Номер 10, страница 12 - гдз по алгебре 10-11 класс учебник Колмогоров, Абрамов
 
                                                Авторы: Колмогоров А. Н., Абрамов А. М., Дудницын Ю. П.
Тип: Учебник
Издательство: Просвещение
Год издания: 2008 - 2025
Цвет обложки: зелёный, чёрный
ISBN: 978-5-09-019513-3
Рекомендовано Министерством образования и науки Российской Федерации
Алгебра и начала математического анализа
Популярные ГДЗ в 10 классе
Глава 1. Тригонометрические функции. Параграф 1. Тригонометрические функции числового аргумента - номер 10, страница 12.
№10 (с. 12)
Условие. №10 (с. 12)
скриншот условия
 
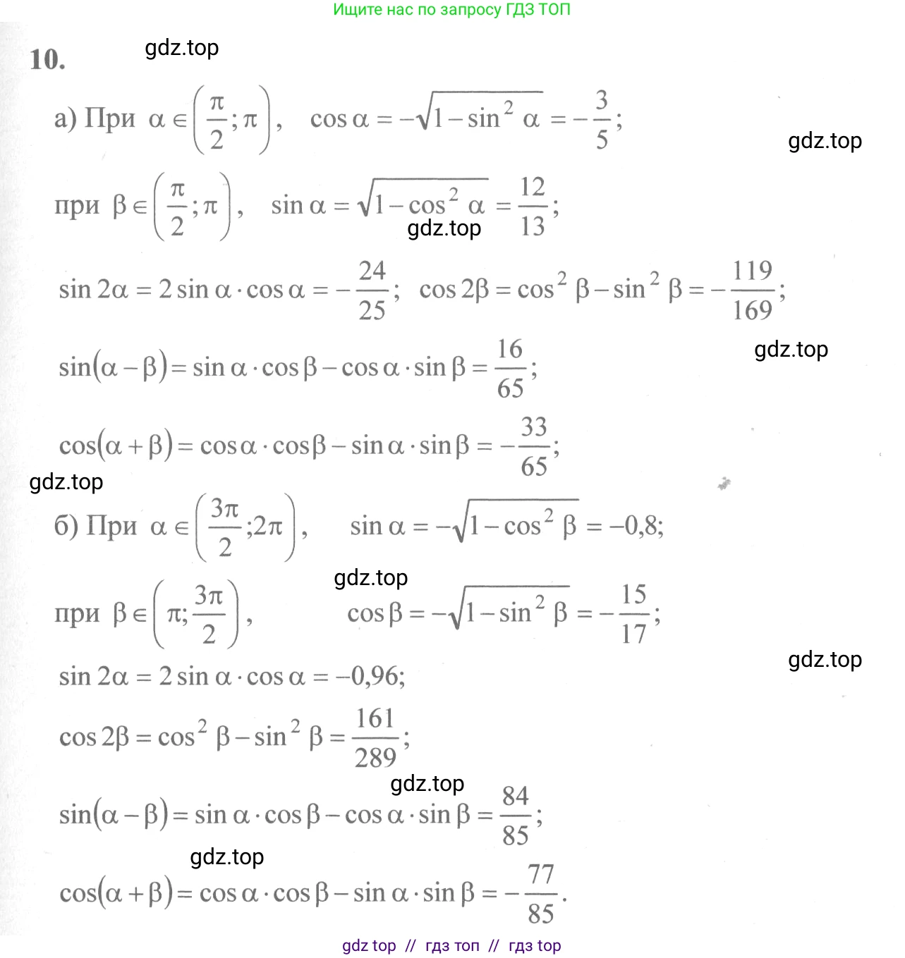
                                                                                                                                        10. Вычислите $ \sin 2\alpha $, $ \cos 2\beta $, $ \sin (\alpha - \beta) $ и $ \cos (\alpha + \beta) $, если:
a) $ \sin \alpha = \frac{4}{5} $, $ \cos \beta = -\frac{5}{13} $, $ \frac{\pi}{2} < \alpha < \pi $, $ \frac{\pi}{2} < \beta < \pi $;
б) $ \cos \alpha = 0,6 $, $ \sin \beta = -\frac{8}{17} $, $ \frac{3\pi}{2} < \alpha < 2\pi $, $ \pi < \beta < \frac{3\pi}{2} $.
Решение 1. №10 (с. 12)
 
                                                                            
                                                                                                         
                                                                                                                        Решение 3. №10 (с. 12)
 
                                                                                                                        Решение 5. №10 (с. 12)
а)
Дано: $sin \alpha = \frac{4}{5}$, $cos \beta = -\frac{5}{13}$. Угол $\alpha$ находится во второй четверти ($ \frac{\pi}{2} < \alpha < \pi $), а угол $\beta$ также находится во второй четверти ($ \frac{\pi}{2} < \beta < \pi $).
Для вычислений нам понадобятся значения $cos \alpha$ и $sin \beta$.
1. Найдем $cos \alpha$. Используем основное тригонометрическое тождество $sin^2\alpha + cos^2\alpha = 1$.
$cos^2\alpha = 1 - sin^2\alpha = 1 - (\frac{4}{5})^2 = 1 - \frac{16}{25} = \frac{9}{25}$.
$cos \alpha = \pm\sqrt{\frac{9}{25}} = \pm\frac{3}{5}$.
Так как угол $\alpha$ находится во второй четверти, его косинус отрицателен. Следовательно, $cos \alpha = -\frac{3}{5}$.
2. Найдем $sin \beta$. Используем основное тригонометрическое тождество $sin^2\beta + cos^2\beta = 1$.
$sin^2\beta = 1 - cos^2\beta = 1 - (-\frac{5}{13})^2 = 1 - \frac{25}{169} = \frac{144}{169}$.
$sin \beta = \pm\sqrt{\frac{144}{169}} = \pm\frac{12}{13}$.
Так как угол $\beta$ находится во второй четверти, его синус положителен. Следовательно, $sin \beta = \frac{12}{13}$.
Теперь вычислим требуемые значения.
Вычисление $sin 2\alpha$:
Используем формулу синуса двойного угла: $sin 2\alpha = 2 sin \alpha cos \alpha$.
$sin 2\alpha = 2 \cdot \frac{4}{5} \cdot (-\frac{3}{5}) = -\frac{24}{25}$.
Вычисление $cos 2\beta$:
Используем формулу косинуса двойного угла: $cos 2\beta = cos^2\beta - sin^2\beta$.
$cos 2\beta = (-\frac{5}{13})^2 - (\frac{12}{13})^2 = \frac{25}{169} - \frac{144}{169} = -\frac{119}{169}$.
Вычисление $sin (\alpha - \beta)$:
Используем формулу синуса разности: $sin (\alpha - \beta) = sin \alpha cos \beta - cos \alpha sin \beta$.
$sin (\alpha - \beta) = \frac{4}{5} \cdot (-\frac{5}{13}) - (-\frac{3}{5}) \cdot \frac{12}{13} = -\frac{20}{65} + \frac{36}{65} = \frac{16}{65}$.
Вычисление $cos (\alpha + \beta)$:
Используем формулу косинуса суммы: $cos (\alpha + \beta) = cos \alpha cos \beta - sin \alpha sin \beta$.
$cos (\alpha + \beta) = (-\frac{3}{5}) \cdot (-\frac{5}{13}) - \frac{4}{5} \cdot \frac{12}{13} = \frac{15}{65} - \frac{48}{65} = -\frac{33}{65}$.
Ответ: $sin 2\alpha = -\frac{24}{25}$, $cos 2\beta = -\frac{119}{169}$, $sin (\alpha - \beta) = \frac{16}{65}$, $cos (\alpha + \beta) = -\frac{33}{65}$.
б)
Дано: $cos \alpha = 0,6 = \frac{3}{5}$, $sin \beta = -\frac{8}{17}$. Угол $\alpha$ находится в четвертой четверти ($ \frac{3\pi}{2} < \alpha < 2\pi $), а угол $\beta$ находится в третьей четверти ($ \pi < \beta < \frac{3\pi}{2} $).
Для вычислений нам понадобятся значения $sin \alpha$ и $cos \beta$.
1. Найдем $sin \alpha$. Используем основное тригонометрическое тождество $sin^2\alpha + cos^2\alpha = 1$.
$sin^2\alpha = 1 - cos^2\alpha = 1 - (\frac{3}{5})^2 = 1 - \frac{9}{25} = \frac{16}{25}$.
$sin \alpha = \pm\sqrt{\frac{16}{25}} = \pm\frac{4}{5}$.
Так как угол $\alpha$ находится в четвертой четверти, его синус отрицателен. Следовательно, $sin \alpha = -\frac{4}{5}$.
2. Найдем $cos \beta$. Используем основное тригонометрическое тождество $sin^2\beta + cos^2\beta = 1$.
$cos^2\beta = 1 - sin^2\beta = 1 - (-\frac{8}{17})^2 = 1 - \frac{64}{289} = \frac{225}{289}$.
$cos \beta = \pm\sqrt{\frac{225}{289}} = \pm\frac{15}{17}$.
Так как угол $\beta$ находится в третьей четверти, его косинус отрицателен. Следовательно, $cos \beta = -\frac{15}{17}$.
Теперь вычислим требуемые значения.
Вычисление $sin 2\alpha$:
Используем формулу синуса двойного угла: $sin 2\alpha = 2 sin \alpha cos \alpha$.
$sin 2\alpha = 2 \cdot (-\frac{4}{5}) \cdot \frac{3}{5} = -\frac{24}{25}$.
Вычисление $cos 2\beta$:
Используем формулу косинуса двойного угла: $cos 2\beta = cos^2\beta - sin^2\beta$.
$cos 2\beta = (-\frac{15}{17})^2 - (-\frac{8}{17})^2 = \frac{225}{289} - \frac{64}{289} = \frac{161}{289}$.
Вычисление $sin (\alpha - \beta)$:
Используем формулу синуса разности: $sin (\alpha - \beta) = sin \alpha cos \beta - cos \alpha sin \beta$.
$sin (\alpha - \beta) = (-\frac{4}{5}) \cdot (-\frac{15}{17}) - \frac{3}{5} \cdot (-\frac{8}{17}) = \frac{60}{85} + \frac{24}{85} = \frac{84}{85}$.
Вычисление $cos (\alpha + \beta)$:
Используем формулу косинуса суммы: $cos (\alpha + \beta) = cos \alpha cos \beta - sin \alpha sin \beta$.
$cos (\alpha + \beta) = \frac{3}{5} \cdot (-\frac{15}{17}) - (-\frac{4}{5}) \cdot (-\frac{8}{17}) = -\frac{45}{85} - \frac{32}{85} = -\frac{77}{85}$.
Ответ: $sin 2\alpha = -\frac{24}{25}$, $cos 2\beta = \frac{161}{289}$, $sin (\alpha - \beta) = \frac{84}{85}$, $cos (\alpha + \beta) = -\frac{77}{85}$.
Другие задания:
Помогло решение? Оставьте отзыв в комментариях ниже.
Присоединяйтесь к Телеграм-группе @top_gdz
ПрисоединитьсяМы подготовили для вас ответ c подробным объяснением домашего задания по алгебре за 10-11 класс, для упражнения номер 10 расположенного на странице 12 к учебнику 2008 года издания для учащихся школ и гимназий.
Теперь на нашем сайте ГДЗ.ТОП вы всегда легко и бесплатно найдёте условие с правильным ответом на вопрос «Как решить ДЗ» и «Как сделать» задание по алгебре к упражнению №10 (с. 12), авторов: Колмогоров (Андрей Николаевич), Абрамов (Александр Михайлович), Дудницын (Юрий Павлович), учебного пособия издательства Просвещение.
 
                     
                     
                     
                     
                     
                     
                     
                     
                     
                     
                     
                     
                     
                     
                     
                     
                     
                     
                    