234 (с. 309)
а)
Для нахождения производной функции $f(x) = \sqrt{x} \ln x$, которая является произведением двух функций $u(x) = \sqrt{x}$ и $v(x) = \ln x$, используем правило дифференцирования произведения (правило Лейбница):
$(u \cdot v)' = u'v + uv'$
Сначала найдем производные каждой из функций:
$u'(x) = (\sqrt{x})' = (x^{1/2})' = \frac{1}{2}x^{-1/2} = \frac{1}{2\sqrt{x}}$
$v'(x) = (\ln x)' = \frac{1}{x}$
Теперь подставим найденные производные в формулу правила произведения:
$f'(x) = (\sqrt{x})' \ln x + \sqrt{x} (\ln x)' = \frac{1}{2\sqrt{x}} \cdot \ln x + \sqrt{x} \cdot \frac{1}{x}$
Упростим полученное выражение. Заметим, что $\frac{\sqrt{x}}{x} = \frac{\sqrt{x}}{(\sqrt{x})^2} = \frac{1}{\sqrt{x}}$.
$f'(x) = \frac{\ln x}{2\sqrt{x}} + \frac{1}{\sqrt{x}} = \frac{\ln x}{2\sqrt{x}} + \frac{2}{2\sqrt{x}} = \frac{\ln x + 2}{2\sqrt{x}}$
Ответ: $f'(x) = \frac{\ln x + 2}{2\sqrt{x}}$
б)
Для нахождения производной функции $f(x) = \frac{e^x}{x}$, которая является частным двух функций $u(x) = e^x$ и $v(x) = x$, используем правило дифференцирования частного:
$(\frac{u}{v})' = \frac{u'v - uv'}{v^2}$
Находим производные числителя и знаменателя:
$u'(x) = (e^x)' = e^x$
$v'(x) = (x)' = 1$
Подставляем эти производные в формулу:
$f'(x) = \frac{(e^x)' \cdot x - e^x \cdot (x)'}{x^2} = \frac{e^x \cdot x - e^x \cdot 1}{x^2}$
Вынесем общий множитель $e^x$ в числителе за скобки для упрощения:
$f'(x) = \frac{e^x(x - 1)}{x^2}$
Ответ: $f'(x) = \frac{e^x(x - 1)}{x^2}$
в)
Функция $f(x) = 2^{x^2-4x}$ является сложной показательной функцией вида $a^{u(x)}$, где основание $a=2$ и показатель степени $u(x) = x^2-4x$. Для ее дифференцирования используем формулу производной показательной функции и цепное правило (правило дифференцирования сложной функции):
$(a^{u(x)})' = a^{u(x)} \ln a \cdot u'(x)$
Найдем производную показателя степени $u(x)$:
$u'(x) = (x^2-4x)' = (x^2)' - (4x)' = 2x - 4$
Теперь подставляем все в формулу производной сложной функции:
$f'(x) = 2^{x^2-4x} \cdot \ln 2 \cdot (2x-4)$
Для удобства записи можно переставить множители:
$f'(x) = (2x - 4) \cdot 2^{x^2-4x} \ln 2$
Ответ: $f'(x) = (2x - 4) \cdot 2^{x^2-4x} \ln 2$
г)
Для нахождения производной функции $f(x) = x - \ln x$, которая является разностью двух функций, используем правило дифференцирования разности, согласно которому производная разности равна разности производных:
$(u - v)' = u' - v'$
Находим производные каждой из функций-слагаемых:
$(x)' = 1$
$(\ln x)' = \frac{1}{x}$
Применяем правило разности:
$f'(x) = (x)' - (\ln x)' = 1 - \frac{1}{x}$
Можно привести выражение к общему знаменателю:
$f'(x) = \frac{x}{x} - \frac{1}{x} = \frac{x - 1}{x}$
Ответ: $f'(x) = \frac{x-1}{x}$
Другие задания:
Помогло решение? Оставьте отзыв в комментариях ниже.
Присоединяйтесь к Телеграм-группе @top_gdz
ПрисоединитьсяМы подготовили для вас ответ c подробным объяснением домашего задания по алгебре за 10-11 класс, для упражнения номер 234 расположенного на странице 309 к учебнику 2008 года издания для учащихся школ и гимназий.
Теперь на нашем сайте ГДЗ.ТОП вы всегда легко и бесплатно найдёте условие с правильным ответом на вопрос «Как решить ДЗ» и «Как сделать» задание по алгебре к упражнению №234 (с. 309), авторов: Колмогоров (Андрей Николаевич), Абрамов (Александр Михайлович), Дудницын (Юрий Павлович), учебного пособия издательства Просвещение.
 
                     
                     
                     
                     
                     
                     
                     
                     
                     
                     
                     
                     
                     
                     
                     
                     
                     
                     
                    